Find Your Style
Women
Men
Accessories
Search for clothing, brands, styles...
×
Women
Men
Accessories
Acyl Cation
Search
Loading...
No suggestions found
INR Full Form: What is full form of INR?
bankersadda.com
Goldstone Tech acquires 'WowTruck' at INR 8 cr
psuconnect.in
Get Alia Bhatt's Stunning Wedding Dress Under INR 20,000 | LBB
lbb.in
Foodie Tour of the Sydney Opera House in Sydney from INR 15573 | Pelago
pelago.co
BTC to INR Converter, Convert Bitcoin to INR Exchange 2022 - Exchanger24
exchanger24.org
Mast Masala Oats | TATA Soulfull | INR 209/- only
soulfull.co.in
Bitcoin price today, BTC to INR live price, marketcap and chart | Suncrypto
suncrypto.in
Get 21+ Whiskey For INR 1850 In Bangalore | LBB
lbb.in
Functional Analysis of Rice Long-Chain Acyl-CoA Synthetase 9 (OsLACS9 ...
mdpi.com
Anticoagulation in Acute Pulmonary Embolism: Which Drug? How Long ...
universimed.com
Backbone Conformation Shifts in X-ray Structures of Human ...
mdpi.com
A Simple, Semi-Quantitative Acyl Biotin Exchange-Based Method to Detect ...
mdpi.com
Prospective Evaluation of Ghrelin and Des-Acyl Ghrelin Plasma Levels in ...
mdpi.com
What is the difference between acyl. and acetyl group
scoop.eduncle.com
Prospective Evaluation of Ghrelin and Des-Acyl Ghrelin Plasma Levels in ...
mdpi.com
Organic Cation Transporters in the Lung—Current and Emerging (Patho ...
mdpi.com
Prospective Evaluation of Ghrelin and Des-Acyl Ghrelin Plasma Levels in ...
mdpi.com
Prospective Evaluation of Ghrelin and Des-Acyl Ghrelin Plasma Levels in ...
mdpi.com
Prospective Evaluation of Ghrelin and Des-Acyl Ghrelin Plasma Levels in ...
mdpi.com
A triglyceride can have how many different acyl groups?
tardigrade.in
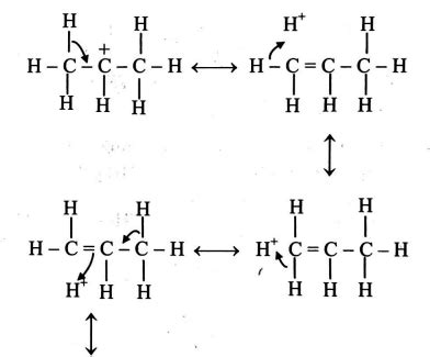
Reaction Mechanism Chemistry - Organic Chemistry PDF Download
edurev.in
Reaction Mechanism Chemistry - Organic Chemistry PDF Download
edurev.in
Reaction Mechanism Chemistry - Organic Chemistry PDF Download
edurev.in
A Simple, Semi-Quantitative Acyl Biotin Exchange-Based Method to Detect ...
mdpi.com
Reaction Mechanism Chemistry - Organic Chemistry PDF Download
edurev.in
Potassium and Cesium Fluorinated β-Diketonates: Effect of a Cation and ...
mdpi.com
How to make ketone and alcohol and carboxylic acid from acid chloride
scoop.eduncle.com
Mass Spectrometry of Some Common Functional Groups - Chemistry Optional ...
edurev.in
Mass Spectrometry of Some Common Functional Groups - Chemistry Optional ...
edurev.in
Carnitine Palmitoyl Transferase-1 Deficiency with Hepatic ...
casereports.in
Reaction Mechanism Chemistry - Organic Chemistry PDF Download
edurev.in
Mass Spectrometry of Some Common Functional Groups - Chemistry Optional ...
edurev.in
Prospective Evaluation of Ghrelin and Des-Acyl Ghrelin Plasma Levels in ...
mdpi.com
Prospective Evaluation of Ghrelin and Des-Acyl Ghrelin Plasma Levels in ...
mdpi.com
Name the electrophile produced in the reaction of benzene with benzoyl ...
ask.learncbse.in
Acyl chloride grignard reaction with little cdcl2 - Brainly.in
brainly.in
Introduction of ions — lesson. Science State Board, Class 8.
yaclass.in
Dabigatran Acyl-beta-D-Glucuronide-D3 trifluoroacetic Acid Salt | CAS ...
simsonpharma.com
Buy Hatchimals CollEGGtibles, Rainbow-Cation Family Hatchy Home Playset ...
ubuy.co.in
The radii of a+2 and bions are 1.12a and 1.31a, respectively. the ...
scoop.eduncle.com
Studying Peptide-Metal Ion Complex Structures by Solution-State NMR
mdpi.com
Carnitine Palmitoyl Transferase-1 Deficiency with Hepatic ...
casereports.in
Formulation of Nucleic Acids by Encapsulation in Lipid Nanoparticles ...
mdpi.com
How many hyperconjugation structures can be drawn for isopropyl cation?
tardigrade.in
Mass Spectrometry of Some Common Functional Groups - Chemistry Optional ...
edurev.in
ACYL - CV 625 TABLETS Avyukt Pharmaceuticals
company.pharmahopers.com
Ammonium Removal in Wastewater Treatments by Adsorbent Geopolymer ...
mdpi.com
The following six sentences come from a paragraph. The first and the ...
toppr.com
Efficient Bias-Free Degradation of Sulfamethazine by TiO2 Nanoneedle ...
mdpi.com
Crystal Defects in Chemistry: Definition, Types and Importance | AESL
aakash.ac.in
The Use of Polymer Inclusion Membranes for the Removal of Metal Ions ...
mdpi.com
How many hyperconjugation structures can be drawn for isopropyl cation?
tardigrade.in
.. Make a list of atleast 10 cations and 10 anions. - Brainly.in
brainly.in
Warfarin and Antibiotics: Drug Interactions and Clinical Considerations
mdpi.com
Solved: Determine the ratio of cations to anions in each. Compound ...
gauthmath.com
The Use of Triphenyl Phosphonium Cation Enhances the Mitochondrial ...
mdpi.com
International Trade Settlement in Indian Rupee (INR)
taxguru.in
IDENTIFY THE CATION AND ANION OF : a)NH3 b)NH4Cl c)SrCl2 d)O3 e)H2O ...
brainly.in
Prepare Valency charts separately for anions and cations - Brainly.in
brainly.in
1 million dong in indian rupees - Brainly.in
brainly.in
Recent Developments in Synthesis and Photocatalytic Applications of ...
mdpi.com
Write the formulae of three polyatomic radicals. - Brainly.in
brainly.in
What is the logic of ANIONS and CATIONS?????? - Brainly.in
brainly.in
Electromass Transfer in the System “Cation Exchange Membrane—Ammonium ...
mdpi.com
Study on In Vitro Metabolism and In Vivo Pharmacokinetics of Beauvericin
mdpi.com
When Al2O3 is electrolysed ,cation and anions are discharged. For a ...
edurev.in
An ionic crystal lattice has r+ /r- radius ratio of 0.524 its co ...
brainly.in
Efficient Bias-Free Degradation of Sulfamethazine by TiO2 Nanoneedle ...
mdpi.com
What is the difference between cation and anion?I am fine. - Brainly.in
brainly.in
Social Support, Identity Affirmation, and Psychological Well-Being: A ...
mdpi.com
Clopidogrel impurities
simsonpharma.com
Bempedoic Acid Acyl Glucuronide | CAS No- NA | Simson Pharma Limited
simsonpharma.com
Intentionally Incorporated Fe Cations in Silverton Polyoxometalates ...
mdpi.com
Ketoprofen Acyl-beta-D-glucuronide (Mixture of Diastereomers) | CAS No ...
simsonpharma.com
Barriers to Classroom Communication
journaleet.in
difference between cations and anions in chemistry: Definition, Types ...
aakash.ac.in
Coagulation Analyzer - Micropoint Q3 Pro Electrometer PT-INR Wholesaler ...
r2healthcare.in
Chemistry 3 - Resonance Structure of Phenyl Carbocation - Organic ...
studocu.com
Flurbiprofen Acyl-beta-D-glucuronide (Mixture of Diastereomers) | CAS ...
simsonpharma.com
SODA KA DHAMAKA nye-parties Event Tickets Mumbai - BookMyShow
in.bookmyshow.com
Rupee Depreciation: Will India's Exports Stand To Gain? | Investing.com ...
in.investing.com
Non-stoichiometric cuprous oxide, Cu2O can be prepared in laboratory ...
wiredfaculty.com
Observe the orbital diagram showing hyperconjugation in ethyl cation ...
tardigrade.in
Explain use of cation to anion radius ratio?? - Brainly.in
brainly.in
2M of100 ml Na2So4 is mixed with 3M of 100ml NaCl solution and 1M of ...
brainly.in
Discover The Best Brands & Recommendations For Basics | LBB
lbb.in
Biomolecules Class 12 Notes Chemistry Chapter 14 CBSE
oswalpublishers.com
SODA KA DHAMAKA nye-parties Event Tickets Mumbai - BookMyShow
in.bookmyshow.com
compound formation using valences of element and polyatomic ions ...
brainly.in
Welcome to DSM
drratnadeep.in
Understanding Bent’s Rule: A Key Concept in Hybridization and Bonding
chemca.in
Inflation or disinflation - Where are dollar & rupee moving? - The ...
economictimes.indiatimes.com
Nitride: Definitions, Valency, Types, Features, Preparation, and ...
collegesearch.in
Effect of Substituents on the Homopolymerization Activity of Methyl ...
mdpi.com
draw the structure and write the IUPAC name of1). CH3CH2CH2CH2OH2 ...
brainly.in
Next tranche of Bharat Bond ETF opens tomorrow: 10 things on NFO | Mint
livemint.com
Medpulse Volume 4
medpulse.in
SODA KA DHAMAKA nye-parties Event Tickets Mumbai - BookMyShow
in.bookmyshow.com
What will be the ratio of the wavelength of the first line to that of ...
brainly.in
Sri Lanka and Russia in talks to use the rupee in foreign trade
currentaffairs.adda247.com
International Trade Settlement in Indian Rupee (INR)
taxguru.in
Currency Exchange in Chandigarh at the Best Forex Rates Online
makemytrip.com
USDINR – Is It A Price Action Pullback Or Shakeout ? | Investing.com India
in.investing.com
calculate the number of sodium ions and sulphate ions in 106.5g Na2SO4 ...
brainly.in
Water Deionization Systems: Laboratory Use [High-Purity] - Cole-Parmer ...
coleparmer.in
pH Sensor Mastery- A Comprehensive Guide to Types, Applications, and H ...
thinkrobotics.com
Year-ender 2022: Three factors that will drive INR/USD rate next year ...
livemint.com
14 लाख होम लोन ईएमआई कैलकुलेटर: सबसे सही कैलकुलेशन
rinkarj.com
How are univalent,divalent,trivalent ions formed ? Give appropriate ...
brainly.in
What is radius ratio rule ? If radius of cation is 0.95 Å and those of ...
brainly.in
International Economics: Global Markets And Competition (3rd Edition ...
amazon.in
Class 8 Chemical Effects Of Electric Current
pw.live
Understanding Different Types of Cement and Their Uses | Pahari Home ...
paharihomesolutions.in
Buy Hplc of Acyl Lipids Book Online at Low Prices in India | Hplc of ...
amazon.in
7 Best Dog Grooming Parlours In Bangalore | LBB, Bangalore
lbb.in
How will concentration of Zn ^2 + ions and Ag ^ + ions be affected when ...
brainly.in
Products
hedrich.com
The Wire: The Wire News India, Latest News,News from India, Politics ...
thewire.in
Buy Maruti GRAND VITARA SMART HYBRID ALPHA 1.5L 6AT Dual in Kerala ...
indusmotor.com
Ausfüllbar Online malsch Stetig auf ber 400 angestiegen ist die Zahl ...
pdffiller.com
Related Searches
Acyl Bond
Acyl Group Structure
Acyl Substitution
Acylium
Acyl Phosphate
Acylium Cation
Acyl Donor
Alkyl vs Acyl
Acyl Addition
Acyl Ion
O-acyl
Acetyl Cation
Acyl Compounds
Acyl Intermediate
What Is Acyl Group
Acylated
Acylation
Acyl Pyridinium
Acyl Chemistry
Carbonyl Acyl
Acyl G
Acyl Band
Examples of Acyl Group
Diacetylferrocene
Acryl Groups
Acyllium Cation
Aromatic Cation
Nucleophilic Acyl Substitution Reaction
Acylium Ion Formation
FC Alkylation
Acyl Halide Ir
Acyl Formula Structural
Acyl Molecule
Acyl S COA
Acylating
Nitroalkane
Acyl Carbene
Types of Acyl Groups
acyl-CoA Synthesis
Resonance Structure of Acyl Cation
Acyl-Enzyme Intermediate
Acylation Mechanism
Hinsberg Reaction
Acyl Eau
Acetic Acid Molecule
Acetylide Anion
Acyl Anion Equivalent
Carboxylate Anion
Gốc Acyl
Acylating Agent
Search
×
Search
Loading...
No suggestions found