Find Your Style
Women
Men
Accessories
Search for clothing, brands, styles...
×
Women
Men
Accessories
Aabbcc Alphabet Ribbon
Search
Loading...
No suggestions found
10. if individuals of genotype aabbcc are intercrossed, how many ...
scoop.eduncle.com
1 Inch Small Alphabets Printed Grosgrain Ribbon – 10 Meters Roll ...
premier-ribbons.in
Back to School Ribbon for Crafts - 30 feet | Teacher India | Ubuy
ubuy.co.in
PROBLEMS:Find out the gametes produced by the plants of the following ...
brainly.in
1 Inch Big Alphabets Printed Grosgrain ribbon – 10 Meters Roll ...
premier-ribbons.in
Polygenic Inheritance: Characteristics, Examples, Practice Problems and ...
aakash.ac.in
Grade R / Grade 1 English - Display Posters Alphabet
twinkl.co.in
Buy Missing Letter Worksheets, Activity Pages, Alphabet Letters ...
etsy.com
12 military awards now eligible for new 'C' and 'R' devices, and 2 no ...
militarytimes.com
Genotype AABbCC with F1 progeny. After selfing of this plant what is ...
brainly.in
Find out the number of plants produced with genotype AabbCc out of 256 ...
brainly.in
The plant with genotypes AaBbcc will produce ovule 'abc' at the% of ...
brainly.in
Find the solution of AA+BB+CC=ABC find the value of ABC - Brainly.in
brainly.in
Desk Alphabet Strip Number line
twinkl.co.in
1. If aa + bb = abc, then what is the value of a+b+c= ? - Brainly.in
brainly.in
Alphabet Letters Chart and Numbers 1-100 Chart, 2 Pieces Educational ...
desertcart.in
Handwritten alphabet Images - Free Download on Freepik
freepik.com
Adobe Scan 17-Apr-2024 - 5 X AaB bCcDc AaBbCcD
studocu.com
Buy Handwriting Paper for Kids : Practicular Alphabet Learning with Fun ...
ubuy.co.in
How many different kinds of gametes can anorganism of genotype AaBBCc ...
edurev.in
ODIA ALPHABET CHART SIZE 45 X 57 CMS
ibdmaphouse.com
Probots 14 Way FRC Flat Ribbon Cable Buy Online India
probots.co.in
Resin Ribbons - 110mm x 75m Thermal Transfer Wax Ribbon, 0.5 Core, Used ...
solitairelabels.in
Free Printable Alphabet Page Colouring | Colouring Sheets
twinkl.co.in
I Spy the Letter Cc Activity - Alphabet - ELA (teacher made)
twinkl.co.in
Buy Lewo Wooden ABC Blocks Building Games Extra-Large 26 PCS Alphabet ...
ubuy.co.in
Suppose abc is a triangle with 3 acute angles a,b and c. the point ...
brainly.in
K, Alphabet Icon, Letter
pngguru.in
3D Alphabet on Balloons with Ribbons model | 3D Molier International
3dmolier.com
Best Paper Greetings Award Stickers - 48 Gold Certificate Seals with ...
amazon.in
Buy 5 Rolls of Hot Pink Ribbon, Pink and Silver Ribbon, Pink and Purple ...
etsy.com
Buy | Peacock Flower Rakhi for Brother | Tied Ribbons
tiedribbons.com
Buy 18 Sheets Colorful Small Letter Stickers, Self Adhesive Alphabet ...
desertcart.in
silk ribbons (assorted set of 6) choose your color – kokūn
kokun.in
Alphabet Lore Plush Friend Alphabet Lore Plush Animal Toys Fun ...
desertcart.in
Buy | Rakshabandhan Premium Stone Rakhi ( Pack of 3 ) for Brother ...
tiedribbons.com
Buy | Premium Floral Lumba Rakhi Set of 2 for Bhaiya Bhabhi with ...
tiedribbons.com
Ribbons & Balloons restaurants in Pune, summer 2024 - Restaurant Guru
restaurant-guru.in
Menu at Ribbons & Balloons, Mumbai, 136
restaurant-guru.in
New combat-related devices authorized for decorations | Article | The ...
army.mil
Buy Growlier 36 Pack Wooden Magnetic Fishing Toy, Montessori Letters ...
ubuy.co.in
Galio Maruti Suzuki Wagon-R 2019 ABS Spoiler Painted - Black
carhatke.com
New combat-related devices authorized for decorations | Article | The ...
army.mil
Find out phenotypic ratio categorie in following cross A-AaBbCC×aaBBCc ...
brainly.in
Ribbon Dance Actions Flashcards and Poster Movement Skills
twinkl.co.in
Buy Distressed Rustic Barn Wood Letter | Alphabet Wall Décor Monogram ...
desertcart.in
Crowye 20 Pcs Inspirational Award Ribbon Rosette Ribbon Motivational ...
desertcart.in
RETSOL Wax Resin Ribbon Ink Outside for Label, Tag & Barcode Printing ...
amazon.in
Testing
kamalkapoor.com
wallpapers images of r, stylish alphabet r wallpapers, alphabet r rare ...
kamalkapoor.com
Cancer Ribbon Colors, Meanings, And Months, 59% OFF
elevate.in
R.B. Engineering Services
rbengg.in
Epson ERC-09 (B) Black Cartridge Ribbon : Amazon.in: Computers ...
amazon.in
Q2. in a diploid organism, the genes a, b and c are present on the same ...
scoop.eduncle.com
Pls tell fast The file is below - Brainly.in
brainly.in
ARTISOUL™ 5xMushroom Heads Air Cushion BB Cream Natural Cover Pigment ...
amazon.in
Buy BIOAQUA Cream BB Super Wearing Lasting No Makeup Persistent Water ...
ubuy.co.in
Awareness Ribbon Template | Twinkl (teacher made) - Twinkl
twinkl.co.in
Buy Taylor Swift Hair Ties Ribbons 1989 BNIP!! From 2014 Online at ...
ubuy.co.in
URDU ALPHABET CHART SIZE 12X18 (INCHS) 300GSM ARTCARD
ibdmaphouse.com
VCP Alphabet Telugu wall chart | 70 X 100 Cm | Laminated Polyester ...
amazon.in
Letters Vectors - Download Free High-Quality Vectors from Freepik | Freepik
freepik.com
Buy Hindi Alphabet Tracing Worksheets(swar and Vyanjan) With Letter ...
etsy.com
Microsoft Excel Tutorial
sampleqa.in
New Arrival
rimli.in
A plant of F1 generation has genotype AaBbCc on selfing of this plant ...
brainly.in
Buy BIOAQUA Cream BB Super Wearing Lasting No Makeup Persistent Water ...
ubuy.co.in
2Xbb Cream Head Liquid Foundation Cream Even Skin Matte Concealer 20G ...
amazon.in
Letting Go: The Pathway of Surrender eBook : Hawkins, David R.: Amazon ...
amazon.in
Buy Gold Grand Opening Ceremony Kit – 20 Inch Giant Scissors Gold with ...
desertcart.in
CC Cream Colour Correcting SPF50 Self Skin Tone | Ubuy India
ubuy.co.in
TIED RIBBONS Inspirational Posters with Frames Motivational Quotes Wall ...
amazon.in
Childminder Ribbon Height Poem Template
twinkl.co.in
Lab equip acc data writer P-52RUE - Overview - METTLER TOLEDO
mt.com
Buy Antique Alphabets: The Ethiopian Alphabet, Arabic Alphabet ...
desertcart.in
Alphabet Cake | Order Alphabet Cake online | Tfcakes
tfcakes.in
MS-Word Ribbon and Tabs
sitesbay.com
which is smaller 1/20÷1/5 or 1/5÷1/20 - Brainly.in
brainly.in
AmericanElm Plain Laser Cut Wooden Telugu Alphabet/MDF Telugu Letters ...
amazon.in
Hindi Alphabets With Examples & Letters With Words
alphabetsinhindi.com
how many different types of gametes can be formed by f1 progeny ...
brainly.in
Buy BIOAQUA Cream BB Super Wearing Lasting No Makeup Persistent Water ...
ubuy.co.in
Buy PASUKIT Alphabet Lore Plush Toys | A-Z Letters Alphabet Lore ...
desertcart.in
Let R= {( 2, 0),(4 , 2),(6 ,4 ),(8 , 6),( 10, 8)} 1. Write R in set ...
brainly.in
Find out the number of plants produced with genotype AabbCc out of 256 ...
brainly.in
Epson ERC-09 (B) Black Cartridge Ribbon : Amazon.in: Computers ...
amazon.in
Telugu Varnamala – Vowels (acchulu) - Telugu Basics
pressbooks.justwrite.in
Bhargav had a piece of ribbon 6 3/4m long she used 2 5/12m from it how ...
brainly.in
solve for x ----> (a+b)^2x^2+8(a^2-b^2)x+16(a-b)^2=0 - Brainly.in
brainly.in
If a=log12 base 24,b=log24 base 36,c=log 36 base 48,Then show that 1 ...
brainly.in
Red Ribbon Cakes Menu Price List Philippines [Updated, 53% OFF
elevate.in
Do the indicated operations1. 2/7 + 3/72. 5/6 - 3/63. 1/2 + 2/34. 3/4 ...
brainly.in
వెల్పియు రిస్ట్ బ్రేస్ థంబ్ స్పికా స్ప్లింట్ డి క్వెరైన్స్ ...
ubuy.co.in
Japanese Alphabet To English & Learn Hiragana Chart With Pictures
alphabetsinhindi.com
Buy Flroha Alphabet Lore Plush Toy | Letters and Numbers Alphabet Lore ...
desertcart.in
100Yellow® Hindi Varnmala Chart -(Paper, 12X18-Inch, Multicolour ...
amazon.in
Recruiting Pilot, Soldier Referral Program, offers promotion incentives ...
army.mil
please solve this problem anyone... - Brainly.in
brainly.in
If the cell of an organism heterozygous for three pairs of genes ...
brainly.in
CC+ Color Correcting Cream Hydrating Sunscreen | Ubuy India
ubuy.co.in
^11pr -1 :^12 pr -2 =14:3 find r=?? - Brainly.in
brainly.in
(AA)² = BBCC = find the sum of ABLC is ? - Brainly.in
brainly.in
Gentle Deer Saree – EAST & GRACE
eastandgrace.com
TVS ELECTRONICS LP 46 Neo Label and Barcode Printer|Print Speed 6 ...
amazon.in
draw the graph of the equation 2x+3y=6. from the graph find the value ...
brainly.in
'오마베' 태오, 29개월의 서핑 보드 도전기..'불굴의 사나이'
chosun.com
Dymo 30336 Multi-purpose Labels, White, 1” X 2 1/8”-500 Per Roll,1 Roll ...
coleparmer.in
A man buys a table and a chair for rs. 500. he sells the table at a ...
brainly.in
heya solve it step by step - Brainly.in
brainly.in
వెల్పియు రిస్ట్ బ్రేస్ థంబ్ స్పికా స్ప్లింట్ డి క్వెరైన్స్ ...
ubuy.co.in
find the value of x and y . answer if u know the correct answer ...
brainly.in
heya solve it step by step - Brainly.in
brainly.in
A man buys a table and a chair for rs. 500. he sells the table at a ...
brainly.in
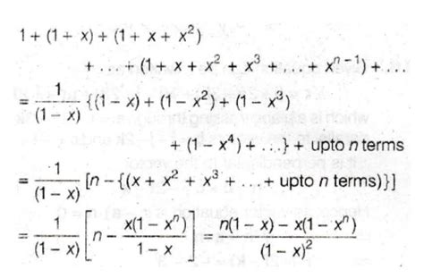
sum of n terms of 1+(1+x)+(1+x+x^2)is ..... - Brainly.in
brainly.in
in figure PT and PS are tangents drawn from a point P to a circle with ...
brainly.in
Dinesh bought 70 boxes of chocolate cookies and 35 boxes of fruit ...
brainly.in
y=x+1;x+y=3solve it graphically - Brainly.in
brainly.in
^11pr -1 :^12 pr -2 =14:3 find r=?? - Brainly.in
brainly.in
Related Searches
Ribbon Alphabet
AaBbCc Alphabet
Alphabet Ribbon for Crafts
Ribbon Lettering Alphabet
AaBbCc Alphabet Jump Start Band
Alphabet Ribbon Coloring Pages
Thin Ribbon Alabet
Letter a Ribbon
Ribbon Font
Letters of the Alphabet in Ribbons
Alphabet Written in Ribbon with Transparent Background
ABC Ribbon
ABC Ribbons Satin
Ribbon Calligraphy Letters
ABC Chart R for Ribbon
Aabba Pattern
Picture of Lamenated Alphabet
Cursive Alphabet Ribbon
Abbc Patterns
Book Ribbon ABC
Ribbon Alphabet Watercolor
Double Sicled Tape Alphabet Miss Ribbon
Alphabet Order Ribbon
Ribban Foled Alphabet
Fire Alphabet
Gold Alphabet with Ribbon
AABC Pattern
Aabbaacc Poem Pattern
Alphabet Ribbon Clip Art Image
Ribbon Folded Alphabet
American Written On a Ribbon Image
An Alphabet Made of Brown Ribbon
Alphabet Letters with Rebbon
Sew Letters with Ribbon
Alphabet Baby Ribbon Toy
How to Make Ribbon Letters Alphabet
ABC Alphabet Chart Printable
Alphabet AA Poster
Different P Alphabet Ribbon Style
Vib Ribbon Alphabet Uppercase
Ribbon Alphabet Cartoon Flash Cards
Letter a Ribbon Lowercase
Ribbon around Letters
Ribbon Lettering O
Alphabet Accessories
Bachorletter Ribbons
Laminated Alphabet Plashcard
Letters Using Ribbon
Ribbon Four Letters
Ribbon Style P Alphabet Vector File
Search
×
Search
Loading...
No suggestions found