Find Your Style
Women
Men
Accessories
Search for clothing, brands, styles...
×
Women
Men
Accessories
Acab Images
Search
Loading...
No suggestions found
FLAT INR 1200 – Page 3 – SHOPFUSIO
shopfusio.com
ACME Group Garners Initial Capital For 300 Crore INR 'Connect' Fund ...
freepressjournal.in
Flight Delhi Paris from INR 53.884 RT - cheap flights Paris, France ...
wwws.airfrance.in
XYZ has net income of INR 250 million, depreciation of INR 90 million ...
brainly.in
Get Alia Bhatt's Stunning Wedding Dress Under INR 20,000 | LBB
lbb.in
ACQ 兌 INR:將 Acquire.Fi 轉換為 印度盧比 | 實時 ACQ 兌 INR 價格 | MEXC
mexc.co
[Solved] Management is considering a INR 100000 investment in a project ...
studocu.com
Dra. L.J. Amaral, nutricionista clínica: "Esta es la comida que no ...
cronista.com
Esto hace falta para que Leonardo Castro regrese a las canchas con ...
infobae.com
Why we say ‘ACAB’ | ACF
ancomfed.org
Planes - caed print outs - 60° X Y VP HP a b c b'(a') c' b'(a') c' a b ...
studocu.com
The Best Arts & Science College in Salem
avscollegeomalur.edu.in
For all sets A, B and `C, A - (B - C) = (A - B) - C`.
allen.in
(1/a + 1/b)(a + b - c) + (1/b + 1/c)(b + c - a) + (1/c + 1/a)(c + a - b ...
brainly.in
in figure find the perimeter of shaded region where adc, aeb and bfc ...
brainly.in
All Tenders of The Assam Co-operative Apex Bank Ltd. (ACAB)
acab.bank.in
using the formula let's multiply:(a+b+c) (b+c-a) (c+a-b) (a+b-c ...
brainly.in
以来加和巴力的祭司
churchofjesuschrist.org
A Cabin Bondamunda (ACAB) Railway Station: Station Code, Schedule ...
railyatri.in
Board of Directors | The Assam Co-operative Apex Bank Ltd. (ACAB)
acab.bank.in
_den_acab_ Dzianis Piakarchyk — Teletype
teletype.in
VWA to INR: Convert Virtual World Asses (VWA) to Indian Rupee (INR ...
coinbase.com
Watch Strong Girl Bong Soon TV Show Latest Episodes Online at Airtel ...
airtelxstream.in
Digital Logic: Find the complement of the following expressions: (a) (a ...
gateoverflow.in
Buy Online Sonata Steel Daisies Purple Dial Women Watch With Stainless ...
sonatawatches.in
Verify using the Venn diagram: a. A – B = A ∩ BC b. (A ∩ B)C = AC ∪ BC ...
brainly.in
simplify a(b-c)+b(c-a)+c(a-b) - Brainly.in
brainly.in
The Lord Speaks to Elijah
churchofjesuschrist.org
simplify the following expression and find the value when a = 1,b =2 ...
brainly.in
What is the value of (a - c) {(a - b) ^2 + (b - c) ^2 - (a - b) (b - c ...
brainly.in
What is the value of (a - c) {(a - b) ^2 + (b - c) ^2 - (a - b) (b - c ...
brainly.in
1. If a², b², c² are in AP, then prove that a/b+c,b/c+a,c/a+b are in AP ...
brainly.in
if a,b,c are in H.P , prove that a/b+c,b/c+a,c/a+b are in H.P - Brainly.in
brainly.in
If a=b², c = C^a, C= a^b then find a.b.c? - Brainly.in
brainly.in
If b+c/a,c+a/b.a+b/a are in A.P, then prove that 1/a.1/b,1/c are in A.P ...
brainly.in
a-b+ab, b-c+bc, c-a+ac - Brainly.in
brainly.in
The condition that the points (a, b+c), (b, c+a), (c, a+b) are ...
brainly.in
Point B is between A & C (A-B-C) If d (A,C) =17 d (B.C) = 6.5, d (A,B ...
brainly.in
a=b^c , b=c^a ,c=a^b find the valu of a*b*c option : (a) 0 (b) 1/2 (c ...
brainly.in
alb-c) /(C-a)(a - b) + b (C-a)/ C(a-b) (b-c)+ c(a-b)/(b-c)(c-a) = a ...
brainly.in
if the roots of the equation a(b-c)x2+b(c-a)x+c(a-b)=0 are equal, prove ...
brainly.in
simplify a(b-c) +b(c-a) +c(a-b) - Brainly.in
brainly.in
simplify (x^b/x^c)^b+c-a*(x^c/x^a)^c+a-b*(x^a/x^b)^a+b-c - Brainly.in
brainly.in
simplify : a(b-c) +b(c-a) +c(a-b) - Brainly.in
brainly.in
A Technical Look at USD/INR Amid a Record Plunge of Rupee to 78.4 ...
in.investing.com
以来加和巴力的祭司
churchofjesuschrist.org
1/a,1/b,1/c are in ap show that b+c/a,c+a/b,a+b/c are also in ap ...
brainly.in
(a+b)(c-d)+(a-b)(c+d)+2(ac+bd)+4b(a+c) Simplify......... - Brainly.in
brainly.in
6. Design a logic circuit to realize the following. (2)F(a,b,c) = AB ...
brainly.in
Indian Rupee Danish Krone (INR DKK) Converter - Investing.com India
in.investing.com
(x^b/x^c)^b+c-a × (x^c/x^a)^c+a-b × (x^a/x^b)^b+a-cplease help solve ...
brainly.in
Photo Gallery
acbcs.edu.in
a+b/c=b+c/a=c+a/b=k then the value of k is - Brainly.in
brainly.in
Express the Boolean Function, F (A, B, C) = AB + B'C' in product of ...
brainly.in
Prove that a^3+b^3+c^3 -3abc = 1/2(a+b+c){(a-b)^2+(b-c)^2+(c-a)^2 ...
brainly.in
SATHEE: Sets
satheejee.iitk.ac.in
(a+b+c) (b+c-a) (c+a-b) (a+b-c) - Brainly.in
brainly.in
Two circles `C_1a n dC_2` both pass through the points `A(1,2)a n dE(2 ...
allen.in
If a/b+c=b/c+a=c/a+b,prove that each fraction is equal to 1/2 or -1 ...
brainly.in
ACAB - Live at the Cefn Mably Penarth following the Six Nations England ...
allevents.in
verify a*(b-c)=(a*b)-(a*c), when a=-8,b=15 and c=9 - Brainly.in
brainly.in
Prove that:(a +b)3 (b +c)3 (c +a)3-3(a +b)(b +c)(c +a)=2(a3 +b3+ c3 ...
edurev.in
b+c-a/a c+a-b/b a+b-c are in ap. Proove that 1/a 1/b 1/c are in ap ...
brainly.in
Factorise:1 + a + b – c + ab – bc – ca – abc - Brainly.in
brainly.in
Verify A-( B n C) = (A-B) U (A- C) Find using Venn diagram please help ...
brainly.in
Ada unit v - Nothing - 0/1 Knapsack Problem using LCBB Consider the ...
studocu.com
without expanding the determinant show that (b+c c+a a+b, c+a a+b b+c ...
brainly.in
8. If a= (-1/3), b= (-3/5) and c=(-4/9) verify the following a + (b + c ...
brainly.in
The given figure represetns the Malpighian body. Identify the labelled ...
allen.in
a(b-c) +(c-a) +c(a-b) . find algebric expressions. - Brainly.in
brainly.in
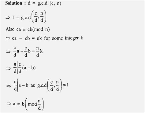
Example : if ca = cb (mod n), then a=bl modwhere d gc.d(c., n) a
scoop.eduncle.com
4. Verify that a = (b + c)(a + b) + (a + c) for the given values of a ...
brainly.in
Let a, b, and aa denote subsets of a space x. determine whether the ...
scoop.eduncle.com
? VERIFY THE using truth table A+B.C=(A+B).(A+C) - Brainly.in
brainly.in
Q: 10. Verify that a + (b + c) = (a + b) + c for each of the following ...
brainly.in
Points A(3, 1), B(5, 1), C(a, b) and D(4, 3) are vertices of a ...
shaalaa.com
simply (a+b+c)(a+b-c) - Brainly.in
brainly.in
The figures give below show the types of coelom. Identify them and ...
allen.in
KDC
kdc.ac.in
Men's hiking shoes | Aigle
aigle.com
Verify that a+ (b+c)(a+b)+(a+c) for the values of a, b and c as a 12, b ...
brainly.in
31/a bc aThe value of Determinant 1/b ca ble ab &(A) 0(B) (a - b)(b - c ...
brainly.in
If A = {1, 2, 3, 4, 5}, B = {1, 3, 5, 8}, C = {2, 5, 7, 8}, verify that ...
brainly.in
Jitendra Sharma (A.C.A,B.COM)
skspj.in
a(b-c)+b(c-a)+c(a-b) is equal to - Brainly.in
brainly.in
5. Simplify: (a+b-c) (a-b+c)kindely solve it i will mark you as ...
brainly.in
【ご予約】2段パールピアス 226507(charmaer) ※納期3月下旬 | 大人可愛い婦人服 Selectshop TAMAYA
shoptamaya.thebase.in
The increasing order of the boiling points of the major products A , B ...
tardigrade.in
If a b c = 0 then find the value of ( a^2/ bc b^2 / ca c^2 ab ...
edurev.in
1/a+b+c^-1 + 1/b+c+a^-1 + 1/c+a+b^-1=1 if abc=1 - Brainly.in
brainly.in
Q.3 2 a) Expand (i) (a + b) (ii) (a + b - c)² 3 Simplify (i) a³ – b³ ...
brainly.in
if A:B=3:5 and B:C=15:13 ,then find A:C. - Brainly.in
brainly.in
If the points A=(1,2),B=(0,0),C=(a,b) are collinear then show that 2A=B ...
brainly.in
Study the given flow chart of cyclic photophosphorylation and select ...
tardigrade.in
simplify a-[b-{c-(a-b-c)} - c] +a - Brainly.in
brainly.in
Points A(3, 1), B(5, 1), C(a, b) and D(4, 3) are vertices of a ...
shaalaa.com
If a2 b2 c2 are in ap then prove that a/b+c b/c+a c/a+b are in ap ...
brainly.in
8. let a, b, and aa denote subsets of a space x. determine whether the ...
scoop.eduncle.com
area of traingle formed by(a,b+c),(b,c+a),(c,a+b) is 1)0 2)4 3)3 4)2 ...
brainly.in
if pth ,qth and rth terms of an AP and GP both be a,b and c ...
brainly.in
IPL 2025 New Rules : एक-दोन नव्हे तर 3 मोठे बदल, IPL पूर्वीच BCCIने ...
news18marathi.com
Cable Matters USB 3.1 Type C USB-C to Type B USB-B Cable in Black 3.3 ...
amazon.in
`P` is the variable point on the circle with center at `CdotC A` and `C ...
allen.in
SOL to INR: Convert Solana (SOL) to Indian Rupee (INR) | Coinbase India ...
coinbase.com
2.2 if a, b, c are three rational number where a=2/3 , b=4/5 and c=-5/6 ...
brainly.in
Prove; If a^2, b^2, c^2 are in A.P. show that 1/b+c, 1/c+a, 1/a+b are ...
ask.learncbse.in
20. If A = 3b-2c. B = 2b- 4 + 2d, C = a + b + c find A + B - C ...
brainly.in
Prove; If a^2, b^2, c^2 are in A.P. show that 1/b+c, 1/c+a, 1/a+b are ...
ask.learncbse.in
Points A (3,1) B (5,1), C(a, b) and (2, 3) are vertices of ||gm ABCD ...
brainly.in
WEEK-4 - WEEK-4: i) Evaluate the following expressions. a. A+BC+(DE ...
studocu.com
6Generic English March 2023 - ISemester B.Sc./B.C.A./B. (FAD/IDD ...
studocu.com
If A(4,3,5), B(0,-2,2) and C(3,2,1) are three points. Then, the ...
tardigrade.in
If a= 15, b=-20, c=35 verify in the set of integers1. a+(b+c) = (a+b ...
brainly.in
Digital Logic: Simplified Boolean expression for A'BC+AB'C'+A'B'C'+AB'C+ABC
gateoverflow.in
IfA=b-c, B=9b-c+ 3 and C = a + b, Then (A+B)C= - Brainly.in
brainly.in
14: Value of (a-c) [(a−b)² + (b-c)²-(a - b) (b-c)] + (c-a)³ is equal to ...
brainly.in
The output Y of the combination of logic gates shown is equal to
tardigrade.in
If a,b,c are in hp then 1/b-a + 1/b-c is equal to - Brainly.in
brainly.in
Verfiy a +(b+c) = (a+b)+c for the following values of a,b and c. a=18 ...
brainly.in
if (b+c)/a, (c+a)/b and (a+b)/c are in AP, show that 1/a, 1/b and 1/c ...
brainly.in
Related Searches
Acab Band
Acab Logo
Acab Ultra
Acab Police
Acab 1312
Acab Meanings
Acab Tatto
Acab Stencil
Acab Meme
Acab Patch
Acab Tag
Acab Sticker
Rey Acab
Acab Pig
Acab Drawing
Acab Poster
Acab Tatoo
Acab Art
Acab Anarchy
Acab Foto
Acab PNG
Acab Clothing
Endo Acab
Acab Sign
Acab Flag
Acab Tattoo
Acab Merch
Acab Cap
Acab Text
Acab Hat
Acab Banner
Acab Malaysia
Gambar Acab
Acab Graffiti
Acab PFP
Acab Day
Balam Acab
Acab Dog
Acab Indo
Acab Means
Acab Acronym
Acab Decal
Acab Artinya
Acab Backgrounds
Acab Shop
Acab Music
Is Acab True
Acab Hooligans
Acab Vector
Acab Art Work
Search
×
Search
Loading...
No suggestions found