Find Your Style
Women
Men
Accessories
Search for clothing, brands, styles...
×
Women
Men
Accessories
Accelerating Genetic Algorithm
Search
Loading...
No suggestions found
Integrated Approach in Genomic Selection to Accelerate Genetic Gain in ...
mdpi.com
Genetic Algorithm vs Conventional Approach
vedveethi.co.in
Learning Genetic Algorithms with Python : Gridin, Ivan: Amazon.in: Books
amazon.in
Genetic Algorithm Introduced in Accelerating Operator: Abstract ...
bohrium.com
Genetic Algorithms and Machine Learning for Programmers Create AI ...
studocu.com
Accelerating a Geometrical Approximated PCA Algorithm Using AVX2 and CUDA
mdpi.com
Integrated Approach in Genomic Selection to Accelerate Genetic Gain in ...
mdpi.com
Optimization Design by Genetic Algorithm Controller for Trajectory ...
mdpi.com
Optimization Design by Genetic Algorithm Controller for Trajectory ...
mdpi.com
An Improved Genetic Algorithm for the Optimal Distribution of Fresh ...
mdpi.com
Integrated Approach in Genomic Selection to Accelerate Genetic Gain in ...
mdpi.com
Buy Introduction to Neural Networks, Fuzzy Logic & Genetic algorithms ...
desertcart.in
Bta-miR-125a Regulates Milk-Fat Synthesis by Targeting SAA1 mRNA in ...
mdpi.com
NNFL - Assignment - Genetics Algorithm MCQ What will happen when a ...
studocu.com
Bta-miR-125a Regulates Milk-Fat Synthesis by Targeting SAA1 mRNA in ...
mdpi.com
Genetic Algorithms - In Search Optimization And Machine Learning | By ...
shop.exam360.in
Quantum Genetic Algorithm for Cloud Data - CloudSim Projects | S-Logix
slogix.in
Genetic Algorithm based Workflow Scheduling in Cloud | S-Logix
slogix.in
Buy Genetic Algorithms Automate Test Case Creation Book Online at Low ...
amazon.in
Accelerating Genetic Gains in Legumes for the Development of Prosperous ...
oar.icrisat.org
Genetic Algorithms 1 Edition: Buy Genetic Algorithms 1 Edition by ...
flipkart.com
Genetic algorithm complete study with advantages and disadvantages ...
brainly.in
Buy Genetic Algorithms Book Online at Low Prices in India | Genetic ...
amazon.in
Buy Frontiers in Genetics Algorithm Theory and Applications (Springer ...
amazon.in
Genetic Algorithm Guide: The Methodology Of Solving The Bin Packing ...
amazon.in
Buy Genetic Algorithms in Search, Optimization, and Machine Learning ...
amazon.in
Buy Genetic Algorithms: The Design of Innovation Book Online at Low ...
amazon.in
A Scalable Sorting Network Based on Hybrid Algorithms for Accelerating ...
mdpi.com
Buy Genetic Algorithms Book Online at Low Prices in India | Genetic ...
amazon.in
GENETIC ALGORITHM FOR OPTIMIZING JOB SHOP SCHEDULING WITH VB-CODINGS ...
amazon.in
Genetic Algorithms : Amazon.in: Books
amazon.in
Genetic Algorithms and Engineering Design (Engineering Design and ...
amazon.in
How to accelerate the genetic improvement of a recalcitrant crop ...
oar.icrisat.org
Buy Introduction to Genetic Algorithms Book Online at Low Prices in ...
amazon.in
Ultra-high density intra-specific genetic linkage maps accelerate ...
oar.icrisat.org
MedGenome: Leading Genetics Diagnostics Lab in India
diagnostics.medgenome.com
A Scalable Sorting Network Based on Hybrid Algorithms for Accelerating ...
mdpi.com
Fillable Online Accelerating genetic progress in north Australian beef ...
pdffiller.com
A Scalable Sorting Network Based on Hybrid Algorithms for Accelerating ...
mdpi.com
Buy Genetic Algorithms for Machine Learning Book Online at Low Prices ...
amazon.in
Skynet, a genetic algorithm solution to the TSP
entropywins.wtf
Integration of gene-based markers in a pearl millet genetic map for ...
oar.icrisat.org
Introduction to Neural Networks, Fuzzy Logic & Genetic Algorithms: Buy ...
flipkart.com
Scientists discover a new way of sharing genetic information - India Today
indiatoday.in
Buy Shape Optimization of Femoral Im in Total Hip Arthroplasty: A ...
desertcart.in
Dynamic Genetics vs. Mann — Superflux
superflux.in
HANDBOOK OF APPLIED OPTIMISATION : GENETICS , FORMULATIONS AND ...
amazon.in
Indo-Irish Biotech startup CyGenica secures funding from SOSV to ...
aninews.in
Artificial Intelligence in Pharmaceutical Science: A Future Perspective
pharmanewscorner.in
Show Me Your Face / Johannes Pröll (AT), David Demmel (AT), Rupert ...
photos.ars.electronica.art
Current Affairs 27th June 2024 for UPSC Prelims Exam
studyiq.com
Buy Introduction to Neural Networks, Fuzzy Logic & Genetic algorithms ...
desertcart.in
How artificial intelligence is transforming the future of healthcare ...
tech.hindustantimes.com
Genetic Code Expansion: A Brief History And Perspective, 41% OFF
iiitl.ac.in
Despite Pricing Pressures, API Sector To Exhibit Resilience: Ind-Ra ...
businessworld.in
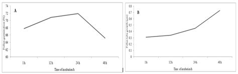
Effects of Sucrose, Boric Acid, pH, and Incubation Time on in Vitro ...
mdpi.com
Transcriptome Analysis Reveals Differentially Expressed Genes That ...
mdpi.com
SOFT Computing Notes - Module – 1 Introduction to Soft Computing ...
studocu.com
Show Me Your Face / Johannes Pröll (AT), David Demmel (AT), Rupert ...
photos.ars.electronica.art
Transcriptome Analysis Reveals Differentially Expressed Genes That ...
mdpi.com
Backpropagation
niser.ac.in
"भारत के साथ व्यापक आर्थिक सहयोग को गति देने के लिए तत्पर": श्रीलंका के ...
ndtv.in
पीएम मोदी ने दी 3 रेल परियोजनाओं को मंजूरी, बोले- UP, MP समेत इन ...
ndtv.in
Gene editing science in vitro genetic crispr genome engineering medical ...
freepik.com
Algorithm Visualizer | DSA Visualizer
dsavisualizer.in
Treatment Algorithm for MDR/RR-TB | Knowledge Base
ntep.in
Preimplantation Genetic Diagnosis: Cost, Steps and Benefits
medicoverhospitals.in
Optimization of Transpedicular Electrode Insertion for Electroporation ...
mdpi.com
Effects of Sucrose, Boric Acid, pH, and Incubation Time on in Vitro ...
mdpi.com
Microsoft’s Japan Chief Sees Country Accelerating Its Use of AI | Tech News
tech.hindustantimes.com
फोटो और वीडियो ही नहीं, अब जन्म से पहले बच्चे भी हो सकते हैं 'एडिट ...
ndtv.in
Top 10 everyday habits that secretly trigger hair fall - India Today
indiatoday.in
Effects of Sucrose, Boric Acid, pH, and Incubation Time on in Vitro ...
mdpi.com
The Luhn algorithm illustrated - Example of the Luhn algorithm in practice
stripe.com
Accelerating Semiconductor Innovation With Ansys
ansys.com
USPIRE, ACCELERATING BUSINESS GROWTH
theceo.in
AI News - Desktop
news.resnet.in
Biomanufacturing: The Future Of Medicine And Industry
theceo.in
NITI AAYOG, India
niti.gov.in
Lagware - Generative_Algorithm_R (IC011) - Industrial Complexx
industrialcomplexx.com
Genomic Analysis of Endophytic Bacillus cereus T4S and Its Plant Growth ...
mdpi.com
Research on Spatial and Temporal Divergence and Influencing Factors of ...
mdpi.com
Research on Spatial and Temporal Divergence and Influencing Factors of ...
mdpi.com
Research on Spatial and Temporal Divergence and Influencing Factors of ...
mdpi.com
Research on Spatial and Temporal Divergence and Influencing Factors of ...
mdpi.com
answer my question pls What is represented by the graph below ...
brainly.in
Research on Spatial and Temporal Divergence and Influencing Factors of ...
mdpi.com
Effects of Sucrose, Boric Acid, pH, and Incubation Time on in Vitro ...
mdpi.com
Digital Transformation
e-zest.com
PROS AND CONS OF Genetic Engineering - PROS AND CONS OF GENETIC ...
studocu.com
Our Accelerating Future: How Superintelligence, Nanotechnology, and ...
amazon.in
Hybrid Genetic Optimization for IC Chips Thermal Control: With MATLAB(R ...
amazon.in
Logo
ramp.msme.gov.in
Buy I SITE AF STRIP OF 10 CAPSULES Online & Get Upto 60% OFF at PharmEasy
pharmeasy.in
Grade 2 Robotics and Coding Follow the Algorithm - Twinkl
twinkl.co.in
Intravenous fluid therapy in adults in hospital: NICE Guidelines
speciality.medicaldialogues.in
How to Memorize Speedcube Algorithms Faster - Cubelelo
cubelelo.com
What is CRISPR? Explaining the gene-editing technology that won the ...
scroll.in
PyGGi
pyggi.iitd.ac.in
How to draw a genetic diagram - Brainly.in
brainly.in
Quick Sort | Ujjwalit
ujjwalit.co.in
Recombinant DNA Technology and Genetic Engineering 1st Edition - Buy ...
flipkart.com
सुरक्षित और मजबूत भारत बनाने पर जारी रहेगा काम... : दूसरी बार गृह ...
ndtv.in
Short Selling vs. Put Options: What’s the Difference? ($DJT Example ...
interactivebrokers.com
Diagnostic Algorithm for EPTB | Knowledge Base
ntep.in
Buy The Genealogist's Guide to Y- Testing for Genetic Genealogy: Second ...
desertcart.in
Read an Excerpt from The Algorithm Will See You Now by JL Lycette - # ...
ddsreviews.in
Genetic Algorithms in Electromagnetics (IEEE Press) eBook : Haupt ...
amazon.in
Event-Based Vision Software to Accelerate Embedded Machine Vision - EE ...
eetindia.co.in
F2L Method Explained: Why It Is Essential to Learn F2L to Solve Cube
cubelelo.com
आनुवंशिक विकार: प्रकार, कारण, उपचार, रोकथाम
medicoverhospitals.in
Semiconductor
appliedmaterials.com
Scientist links human consciousness to a higher dimension beyond our ...
economictimes.indiatimes.com
Faculty Blogs
marwaricollegeranchi.ac.in
Understanding Algorithms in Business: Applications and Benefits — AI ...
aiguru.in
what is genetic drift ? with example - Brainly.in
brainly.in
Viruses: Discovery, Characteristics, Structure & Classification | AESL
aakash.ac.in
Accelerating India's Development: A State-Led Roadmap for Effective ...
amazon.in
Gene Therapy
studyiq.com
Journal of Biosciences | Indian Academy of Sciences
ias.ac.in
Related Searches
Therapeutic INR
Warfarin Therapeutic INR
Warfarin Dose INR
INR Nomogram
INR Adjustment Chart
Supratherapeutic INR Algorithm
Coumadin INR Chart
Elevated INR Treatment
Coumadin INR Dosing Chart
INR Management
INR Therapeutic Range
Elv INR Algorithm
Warfarin Adjust Dose
Warfarin Inr Guidelines
High INR Treatment
Warfarin Protocol
Low INR
Warfarin INR Levels
Warfarin Inr Table
Warfarin Inr Goals
Warfarin Inr Titration
High PT/INR
Warfarin Monitoring
Warfarin Lab to Monitor
Protime and INR
Warfarin Dosage
INR Elevation
When to Adjust Warfarin
Warfarin Dosing Based On INR
Warfarin Inr AFib
Warfarin Mechanism of Action Diagram
Anticoagulation Algorithm
Calculation of INR
Warfarin Doses
INR Goal Table
INR Machine Code
When to Recheck INR
Warfarin and Rifampin
INR Ratio
Warfarin Adjustment ไทย
INR Bleeding
Warfrin Adjustment
New Start Warfarin Dosing Algorithm
INR Management Algorithm AAFP
Coumadin Flow Sheet Printable
INR Reversal Algorithm
Target INR Range Chart
INR Dosing
PT/INR Test
Warfarin Inr
Search
×
Search
Loading...
No suggestions found