Find Your Style
Women
Men
Accessories
Search for clothing, brands, styles...
×
Women
Men
Accessories
Adf Family Life
Search
Loading...
No suggestions found
Anand Kamalnayan Pandit — INR 8,660 Cr (Sri Lotus Developers & Realty ...
economictimes.indiatimes.com
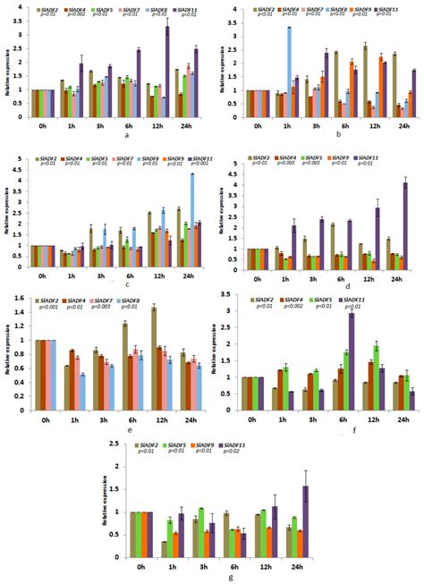
Genome-Wide Identification, Characterization and Expression Profiling ...
mdpi.com
Genome-Wide Identification, Characterization and Expression Profiling ...
mdpi.com
Genome-Wide Identification, Characterization and Expression Profiling ...
mdpi.com
Genome-Wide Identification, Characterization and Expression Profiling ...
mdpi.com
An ADF Families Event: ADF Equip Program expression of interest ...
allevents.in
An ADF families event: Child of the ADF Medallion, Richmond, Metro ...
allevents.in
An ADF families event: Bubs and Bellies on the Base - Cairns, HMAS ...
allevents.in
An ADF families event: Child of the ADF Medallion Ceremony, Brisbane ...
allevents.in
An ADF Families Event: ADF Equip "Absence from home" - Brisbane ...
allevents.in
An ADF families event: Join DMFS and Open Arms at Anzac Memorial ...
allevents.in
An ADF families event: Child of the ADF Medallion Ceremony - RAAF Base ...
allevents.in
An ADF families event: Calmsley Hill City Farm Family Day, SYD/LIV ...
allevents.in
Genome-Wide Identification, Characterization and Expression Profiling ...
mdpi.com
Fillable Online National ADF Family Fax Email Print - pdfFiller
pdffiller.com
ADF family event: Coffee Connections - Brisbane, Upper Kedron, Cafe 63 ...
allevents.in
An ADF families event: Darwin Military Museum Visit, Darwin, Darwin ...
allevents.in
Genome-Wide Identification, Characterization and Expression Profiling ...
mdpi.com
The Role of the ADF Gene Family in Maize Response to Abiotic Stresses
mdpi.com
DMFS End of Year Pool Party for ADF Families, Newmarket Olympic Pool, 7 ...
allevents.in
The Role of the ADF Gene Family in Maize Response to Abiotic Stresses
mdpi.com
An ADF National Families Week event: Family day at RAAFA Aviation ...
allevents.in
ADF families 2023 Welcome Event for Melbourne, Cerberus & Puckapunyal ...
allevents.in
An ADF families’ event: Easter adventure at the SA Maritime Museum ...
allevents.in
An ADF National Families Week event: Family day at RAAFA Aviation ...
allevents.in
An ADF members and families event: Botanic Gardens Discovery Walk ...
allevents.in
An ADF Families event - Coffee Connections, Clunies Ross Street, Acton ...
allevents.in
Defence Pension Scheme: Types, Benefits, and Eligibility | HDFC Life
hdfclife.com
Family Life Insurance | Best family life Insurance plans - SMC Insurance
smcinsurance.com
An ADF Families Event- Kids Craft and Adult Connection Session ...
allevents.in
An ADF families event: Christmas Under The Stars- Family Movie Night ...
allevents.in
An ADF families event: Kids Christmas craft pack, Western Australia ...
allevents.in
An ADF families event: HMAS Cairns Christmas Party, HMAS Cairns ...
allevents.in
An ADF families event: Haighs’ Chocolate Factory Tour, Haigh's ...
allevents.in
An ADF Families Event: Bowling Holiday Fun @ Zone Penrith - DMFS ...
allevents.in
An ADF families’ event: Coffee connections and DIY rainbow macramé ...
allevents.in
An ADF families event: Balloon Workshop, Darwin, Darwin RAAF Base ...
allevents.in
Families Past and Present PowerPoint | Twinkl Australia
twinkl.co.in
Kasese Guide Radio - The Voice Of Truth (Omulenge Owokwenene)
radiocomnetu.org
When a Family Member Has OCD: Mindfulness and Cognitive Behavioral ...
storytel.com
ADF Families Event - Coffee Connections - HMAS Cerberus, Steamin Mugs ...
allevents.in
An ADF Lateral Transfer families event - Meet and Greet, Brisbane ...
allevents.in
Photos Family Naturist - Capturing Life Moments
ixd.anu.edu.in
Notes for Life
notesforlife.in
ADF Foods Share Price Today - Adf Foods Stock Price Live NSE/BSE
groww.in
Relish Dal Chawal Paired with ADF Pickles and Chutneys – ADF Soul
soul-foods.in
Colo. company secures injunction against HHS mandate | Catholic News Agency
catholicnewsagency.com
15th Arab Diabetes Forum " ADF 2024 ", Cairo Marriott Hotel, 1 October ...
allevents.in
ADF Amulet Crystal Tree of Life Pendant with chain for Necklace ...
flipkart.com
A Hyderabad home made for family life
architecturaldigest.in
Consumer behaviour - Family life cycle Along with family decision ...
studocu.com
An ADF Families Event: Bowling Holiday Fun @ Zone Penrith - DMFS ...
allevents.in
Life Events, Family Life Cycle and Disaster — Vikaspedia
vikaspedia.in
Buy Images of Family Life in Magazine Advertising, 1920-78 Book Online ...
amazon.in
Viren Merchant Wiki, height, Age, Family, Networth, Biography [2021]
wikibioage.in
DCP-T710W All In One ADF Ink Tank Printer | Brother India
brother.in
Family life cycle stages in the marketing
projectguru.in
Illustration of family life insurance | Free Vector
freepik.com
Families: Then and Now (F-2)
twinkl.co.in
Past and Present Family Life Worksheet
twinkl.co.in
Barley Bliss with Jau Ki Roti and ADF Pickles for a Wholesome Meal ...
soul-foods.in
Marine Life Encounter at Cairns Aquarium, Cairns Aquarium, CAIRNS ...
allevents.in
Nutritious Delight with Nachni Roti and ADF Pickles for a Wholesome Me ...
soul-foods.in
Printers :: Brother DCP-T830DW All-in-One Wireless Ink Tank Printer ...
poscentral.in
Taste the Tangy Goodness of Kadhi Chawal with ADF Pickles and Chutneys ...
soul-foods.in
Gor Keri Pickle ADF Soul – JITCO
jitco.in
A Buttery Indulgence Butter Roti with ADF Pickles and Chutneys – ADF Soul
soul-foods.in
Buy Scorpion ADF-9000 Air Desert Motocross Helmet Online – superbikestore
superbikestore.in
Sound Healing Immersion Hastings, Hastings Community Hall, Balnarring ...
allevents.in
ADF Foods Ltd. | marketmilestone.in
marketmilestone.in
B11B205501 | Epson WorkForce DS-6500 Flatbed Document Scanner with ...
epson.co.in
Family and personal life - Ramoji Film City founder passes away: Who ...
economictimes.indiatimes.com
Life Cycle of a Tiger Diagram Activity Pack (teacher made)
twinkl.co.in
Tata AIA Life Insurance and CNBC-TV18 Join Forces to Champion Trusted ...
businessminutes.in
Instant Ragi Dosa: Wholesome, Quick, and Made Better with ADF Soul Foo
soul-foods.in
Explain the stages of family life cycle. - Brainly.in
brainly.in
Term Insurance And Its Benefits - BW Businessworld
businessworld.in
Buy Health and Family Life Education Activity Book 4: for primary level ...
amazon.in
25 killed by ADF rebels in horrific attack on New Years Eve in DR Congo ...
indiatv.in
HP Smart Tank 750 All-in-One Printer with ADF - Shop HP.com India
hp.com
Ji-yeon shares updates on life in America post-divorce amid visible ...
biz.chosun.com
Sonam Kapoor's Untold Story: From Sexual Harassment to Family Life ...
divyabhaskar.co.in
Tantalizing Methi Roti Combinations with ADF Pickles & Chutneys – ADF Soul
soul-foods.in
Billionaire Dad Virtual Family Simulator Game – Rich Dad Luxury Life ...
amazon.in
Jeremy Loughman to remain at Munster to 2028 – The Irish Times
irishtimes.com
Buy Family Life Book Online at Low Prices in India | Family Life ...
amazon.in
WJMJ listen live
liveradious.com
Buy Scorpion ADF-9000 Air Trail Motocross Helmet Online – superbikestore
superbikestore.in
Family Fun Sports Day for (St Marys Pupils and families), St Mary's C ...
allevents.in
Monklear ADf — Teletype
teletype.in
Canon E4570 All-in-One Wi-Fi Ink Efficient Colour Printer with FAX/ADF ...
vlebazaar.in
Buy Chutney Online | Authentic Indian Taste | ADF Soul Foods
soul-foods.in
robability mass, density, and cumulative distribution functions ...
studocu.com
SIMPSON BARRACKS ADF EXPO 2025, Simpson Barracks, Eltham, 18 May 2025 ...
allevents.in
HP ADF Roller Replacement Kit (W1B47A) - Shop HP.com India
hp.com
HP ADF Separation Pad (3KR68A) - Shop HP.com India
hp.com
HP Smart Tank 750 All-in-One Auto Duplex WiFi Colour Printer with ADF ...
amazon.in
Multilingualism: An Enrichment For Children's Lives | NewsClick
newsclick.in
Buy Indigenous Families: Life in Harmony With Nature: The Amazon ...
amazon.in
Stuck in Lebanon: A Syrian Refugee Family's Life in Limbo - The Wire
thewire.in
Buy Family Life in the Kingdom Book Online at Low Prices in India ...
amazon.in
HP LaserJet ADF Pick Roller (Z7Y64A) - Shop HP.com India
hp.com
B11B204502 | Epson WorkForce DS-60000 A3 Flatbed Document Scanner with ...
epson.co.in
UPDATE: Ace Combat 7, Season Pass. New aircrafts, Skins And More...
in.ign.com
Sawa Chawal Perfected with ADF’s Irresistible Pickles and Chutneys ...
soul-foods.in
HP DeskJet Ink Advantage 4388 All-in-One Printer Launched in India ...
techstoriesindia.in
Family Life in West Africa: 50 Stories about Loving Africa eBook ...
amazon.in
Buy Epson EcoTank L6290 All-in-One Ink Tank Printer with ADF Print/Scan ...
ubuy.co.in
HP Smart Tank 790 Wi Fi All-in-One Printer Duplexer with ADF and Magic ...
hp.com
Sad quotes in english about life reality | Sad life quotes in english
familystatus.in
Bourses militaria ADF, 79 Avenue de la tour , 83490 Le Muy, France ...
allevents.in
Armored Thermocouples
in.omega.com
HP ADF Pick Roller Assembly (3KR69A) - Shop HP.com India
hp.com
yuvraj singh family life: Latest News & Videos, Photos about yuvraj ...
economictimes.indiatimes.com
Life in quarantine: How are you spending your time with family?
femina.in
HP Smart Tank 750 All-in-One Printer with ADF - Shop HP.com India
hp.com
Melissa Malano Complete Content Download #979
superadmin.kalaignarcentenarylibrary.tn.gov.in
Samsung Launches Connected Refrigerator SpaceMax Family Hub™ in India ...
news.samsung.com
Pelorus Technologies Collaborates with ADF Solutions to Support India’s ...
theweek.in
HP Ink Advantage 4278 Printer, Automatic Document Feeder (ADF), Print ...
hp.com
Related Searches
ADF Semski
ADF German Poster Family
Garmin ADF
ADF Pay Chart
Hadf Family Shak Hand
The Actin Family
RAAF Family
ADF Jam Brother
ADF Rolls
ADF Sign Up Posters
ADF School
Your Family
ADF Mental Health Logo
ADF Image
Family Reunion Itinerary Ideas
ADF Samski
ADF Poster
ADF Pollies
Kids and Family
ADF Jam
Fact Family Triangles Worksheet
One Family Defence House
Upset Family Moving
Family Facts of 20 Worksheets
Child of the ADF Medal
The Addams Family Movie Wallpaper
ADF Samski Foto
ADF PNG
Dominic Tinning ADF Veteran
Photos of ADF Member
DF Alliance PNG
Family Photo Prints
Math Fact Family House Worksheet
ADF Navy Men
ADF Chiefs
ADF Poster Girls
Family Christmas Pictures
The Fearn Family
ADF Navy Submariners
Child of ADF Medallion
Photos of ADF Member in Therapy
Offical ADF Portrait
Australian Military Family
ADF Range Trunk
ADF Samski Jonko
ADF Samski Wallpaper
Search
×
Search
Loading...
No suggestions found