Find Your Style
Women
Men
Accessories
Search for clothing, brands, styles...
×
Women
Men
Accessories
Abshisa
Search
Loading...
No suggestions found
Anand Kamalnayan Pandit — INR 8,660 Cr (Sri Lotus Developers & Realty ...
economictimes.indiatimes.com
Anand Kamalnayan Pandit — INR 8,660 Cr (Sri Lotus Developers & Realty ...
economictimes.indiatimes.com
Anand Kamalnayan Pandit — INR 8,660 Cr (Sri Lotus Developers & Realty ...
economictimes.indiatimes.com
Best whiskey under INR 1500 for a pocket-friendly drinking experience
lifestyleasia.com
Anand Kamalnayan Pandit — INR 8,660 Cr (Sri Lotus Developers & Realty ...
economictimes.indiatimes.com
Facts about Indian businessman who is buying Lavasa city for INR 1814 ...
timesofindia.indiatimes.com
Anand Kamalnayan Pandit — INR 8,660 Cr (Sri Lotus Developers & Realty ...
economictimes.indiatimes.com
Decision to Withdraw 2,000 INR Note Won't Have Any Impact: Economist
sputniknews.in
0.1 ETH to INR Converter, How much Convert Ethereum to Indian Rupee ...
cryptocurrency-exchange.us.com
BTC to INR Converter, Convert Bitcoin to INR Exchange 2022 ...
cryptocurrency-exchange.us.com
India Saves INR 35,000 Crore By Buying Discounted Oil from Russia » Car ...
carblogindia.com
Indian Rupee (₹) - Buy INR Currency Online at Best Rates
makemytrip.com
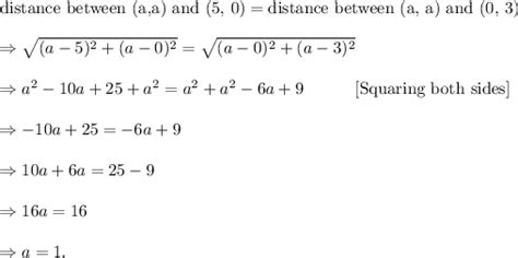
what is abscissa draw a graph to show abscissa - Brainly.in
brainly.in
Anticoagulation in Acute Pulmonary Embolism: Which Drug? How Long ...
universimed.com
Ordered pairs — lesson. Mathematics State Board, Class 9.
yaclass.in
The point on `y^(2)=4ax` nearst to the focus has to abscissa equal to
allen.in
Lab Manual: Find the Values of Abscissae - Class 9 PDF Download
edurev.in
Finite Element Analysis of Patient-Specific 3D-Printed Cranial Implant ...
mdpi.com
what is abscissa and ordinate?? - Brainly.in
brainly.in
what is abscissa and and ordinate ? with example - Brainly.in
brainly.in
If the coordinates of the points p and q are (4,-3) and (-1,7), then ...
brainly.in
Online Invoice Generator | Create a Bill - Wise
wise.com
Abscissa of a point is positive in - Brainly.in
brainly.in
Normal chord of a parabola y^2=4ax at point whose ordinate is equal to ...
brainly.in
If the two points are A(-3,7) and B(-7,5),then what is ( abscissa A ...
brainly.in
5 The area of the closed figure bounded by x=-1, x=2 and y= begincases ...
tardigrade.in
If the two points are A(-3,7)and B(-7,5) then what is (abscissa A ...
brainly.in
If abscissa is twice the ordinate of a point p(a - 3 )then plot the ...
brainly.in
Look at the following figure and answer the following: (i) What is the ...
brainly.in
Write the linear equation such that each point on its graph has an ...
allen.in
Describe the location of the point having the following coordinates ...
brainly.in
If A (-2, 3) and B (-3,5) are two given points, then find (abscissa of ...
brainly.in
2. If the coordinate of two points are P(-4,3) and Q (-9,5); then ...
brainly.in
To find the values of abscissa and ordinate of various points given in ...
brainly.in
1 million dong in indian rupees - Brainly.in
brainly.in
Fed’s 75 bps Hike: Rupee Falls to Record Low, Sets Eye for ‘82 ...
in.investing.com
Consider the curves C1: y=f(x) and C2: y=g(x) such that the tangents to ...
tardigrade.in
Subtract the abscissa of (-5,6) from the ordinate of (3,5).please send ...
brainly.in
Signs of the abscissa and ordinate of a point in the first quadrant are ...
brainly.in
Let the abscissae of the two points P and Q be the roots of 2 x 2- rx ...
tardigrade.in
Let the abscissae of the two points P and Q on a circle be the roots of ...
tardigrade.in
distance of the point whose ordinate is 3 and abscissa is 7 from the ...
brainly.in
How Warfarin Is Synthesized and Key Insights
medicoverhospitals.in
if the two points are A(-3,7) and B(-7,5) then what is abscissa A ...
brainly.in
(i) Write the points whose abscissa is 0.(ii) Write the points whose ...
brainly.in
USD/INR Cracks Big: Falls 2% in 4 Days! | Investing.com India
in.investing.com
USD/INR Breaking Imp. Trendline; Is Nifty 50 Topping Out? | Investing ...
in.investing.com
ve. int Follow-up Activity Find the abscissae and ordinates and hence ...
brainly.in
if A is a point whose ordinate is 8 and B is a point on the X- axis ...
brainly.in
A is on x-axis abscissa 4 and B=(-1, -12). Find the distance between A ...
brainly.in
If the coordinates of two points are P(3,-5) , Q(5,3) , then (abscissa ...
brainly.in
The point whose abscissa is equal to its ordinate and which is ...
brainly.in
Area bounded by f inverse x and tangent and normal to the abscissae pie ...
brainly.in
Find i) abscissa ii) ordinate and iii) co-ordinates of any 3-points ...
brainly.in
the point in which abscissa and ordinate have different signs will lie ...
brainly.in
Write the linear equation such that each point on its graph has an ...
allen.in
name the quadrants in which the abscissa of a point is positive ...
brainly.in
usd-inr: Why US dollar has consistently risen against rupee for 15 ...
economictimes.indiatimes.com
if the coordinates of two points are p(-5,3)and Q(8,-9)then (abscissa ...
brainly.in
Draw the graph of the linear equation x + 2y = 8 and find the point on ...
brainly.in
In a graph between log t1 / 2 and log a (abscissa), ' a ' being the ...
tardigrade.in
Write the points whose abscissa is 0.Please answer fast as soon as ...
brainly.in
a is the point on y -axis whose ordinate is 4 and B is the point on x ...
brainly.in
The point(other than the origin) for which the abscissa is equal to the ...
brainly.in
How Indian Rupee Stands Against Other Major Currencies
indiatimes.com
Find abscissa of point whose ordinate is 4 and which are at distance of ...
brainly.in
In which quadrant the abscissa and ordinate are negative? - Brainly.in
brainly.in
the coordinates of two points are P (4,6) and (-5,-7) then, find ...
brainly.in
Currency Today: Euro Finds Footing, Dollar Whipsaws, Rupee Tanks | India
btcc.com
Write the coordinates of the point whose abscissa and ordinate are ...
brainly.in
Assam Board | Textbook Solutions For Class 9 Mathematics Mathematics ...
wiredfaculty.com
the ordinate of a point is twice its abscissa. find the coordinate of ...
brainly.in
Write the abscissae and ordinates for the following points (4,-8 ...
brainly.in
Find the point on the curve y2=8x+8 for which the abscissa - Brainly.in
brainly.in
Hurun India 2025: 10 billionaire Indians who entered the rich list this ...
economictimes.indiatimes.com
The coordinate of two points are (4,6) and (−5, −7) then, find ...
brainly.in
If the coordinates of the two points are P (–7, 5) and Q (–6, 9), then ...
brainly.in
Next tranche of Bharat Bond ETF opens tomorrow: 10 things on NFO | Mint
livemint.com
8 A) Find the coordinates of point P(a,b) whose ordinate is twice as ...
brainly.in
If the midpoint of line AB is (3,4) and abscissa of A is equal to ...
brainly.in
Without plotting the points indicate the quadrant in which they will ...
brainly.in
find the ordinate of a point whose abscissa is 10 and which is at a ...
brainly.in
Let ABCD in order be a square. The coordinates of A and C are (1, 3 ...
tardigrade.in
Buy Absolute Anticoagulant Journal: A Comprehensive logbook for ...
desertcart.in
Draw the graph of the linear equation x + 2y = 8. and find the point on ...
brainly.in
4. From the given figure, answer the following questionsY-Valuesa ...
brainly.in
without plotting the points indicate the quadrant in which they will ...
brainly.in
The abscissa of a point A on the x- axis is 11 and another point is B ...
brainly.in
Let the line y=100 x-199 be intersect the graph of a function f(x)=x3-6 ...
tardigrade.in
if the coordinates of the points A and B are(-3,4) and B(-6,6),then ...
brainly.in
Given A(15,4) and B whose ordinate is twice its abscissa. If ab = 13 ...
brainly.in
Write down the abscissa and ordinate of the following from fig.5.11(i ...
brainly.in
International Trade Settlement in Indian Rupee (INR)
taxguru.in
Haryana Board - English Medium | Textbook Solutions For Class 9 ...
wiredfaculty.com
The product of abscissa and ordinate of co-ordinate (5,4) is - Brainly.in
brainly.in
Cameras under 10000: Buy top digital cameras online in India (2024)
lifestyleasia.com
Guru Ghasidas Vishwavidyalaya, Bilaspur
ggu.ac.in
Assertion (A): The abscissa of a point (5,2) is 5 Reason (R): The ...
brainly.in
The point is such that (abscissa of the point, other than zero) that is ...
brainly.in
In which quadrant, can a point have :(i) Ordinate equal to abscissa(i ...
brainly.in
without plotting the points indicate the quadrant in which they will ...
brainly.in
Find the abscissa of a point where ordinate is 4 and which is at a ...
brainly.in
Let ABCD in order be a square. The coordinates of A and C are (1, 3 ...
tardigrade.in
find the equation of the locus of a point which moves so that its ...
brainly.in
Draw the graph of the linear equation x + 2y = 8. and find the point on ...
brainly.in
In the given figure, (ordinate of A) – (abscissa oIn the given figure ...
brainly.in
find the abscissa of the point which divides the join of (-1, 7) and (4 ...
brainly.in
Hurun India 2025: 10 billionaire Indians who entered the rich list this ...
economictimes.indiatimes.com
the abscissae of two points A and B are roots of equation x^2 + 2ax - 4 ...
brainly.in
the abscissa of a point A is equal to its ordinate,and its distance fro ...
brainly.in
To find the values of abscissa and ordinate of various points given in ...
brainly.in
Let 'a' satisfies the equation log 7(5 a)- log 7(a-4)=1 and ' b ...
tardigrade.in
A point whose abscissa and ordinate are 2 and minus 5 respectively lies ...
brainly.in
write the following point whose abscissa = 0, ordinate = -9 - Brainly.in
brainly.in
Draw the graph of the linear equation x + 2y = 8. and find the point on ...
brainly.in
Torque and Angle sensing – Permanent Magnets Ltd
pmlindia.com
**Page Title:** "Top 10 Saree Trends Every Woman Must Know in 2024 ...
sanjarcreation.com
CNC KNOWLEDGE
cncknowledge.in
From the given figure, write a) The coordinates of the points B and F ...
brainly.in
Calculate the area bounded by the line x + y =10 and both the co ...
brainly.in
Related Searches
Abscissa Marvel
Ordinate
Eixo Das Abscissas
Abscissa Example
Abscissa Norfolk
Graph Abscissa
X and Y Coordinates
Abscissas E Ordenadas
Cartesian Coordinates
Abscissa Axis
Abiscca
Abisca
Abscissa Formula
Abscissa Long Beach
Y 6 On Graph
Abscissa Parabola
Abscissa X-Men
Abscissae Memphis
Cartesian Coordinate System
Absicaa
Abscissa Font
Cartesian Plane First Quadrant
Abcissa Font
Abscissae Spokane
Abscissae Jacksonville
Abscissae Ann Arbor
Ordenadas Abscisas
Abscissa Austin
Reta Abscissa
Abscissa ABA
Coordinate Plane Worksheets
Angular Abscissa
Abscissa Character
Abscissa Clovis
Cartesian Plane Quadrants
Abscissa Boise
Coordinate Points
A Coordinate Grid
X-Men 97 Abscissa
Abscissa Elgin
Ascissa Ordinata
Abscisses Graphique
Cartessian Coordinate System
Abscissa Acid and Diagram
Abscissa Chicago
Plano Cartesiano
Abscissa Torrance
Abscissa Flowers
Abscissa Augusta
Abscissa Denton
Search
×
Search
Loading...
No suggestions found