Find Your Style
Women
Men
Accessories
Search for clothing, brands, styles...
×
Women
Men
Accessories
5pi 4 Reference Angle
Search
Loading...
No suggestions found
Trigonometric Table: Formula, Value, Chart, PDF
adda247.com
Trigonometry Table How To Create, Formula, Examples And, 50% OFF
elevate.in
3sin pi/6 * sec(pi/3) + 4sin (5pi)/6 * cot pi/4 = 1 - Brainly.in
brainly.in
The angle which the line x/1 = y/- 1 = z/0 Y-axis is: makes with the ...
brainly.in
The area bounded by the circles `x^2+y^2=1,x^2+y^2=4,` and the pair of ...
allen.in
The angle which the line x/1 = y/- 1 = z/0 Y-axis is: makes with the ...
brainly.in
Find the reference angles corresponding to each of the following angles ...
allen.in
In the given figure, if / R=43°; angle RST = 94° and angle T = 32° Find ...
brainly.in
Right angle
jaincollege.ac.in
Find the reference angles corresponding to each of the following angles ...
allen.in
A02YYUW Waterproof Ultrasonic Sensor - Thingbits Electronics
thingbits.in
in angle pqr , qpr = 80 and pq =pr what is the measure of angle r and ...
brainly.in
in a quadrilateral PQRS, if angle P=60° and angle Q:R:S = 2:3:7 .then ...
brainly.in
A02YYUW Waterproof Ultrasonic Sensor - Thingbits Electronics
thingbits.in
in right angled triangle angle p 60 angle R 30 PR 30 then find value of ...
brainly.in
maths question aswwer - Brainly.in
brainly.in
Let `A_1 A_2 A_3 A_4 A_5 A_6 A_1` be a regular hexagon. Write the x ...
allen.in
In triangle PQR, angle QPR=100°, PQ=PR, find angle Q and angle R ...
brainly.in
Prove that (1+cos pi/4)(1+cos 3pi/4)(1+cos 5pi/4) (1+cos 7pi/4) =1/4pls ...
brainly.in
in triangle pqr if angle R is equal to angle P and Q R is equal to 4 cm ...
brainly.in
Construct a quadrilateral PQRS in which angle p =120°,angle q=80° angle ...
brainly.in
3sin pi/6 * sec(pi/3) + 4sin (5pi)/6 * cot pi/4 = 1 - Brainly.in
brainly.in
what is the angle subtended at the centre of a circle of radius 10cm by ...
brainly.in
pls answer this question correct option is 4 explain with steps ...
brainly.in
If the angle between two lines is 5pi/4 and the slope of one of the ...
brainly.in
prove that:- 2sin(5pi/12)×cos(pi/12)=(2+root3/2) - Brainly.in
brainly.in
Find the reference angle - Brainly.in
brainly.in
find the value of sin 5pi/3 - Brainly.in
brainly.in
Solved: Which solution describes every angle that has a π /3 reference ...
gauthmath.com
@5pi.studio — Teletype
teletype.in
adjacent angles of a parallelogram are in the ratio 5 : 4 find all the ...
brainly.in
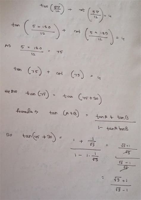
Prove that tan(5π/12) + cot(5π/12) = 4 - Brainly.in
brainly.in
tan""((5pi)/(32))+ 2 tan""((5pi)/(16))+4 tan""((5pi)/8)-cot""((5pi)/(32 ...
brainly.in
sin^4 pi/8 +sin^4 3pi/8 + sin^4 5pi/8 + sin^4 7pi/8 - Brainly.in
brainly.in
sin square 2 pi by 3 + cos square 5pi by 6 minus tan square 3 pi by 4 ...
brainly.in
Solved: For each of the following terminal arms, determine the angle in ...
gauthmath.com
Obtuse Angle | Definition, Facts, and Examples - Twinkl
twinkl.co.in
If the measurement of a central angle is 5pi/6, find the length of its ...
brainly.in
abcd is a square, e is the point on bc and f is the point on cd, if ...
brainly.in
View question - Use the reference angle to find the exact value of tan ...
web2.0calc.com
Why cos^4 5pi/8 = cos^4 3pi/8 - Brainly.in
brainly.in
plz solve this fast 39 question b part answer is 2npi+3pi/4less than or ...
brainly.in
In a quadrilateral PQRS, the bisectors of angle Q and angle R meet at T ...
brainly.in
cos square pi by 16 + cos square 3pi by 16 + cos square 5pi by 16 + cos ...
brainly.in
rectangle PqR IS isosceles with PQ = PR. If angle R = 45°, find the ...
brainly.in
9. triangle PQR is an isosceles right angled triangle in whichangle P ...
brainly.in
Find two unknown angles for the given angle ratio — task. Mathematics ...
yaclass.in
Construct a quardquardliteral PQRS in which PQ=5cm QR=4cm angle P ...
brainly.in
the value of tan 5pi/12 - tan pi/12 - Brainly.in
brainly.in
Illustrate with the help of a model, the values of sine and cosine ...
brainly.in
construct a quadrilateral pqrs in which pq=3cm , qr=4cm , angle P=75 ...
brainly.in
Find angle P, angle Q, angle R and angle S in the adjoining figure ...
brainly.in
Oaky Keyboard Skin for 2024 Lenovo LOQ/Lenovo Legion 5 Series 5 5i 5p ...
amazon.in
Find all the trigonomettic ratios with reference angle a and p ...
brainly.in
determine the radian measure -5pi/4 to degree measure - Brainly.in
brainly.in
Construct a quadrilateral PQRS such that PQ=6.3 cm , PS =3.8 cm , angle ...
brainly.in
quadrilateral is PQRS is A pallelogram angle P: angle S=4:5 then find ...
brainly.in
In figure PT perpendicular QR and PS bisect angle QPR. If angle Q=65 ...
brainly.in
Draw the graph of `y = sin x + cos x, x in [0, 2pi].`
allen.in
(iii) Construct a quadrilateral PQRS in which PQ = 5 cm, QR = 6 cm ...
brainly.in
1.one pair of alternate interior angles.2.one pair of corresponding ...
brainly.in
cos^4 * pi/8 + cos ^4 * 3pi/8 + cos ^ 4 * 5pi/8 + cos ^ 4 * 7pi/8 = 3 ...
brainly.in
PQRS is a cyclic quadrilateral. If angle Q = angle R = 550, Find angle ...
brainly.in
50+ Angles worksheets for Kindergarten on Quizizz | Free & Printable
quizizz.com
the three angles of a quadrilateral are in ratio 4:5:3 . the difference ...
brainly.in
In triangle PQR ,if PQ=QR and angle R is 50 degree find angle Q ...
brainly.in
In the Fig if angle 1 = angle 3, angle 2 is equal to angle 4 and angle ...
brainly.in
Mild Steel Angle - Mild Steel L Angle Trader - Wholesaler / Distributor ...
jindalsteelcompany.in
q_ +7 =5pi need the ans... - Brainly.in
brainly.in
Determine angle P +angle Q + angle R +angle S + angle T. - Brainly.in
brainly.in
Reference Angles - ticalc.org
ticalc.org
if the bisectors of angles of a quadrilateral enclose a rectangle, then ...
brainly.in
interior angles , alternate angles , corresponding angles , opposite ...
brainly.in
Alternate Interior Angles- Definition, Theorem, Diagram, Examples
adda247.com
find the value of (1+cos pi/8)(1+cos 3pi/8)(1+cos 5pi/8)(1+cos 7pi/8 ...
brainly.in
construct a quadrilateral READ when RE=3.9cm , EA=4.3 cm AD=4.8cm Angle ...
brainly.in
triangle PQR is isosceles triangle with PR=QR . RO is the bisector of ...
brainly.in
FIND ANGLE P=ANGLE Q= ANGLE R= - Brainly.in
brainly.in
Co-Interior Angles: Meaning, Theorem, Property, Examples
adda247.com
Lenovo Legion 5Pi 82AW005SIN (2060 GPU) Laptop - GameLoot
sell.gameloot.in
In a triangle PQR if Angle QPR = 80°and PQ = PR, then angle R and angle ...
brainly.in
If two angles of a quadrilateral are 4o and 110 degree and the other ...
brainly.in
Name the following pairs of angle i) Equal supplementary angles ii ...
brainly.in
12. Given that point S is the incenter of right triangle PQR and angle ...
brainly.in
Buy beetleNew Safety Sign -Attention Angles MORTS,Dead Angles On Heavy ...
desertcart.in
Samsung GH59-11720A Headset-Ehs64Avfwe 3.5Pi 4P : Amazon.in: Electronics
amazon.in
in rectangle pqrs diagonal PR and QS intersect at O if angle rpq is 30 ...
brainly.in
Class 10 ICSE Physics Specimen 2023
iqclasses.in
In triangle PQR,PQ=PR,then find angle Q and angle R? - Brainly.in
brainly.in
Construct a quadrilateral mars in which ma=5.cm AR=4cm angle m=105 ...
brainly.in
Keyboard Cover for 2023 Lenovo LOQ 15.6" 16"/Legion 7 7i 16ITHg6/Legion ...
amazon.in
MS Angles - V Shape Mild Steel Angles Wholesale Trader from Mumbai
ttandsons.in
In the adjoining figure, angle 1+ angle 2+ angle 3+ angle 4+ angle 5 ...
brainly.in
In the figure, PT is perpendicular to QR and PS is the bisector of ...
brainly.in
in triangle PQR,PQ=QR and angle R=50,find the measure of angle Q ...
brainly.in
Oaky Keyboard Skin for 2024 Lenovo LOQ/Lenovo Legion 5 Series 5 5i 5p ...
amazon.in
can we construct a triangle pqr angle Q is equals to 30 degree angle R ...
brainly.in
Write any Two pairs of Corresponding Angles, Interior alternate angles ...
brainly.in
In quadrilateral pqrs angle p angle q angle r angle s=3:4:5:6.Find all ...
brainly.in
S In Fig. 1221, the bisectors of angle P and angle Q meet at a point of ...
brainly.in
Construct a triangle PQR where PQ= 5cm and P=30°and R=45°. construct ...
brainly.in
in triangle pqr angle p= 120 and pq=pr find angle q and angle r ...
brainly.in
Silicone Keyboard Skin Compatible for Lenovo LOQ 16IRH8 16APH8 & LOQ ...
amazon.in
3. Name the following angles in the given figure:(a) Two acute angles ...
brainly.in
if quadrilateral MRPN is cyclic, angle R is (5x- 13) and angle N is (4x ...
brainly.in
in triangle pqr if angle p + angle q is = 75 degree and angle q +angle ...
brainly.in
Types of Angles – Poster
twinkl.co.in
Keyboard Cover Skin for 2021 2020 Lenovo Legion 5 Pro / Legion 5 Gaming ...
desertcart.in
PGFUN 1:1 Right Angle Bevel Gearbox 1 Module 20 Teeth 90° Angle Drive ...
amazon.in
Oaky Keyboard Skin for 2024 Lenovo LOQ/Lenovo Legion 5 Series 5 5i 5p ...
amazon.in
construct triangle pqr RQ is equal to 3 cm angle P is equal to 30 ...
brainly.in
draw a angle pqr in which QR is equal to 3.5 cm and m angle q equals to ...
brainly.in
in the adjacent figure , if angle P and angel R are in the ratio of 3:7 ...
brainly.in
In fig. QT perpendicular PR & Qs =ps. Ifmeasure of angle TQR = 40 ...
brainly.in
Buy Drill Guide - 30,45,90 Degree Angles, 4 Holes for 4 Drill Bit Sizes ...
desertcart.in
sin²(2pi/3)+cos²(5pi/6)-tan²(3pi/4) - Brainly.in
brainly.in
Complementary and Supplementary Angles Poster
twinkl.co.in
Oaky Keyboard Skin for 2024 Lenovo LOQ/Lenovo Legion 5 Series 5 5i 5p ...
amazon.in
in triangle pqr pq=qr and angle r= 50 then find the measure of angle q ...
brainly.in
in the given figure angle Q greater than angle R,PA is the bisector of ...
brainly.in
Related Searches
5Pi Over 6 Angle
Theta Angles Pi
Reference Angle Pi
Turning Angle of Pi
Pi Quadrants
Reference Angle Drawing
Quadrant Pi Reference Angle
Coterminal Angles
Pi Angle Table
Angle Minus Pi
Reference Angle for Pi
Search
×
Search
Loading...
No suggestions found