Find Your Style
Women
Men
Accessories
Search for clothing, brands, styles...
×
Women
Men
Accessories
2tanx Graph
Search
Loading...
No suggestions found
BUY The Graph (GRT) in INR on PocketBits!
pocketbits.in
INR to ALL Currency Exchange Rate Chart | Wise
wise.com
INR to USD Currency Exchange Rate since 1947(Source: The Economic Times ...
projectguru.in
EUR INR Chart – Euro to Rupee Rate — TradingView — India
in.tradingview.com
inr |Isometric Dots A2 Plus Size Paper 5 mm Distance Equilateral 3D ...
amazon.in
INR stays range bound near record low levels| Capital Market News
capitalmarket.com
inr |Isometric Line A2 Plus Size Paper 5 mm Distance Equilateral 3D ...
amazon.in
USD to INR Currency Exchange Rate Chart | Wise
wise.com
inr |Isometric Dots A2" Plus Size Paper 5 mm Distance Equilateral 3D ...
amazon.in
Inverse Trigonometric Functions: Definition, Formulas, Domain and Range
allen.in
Trigonometry: Key Concepts, Graphs and FAQs
allen.in
Integration of Tan x - Explanation, Formula, Proof, Examples
adda247.com
Trigonometric Functions: Definition, Formula & Properties - Maths ...
aakash.ac.in
4). Draw the graphs of sinx, cosx, tanx, cosecx, secx, and cotx. Write ...
brainly.in
Define tan'x. Draw the graph of tanx and tan'x. - Brainly.in
brainly.in
Integration of Tan x - Explanation, Formula, Proof, Examples
adda247.com
Differentiation of Tan Inverse x - Explanation, Formula, Examples
adda247.com
graph of trigonometric function sinx cos x tan x on the same ...
brainly.in
The graph of y= tan x° is translated to give the graph y = g(x ...
brainly.in
evaluate integration tan^-1(2tanx/1-tan^2 x) dx - Brainly.in
brainly.in
Define tan'x. Draw the graph of tanx and tan'x. - Brainly.in
brainly.in
graph in sinx cosx and tanx - Brainly.in
brainly.in
Draw the graph of sinx,cosx,tanx,cotx,cosecx and secx . write their ...
brainly.in
Draw the graph of `y=sin^(-1)(cosx)`.
allen.in
Integration of Cot x - Explanation, Formula, Derivation, Examples
adda247.com
From ₹3.30 To ₹83.94/USD: The Indian Rupee’s Evolution From ...
freepressjournal.in
Integration of Tan x - Explanation, Formula, Proof, Examples
adda247.com
Find the general solution of 2tanx-cotx+1=0 - Brainly.in
brainly.in
Rupee Depreciation: Will India's Exports Stand To Gain? | Investing.com ...
in.investing.com
School of Stocks - Technical Analysis of Currencies
fyers.in
Prévisions du cours de l'argent 2024, 2025, 2030, 2040, 2050 / Axi
axi.com
State of the Indian and Global Economy in 2019-20
taxguru.in
Analysis of Rupee's Performance in the Last Decade: UPSC
iasgyan.in
Stats of India | statsofindia.in
statsofindia.in
prove that tan2x=2tanx/1-tan²x - Brainly.in
brainly.in
How to Profit from Rupee Depreciation
investguru.in
Integral 3tanx+2/3+2tanx - Brainly.in
brainly.in
Online Forex Trading And Currency Trading In India
samco.in
prove that sin 2x squared 2tanX upon 1 + tan Square x - Brainly.in
brainly.in
Order Of Reaction : Zero Order And First Order | Science Vision
sciencevision.in
USD/INR Cracks Big: Falls 2% in 4 Days! | Investing.com India
in.investing.com
Shopify Analytics and Reporting Dashboards - Shopify India
shopify.com
In charts: As the rupee sinks touches 80 against the dollar, what does ...
scroll.in
Indian Rupee against US Dollar since 1947 - Insights
news.faltupana.in
LIVE CHART
dollarrupee.in
tan^2x+2tanx-5dy/dx=2(1+tanx)sec^2x differential equations - Brainly.in
brainly.in
if x = 30 degree without using tables verify that sin 2x = 2tanx/1+ tan ...
brainly.in
USDINR – Is It A Price Action Pullback Or Shakeout ? | Investing.com India
in.investing.com
BIG Downside: USD/INR Cracks to 9-Month Low! | Investing.com India
in.investing.com
If √2 tanx = 2sinx then find the value of sin2x - cos2x - Brainly.in
brainly.in
rupee dollar: Why the worst of rupee's fall could be over - The ...
economictimes.indiatimes.com
If tanx – tan2 x = 1, then the value of tan4 x – 2tan3 x – tan2 x ...
brainly.in
Chart: Rupee Weak, Yuan Weak, But Other BRICS Countries Hit By ...
premium.capitalmind.in
Sabse Bada Rupaiya | Times Knowledge India
timesknowledge.in
The Value of Compounding | Articles | Morningstar India
morningstar.in
sketch the graph of tan x between 0 and Pi by 4 - Brainly.in
brainly.in
Gold Price per Gram in India today in Indian Rupee (INR)
goldpriceworld.com
if tanx/2=m/n then prove that m sinx+n cosx=n - Brainly.in
brainly.in
Wooden Money/Piggy Bank, Money Box, Coin Box with Carved Design for ...
amazon.in
Bar graph of education of nagaland and rajasthan for the past 5 years ...
brainly.in
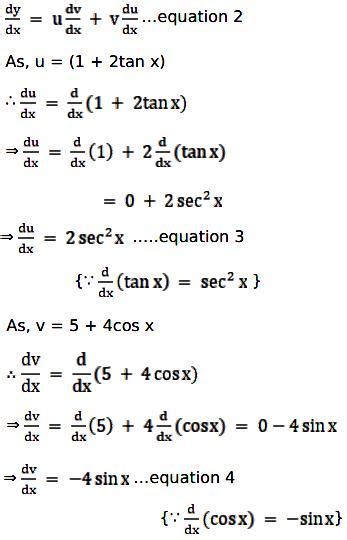
Differentiate the following w.r.t x (5-4cosx)(1-2tanx) - Brainly.in
brainly.in
prove that sin2x =2tanx ÷1+tansquare x[tex]prove \: that \: sin2x ...
brainly.in
All Integration Formulas PDF and Sheet for Class 12 Students
adda247.com
Find general solutions for 2tanx - cotx + 1 = 0 - Brainly.in
brainly.in
Prism Wooden Piggy Bank 100000 with Savings Chart 100000 Rupees Goal ...
amazon.in
Slope of graph y = tanx drawn between y and x, at x = 4 is : - Brainly.in
brainly.in
A cell of emf (E) and internal resistance r is connected across a ...
brainly.in
lim →/2 (tanx)^sin2x - Brainly.in
brainly.in
The function f(x) =tan x is continuous in - Brainly.in
brainly.in
Find derivative of 1-tanx/1+tanx w.r.t.x. - Brainly.in
brainly.in
Macroeconomic Impact of Demonetisation – A Preliminary Assessment
taxguru.in
if tanx + 1/tanx = 2 then show tan^2 x + 1/tan^x = 2 - Brainly.in
brainly.in
The general solution of the differential equation= (x*- 2x tan y)(1 +y ...
scoop.eduncle.com
solve 2tanx-cotx+1=0 - Brainly.in
brainly.in
Types of Graphs | Parts of a Graph | Teaching Wiki - Twinkl
twinkl.co.in
XFind sinx/2,cosx/2,tanx/2in each of the sinx=1/4,x in quadrant II2 ...
brainly.in
if u=log(tanx+tany+tanz) prove that sin2xdy/dx+sin2ydx/dy+sin2zdy/dx=2 ...
brainly.in
trigonometry table of class 10 of chapter trigonometry - Brainly.in
brainly.in
Sikkim State Lottery Result: August 2, 2025, 6 PM Live - Watch ...
freepressjournal.in
cosx+sinx=√2cosx,then tan^2x+2tanx is equal to - Brainly.in
brainly.in
Warfarin Dose Adjustment Chart - Fill Online, Printable, Fillable ...
pdffiller.com
If (1+cos 2x)/(sin 2x) +3[1+tanx.tanx/2] sin x =4 . Then value of tan x ...
brainly.in
Differentiate [tex] \sqrt{1 - tanx \div 1 + tanx} [/tex]differentiate w ...
brainly.in
sin x/ 1 + cos x = tan X /2 - Brainly.in
brainly.in
Should You Invest in Silver in 2025? | FinEdge
finedge.in
Draw the graph of sinx,cosx,tanx,cotx,cosecx and secx . write their ...
brainly.in
Gold Rate History in India | Gold Price History in India
cleartax.in
XFind sinx/2,cosx/2,tanx/2in each of the sinx=1/4,x in quadrant II2 ...
brainly.in
Plot a graph between coulomb force f and r^2 where r is the distance ...
brainly.in
A ray of light is incident on a medium with angle of incidence and ...
brainly.in
Draw the graph of `y=tan(3x)`.
allen.in
Integration of root tanx? - EduRev Class 12 Question
edurev.in
lim →/2 (tanx)^sin2x - Brainly.in
brainly.in
Chart: Rupee Weak, Yuan Weak, But Other BRICS Countries Hit By ...
premium.capitalmind.in
Draw the graph of sinx,cosx,tanx,cotx,cosecx and secx . write their ...
brainly.in
Evaluate lim x→pi/2 tanx^tan2x - Brainly.in
brainly.in
Chart: Rupee Weak, Yuan Weak, But Other BRICS Countries Hit By ...
premium.capitalmind.in
The Wire: The Wire News India, Latest News,News from India, Politics ...
thewire.in
Differentiate w.r.t x, y= x tan x/secx+tanx - CBSE Class 11 - Learn ...
ask.learncbse.in
Buy Classmate Graph Book at 17.00 INR. - Rapid...
rapiddeliveryservices.in
Gram (Chana)
igrain.in
v) tanx + cotx = 2 cosec2x - Brainly.in
brainly.in
How Gold Prices Have Moved In India In The Last 10 Years? - Goodreturns
goodreturns.in
kalyan matka record chart
businessworld.in
Rupee Needs to Stabilise for the Indian Markets to Take Support ...
in.investing.com
integrate [(tanx)1/2/sinxcosx ]dx - Brainly.in
brainly.in
XFind sinx/2,cosx/2,tanx/2in each of the sinx=1/4,x in quadrant II2 ...
brainly.in
Evaluate lim x→pi/2 tanx^tan2x - Brainly.in
brainly.in
KEY HIGHLIGHTS OF UNION BUDGET 2020-21
pib.gov.in
sk satta king chart
bwhotelier.businessworld.in
Lim x tends to pi/4 (sec^2x - 2)/tanx-1 - Brainly.in
brainly.in
1+tanx tan x/2= secx = tanx cotx/2 - 1....prove it - Brainly.in
brainly.in
SA Dummy Currency Notes for Kids (350 Units) | Each 50 Notes of 10 20 ...
flipkart.com
pls solve this question - Brainly.in
brainly.in
Prove that tan3x.tan2x.tanx=tan3x-tan2x-tanx - Brainly.in
brainly.in
if secx - tanx = 2/3 ,then sex= ? and tanx = ? - Brainly.in
brainly.in
XFind sinx/2,cosx/2,tanx/2in each of the sinx=1/4,x in quadrant II2 ...
brainly.in
View question - -(sinx*tanx)
web2.0calc.com
Breaking down revenue streams of Reliance Industries
finshots.in
dy/dx=1-tanx/1+tanx - Brainly.in
brainly.in
Related Searches
Y 2Tanx Graph
Tan X Graph
Tan 2 Graph
Graph of Y Cotx
Tangent Graph
Tan Inverse X Graph
Cot Graph
Tan Function Graph
Tanx Cotx Graph
Graph Y 3 Sin X
Y Tan 4X Graph
Tangent 图像
Tanx Period
Negative Cotangent Graph
Graph of Tan X 1
Tan Graph Degrees
2Tanx Graph Is It the Same as Tax Graph
Tan X2 Graph
Graphs of Tangent and Cotangent Functions
Tan X Sketch
Graphing Tan2x
What Does the Graph 2Tanx Look Like
2Tanx Graph Is It the Same as Tnax Graph
Graphing Inverse Trig Functions
نمودار Tan2x
Trigonometric Functions Tan
Tan Graph Reflected
Double Angle Fórmula
Tanx Graph Coordinates
2-Cycle Graph
1 Tan 2X SEC 2X
Two Triangle On Graph Trig
Draw the Graphs of Tan 2Θ and Tan Θ
Y 2Sinx Graph
Tan-1 Graph
Tangent Curve Graph
Graph of Tan-1X
Tan Inverse Graph
Cot Trig Graph
Arctan Graph
Graph of Tan 2Θ
Tangent Problem Graph
Y Tan2x Graph
Range of Tanx
Tan X 图像
3Sinx Graph
Sine Cosine and Tangent Graphs
Tanx 0
Tanx图像
Y 2 Sin X
Search
×
Search
Loading...
No suggestions found