Find Your Style
Women
Men
Accessories
Search for clothing, brands, styles...
×
Women
Men
Accessories
Account Operators Properties
Search
Loading...
No suggestions found
PPT on GST Concept, Registration, Migration & Enrollment
taxguru.in
Room Occupancy Excise Tax | Mass.gov
mass.gov
Configure User Accounts in FTDirectory
rockwellautomation.com
U.S. Bank FBO Account - workflow
developer.usbank.com
SBI BANK CODE SBCHQ-GEN-PUB-IND-INR MEANING.SBI DIFFERENT TYPES OF ...
digitalhelper.in
NRI Property Sale in India: Navigating Bank Accounts & Tax Compliance
taxguru.in
Hackthebox Forest · rchitect
rchitect.in
Interview Questions and Tips for Accountant, Tally Operator ...
workindia.in
ICICI Bank Property Auction List | Properties for Sale
icici.bank.in
simplyguest: Erstwhile operators of SimplyGuest launch property ...
economictimes.indiatimes.com
There are 3 types of accounts that you need to understand when book ...
studocu.com
Account Opening Register Book, 21 x 34 cm, 200 Pages, for Bank BC CSC ...
amazon.in
Now get your GHMC Property Tax Details In Hyderabad By Door Number
propertyadviser.in
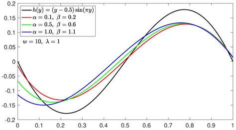
On the Properties of the Modified λ-Bernstein-Stancu Operators
mdpi.com
Capital Gains derived from Sale of Property set off under current year ...
taxscan.in
Property Hub World|Leading Real Estate Portal in India
propertyhubworld.com
A Guide on How to Reactivate DTH Account (All Operators) | selectra.in
selectra.in
Maharashtra Property Tax 2025: Assessment, Categories & Exemptions - Dwello
dwello.in
Further spectral properies of compact linear operator - Section 8 ...
studocu.com
Hotel Reservations Software, Fixed Assets Chart(Yearly), Fixed Assets ...
hotel-accounting-software.freeaccounting.in
ED conducts searches in Delhi, Goa against hawala operators linked to ...
firstindia.co.in
Filling MCD Property Tax Online
proptiger.com
Provisional Attachment of Property and Bank Accounts under GST: Steps ...
cleartax.in
SP Properties
spproperties.in
Property Operating Statement Form - Fill Online, Printable, Fillable ...
operating-statement-form.pdffiller.com
GST on Travel Agents & Tour Operators
taxguru.in
Infinite Linear Groups: An Account of the Group-Theoretic Properties of ...
amazon.in
How Premanand Maharaj Lives Without Property Or Bank Accounts Yet ...
msn.com
How to add new items to an Array in JavaScript (…) spread operator
encodedna.com
Existence and Regularity Properties of the Integrated Density of States ...
amazon.in
Active Directory: Managing Users Accounts and Properties | RoyalBosS
courses.royalboss.in
Property Company Accounts : Phillips, Simon: Amazon.in: Books
amazon.in
Verification of Statements of Account Submitted by Cable Operators and ...
flipkart.com
what is hermitian operetor - Brainly.in
brainly.in
PMC Bank scam: PMC Bank probe finds another ghost account operator
economictimes.indiatimes.com
Properties of Concrete, 5e : Neville: Amazon.in: Books
amazon.in
What Is a Rhombus? | Maths Definition & Examples | Twinkl
twinkl.co.in
Buy Home Slide Gate Opener Eagle 1000 FSC 1/2 HP Sliding Gate Motor ...
ubuy.co.in
On the Properties of the Modified λ-Bernstein-Stancu Operators
mdpi.com
Income From House Property - Calculation, Save Tax 's - Paisabazaar.com
paisabazaar.com
Telangana State Portal Logo
tmoa.in
How to Check Bank Account Owner Name By Account Number Online
vleclub.in
Know all about Maintaining Books of Accounts & Records under GST
taxguru.in
शिवसेना के बैंक खातों व अन्य संपत्तियों पर दावा करेंगे एकनाथ शिंदे ...
indiatv.in
The Weeds And Suspected Poisonous Plants Of Queensland: With Brief ...
amazon.in
Operators demolished their own madrasa in MP | First property destroyed ...
bhaskarenglish.in
Dhaka Court Orders Seizure Of Former PM Sheikh Hasina's Residence ...
freepressjournal.in
GST on E-commerce operator/business
taxguru.in
DBMS : Characteristics
minigranth.in
Maradu Flats Demolition | Supreme Court Lifts Attachment Of Two ...
livelaw.in
Petition · Telecom operator (Vi, Airtel) No Service Validity even after ...
change.org
PMC Bank scam: PMC Bank probe finds another ghost account operator
economictimes.indiatimes.com
Withdrawal of Amount from Bank Account for Purchase of Property and ...
taxscan.in
GST: Power to order Provisional Attachment of Property including Bank ...
taxscan.in
Vehicle and Operator Services Agency annual report and accounts 2013/14 ...
amazon.in
Mumbai News: Special CBI Court Orders De-Freezing Of Ex-J&K Minister ...
freepressjournal.in
Operators in C in Hindi - सी में ऑपरेटर क्या है? और प्रकार - Tutorial ...
tutorialinhindi.com
ESSI (Electronic Security Services, Inc.) Office Photos
glassdoor.co.in
A Comprehensive Guide To Estate Planning
getyellow.in
Printable Profit And Loss Form - Fill Online, Printable, Fillable ...
pdffiller.com
Valor Hospitality Partners Office Photos | Glassdoor
glassdoor.co.in
ED attaches property and bank accounts of Chartered Accountant of M/s ...
studycafe.in
DBMS Architecture and its Advantages - Simplynotes - Online Notes for ...
simplynotes.in
Operators in C++ - C++ Tutorial
sitesbay.com
POCLAIN OPERATOR TRAINING CENTER IN MATHURA - Management Course In ...
click.in
Convolutions: Image convolution examples - AI Shack
aishack.in
urban money: Latest News & Videos, Photos about urban money | The ...
economictimes.indiatimes.com
On shape parameter $\alpha$ based approximation properties and $q ...
preprints.org
Amazon.in: Buy Account of Robert Morris Property Book Online at Low ...
amazon.in
Sample Letter for Property Settlement - Client Position Doc Template ...
pdffiller.com
Types of Bank Accounts, Required Documents, and Digital Banking Payment ...
fininformatory.in
SQL Logical Operators
minigranth.in
ICICI Bank Statement - Format, Charges, How to Download Online/Offline
paisabazaar.com
Urgent Job vacancy Leading Chemical and Pharma industries at Ankleshwar ...
industrialjob.in
Aftermarket New Operators Manual Made for Minneapolis Moline Tractor ...
zoro.com
[updated] TNSAMB Jobs : TN Dept of Agricultural Marketing and Agri ...
tngovernmentjobs.in
Current Account In Banking: Meaning, Benefits, Types And How to Open
navi.com
Zero Balance Current Account: Eligibility & How To Open
navi.com
Strava Healthcare Private Limited Gujarat Job Openings for Production ...
industrialguide.co.in
How to create a new Apple Account - Apple Support (IN)
support.apple.com
BEST JCB OPERATOR TRAINING CENTER IN INDIA - Career Counseling Course ...
click.in
ED attaches immovable properties, bank accounts of late IAS officer his ...
crosstownnews.in
Aftermarket New Operators Manual Made Fits Case-IH 4 Row Corn Planter ...
zoro.com
Vostro Account | UPSC Current Affairs | IAS GYAN
iasgyan.in
TSERC Recruitment 2024 – Apply for of Deputy Director, Account Officer ...
careers247.in
Properties of Materials Worksheet
twinkl.co.in
Get Passport & Visa Services in Tumkur Karnataka India
karolikonnect.co.in
Logical opearators - Sql - SQL Logical Operators Operator Description ...
studocu.com
On the Properties of the Modified λ-Bernstein-Stancu Operators
mdpi.com
How to AirDrop from Android to iPad in 2025
mobiletrans.wondershare.com
Sample Letter Of Cancellation Of Purchase Property | pdfFiller
pdffiller.com
Login to your HP Account | HP® Support
support.hp.com
Strava Healthcare Private Limited Gujarat Job Openings for Production ...
industrialguide.co.in
On the Properties of the Modified λ-Bernstein-Stancu Operators
mdpi.com
DMRC (Delhi Metro Rail Corporation) - An Ideal Competitive Book for ...
amazon.in
Know What are the Different Types of Investment? - Paisabazaar.com
paisabazaar.com
State President
tmoa.in
Bop House Leak Tape Complete Visual Content #902
superadmin.kalaignarcentenarylibrary.tn.gov.in
Genesis Healthcare gets private-equity investment for nursing homes ...
inquirer.com
Reminiscences of a Stock Operator (Audio Download): Edwin Lefevre, Tom ...
amazon.in
Buy Targets in Heterocyclic Systems: Chemistry and Properties : Reviews ...
amazon.in
Logical Operators : Example
minigranth.in
Chairman TGTSL
tmoa.in
What is a Nostro and a Vostro Account? - India Dictionary
1investing.in
ITAT deletes Disallowance made on account of Expenses not allowable ...
taxscan.in
Latest News, Breaking News, Today Headlines, India News, Mumbai News ...
freepressjournal.in
PVR unveils Mysuru's biggest 6-screen multiplex
aninews.in
Properties of Angles Large Poster (teacher made)
twinkl.co.in
The Nature and Properties of Soil, 14e : Brady: Amazon.in: Books
amazon.in
UNIT 1 Notes Of data base managment system - Unit- Topics covered ...
studocu.com
make a attractive chart of properties of rational numbers - Brainly.in
brainly.in
Highway Toll Operators To Get Compensation For 3 Months For Loss Due To ...
thebonus.in
notice of delinquency Doc Template | pdfFiller
pdffiller.com
ISIS' Twitter Account Operator Mehdi Biswas Remanded to Police Custody ...
ibtimes.co.in
Add an email account to your iPhone, iPad or iPod touch - Apple Support ...
support.apple.com
What is a Dormant Account & How to Reactivate It?
navi.com
Write the properties of whole numbers and check whether they are ...
brainly.in
CA Western Towing General Towing Authorization Form - Fill Online ...
western-towing.pdffiller.com
No Evidence of Rental receipt from Property: ITAT sustain Addition on ...
taxscan.in
Related Searches
Quantum Operators
Number Operator
Operator Algebra
Hermitian Operator
Modulus Operator Properties
Operators in QM
Properties of Del Operator Formulas
Unary Operator
Linear Operator
Parity Operator Properties
Expectation Operator
Operator Equation
Hermitian Operator in Quantum Mechanics
Properties of Del Opertaor
Unary Operation
Deal Operator Properties
D Operator
What Is Hermitian Operator
Properties of Modulo
Math Operator
Relative Operators
Difference Operator
Properties of Hermition Operators
And/Or Operator
Examples of Linear Operators
Operator Must Be a Member Function
Quantum Mechanics Operators
Quantum Operators Properties
Inverse of an Operator
Eigen Operators
Product Operator Properties
Linear Function and Linear Operator Properties
Properties of Trace Operator
Operator Rules Quantum
Operator Chemistry
Integral Operators
Trace Operator Properties with Power
Properties of Modulo Operator
Properties of Hermitian Operator 5
Linear and Stationary Operators
Linear Operator Properties
And Operator
Operator in Math
Hermitian Operator Properties
Linear Operator Definition
Operators in Quantum Mechanics
What Is Linear Operator
Equation Operators
Integral Operator
Properties of Non Commuting Operators
Search
×
Search
Loading...
No suggestions found