Find Your Style
Women
Men
Accessories
Search for clothing, brands, styles...
×
Women
Men
Accessories
Adol Condensations
Search
Loading...
No suggestions found
INR Full Form: What is full form of INR?
bankersadda.com
Ugro Capital Crosses Inr 10000 crore aum milestone launches 10k ...
psuconnect.in
Top 10 Countries Where INR Has the Highest Value in 2025
currentaffairs.adda247.com
CA Fresher bags INR 49.20 Lakhs Package in 58th ICAI Campus Placement Event
taxscan.in
Explore the smoothest whiskey collection: Best Scotch under INR 2000
lifestyleasia.com
KWD to INR conversionDownload it from KWD to INR conversion for free 7.99
durslt.du.ac.in
1 LTC to INR Converter, 1 Litecoin to INR in 2022 - Сryptocurrency-exchange
cryptocurrency-exchange.us.com
Can realization of export proceeds be in INR in India?
howtoexportimport.com
INR extends winning streak
msn.com
Get Alia Bhatt's Stunning Wedding Dress Under INR 20,000 | LBB
lbb.in
Tom Cruise's anti-ageing 'poop' facial costs INR 14,000 per sitting ...
timesofindia.indiatimes.com
What are aldol condensation? Definition, Types and Importance ...
aakash.ac.in
The topic covers Aldol Condensation, focusing on both the acid ...
allen.in
Aldol condensation - It's lecture notes. - Aldol condensation Reaction ...
studocu.com
The topic covers Aldol Condensation, focusing on both the acid ...
allen.in
Aldol Condensation: Reaction, Mechanism & Application | AESL
aakash.ac.in
Write reaction showing aldol condensation of cyclohexanone. - Brainly.in
brainly.in
Of the following, which is the product formed when cyclohexanone ...
brainly.in
Write the structure of the major product of the following crossed aldol ...
brainly.in
Intramolecular aldol condensation : The aldol condensation also offer a ...
allen.in
convert acetone to Mesitileoxide............ - Brainly.in
brainly.in
Pharmaceutical Organic Chemistry - I | Video Lectures | Bachelor of ...
pharmalite.in
Aldol: Reactions due to Alpha Hydrogen Video Lecture - Chemistry Class ...
edurev.in
Solved Practice Questions on Condensations reactions: Aldol, Claisen ...
edurev.in
Anticoagulation in Acute Pulmonary Embolism: Which Drug? How Long ...
universimed.com
Aldol Condensation: Reaction, Mechanism & Application | AESL
aakash.ac.in
The correct statement about the synthesis of erythritol (C(CH2OH)4 ...
tardigrade.in
Write the structures and iupac names of the cross aldol condensation ...
brainly.in
Whch of the following gives aldol condensation reaction?
allen.in
Solved Practice Questions on Condensations reactions: Aldol, Claisen ...
edurev.in
Physiological and Pathological Roles of Aldose Reductase
mdpi.com
Controlling Microenvironments with Organs-on-Chips for Osteoarthritis ...
mdpi.com
Synthesis and Photocatalytic Properties of Four Coordination Compounds ...
mdpi.com
Aldol, Cannizzaro and Haloform Reaction Mind Map | Organic Chemistry ...
esaral.com
ALDOL Suspension Dolvis Bio Pharma Private Limited
company.pharmahopers.com
Condensation in Chemistry: Definition, Types and Importance | AESL
aakash.ac.in
Acyloin condensations - Chemistry Optional Notes for UPSC PDF Download
edurev.in
conversion of ethanal into crotonaldehyde - Brainly.in
brainly.in
Uses and SideEffects of Warfarin: What You Need to Know
medicoverhospitals.in
International Trade Settlement in Indian Rupee (INR)
taxguru.in
Organic Chemistry and Synthesis Rely More and More upon Catalysts
mdpi.com
USD/INR Cracks Big: Falls 2% in 4 Days! | Investing.com India
in.investing.com
Adol Australian Bush Flower Essences 30ml - Loreto Pharmacy
pharmacyloreto.com
Warfarin sodium in India - Chemicalbook.in
chemicalbook.in
SATHEE: Aldol Condensation
satheejee.iitk.ac.in
Adol 500mg Tablet: Uses, Side Effects, Price, Dosage & More Info ...
pharmeasy.in
USD/INR at Record High! Why RBI is Failing to Curb the Rupee’s Fall ...
in.investing.com
Adol 500 MG Tablet (10): Uses, Side Effects, Price, Dosage ...
pharmeasy.in
Adol 500 MG Tablet (10): Uses, Side Effects, Price, Dosage ...
pharmeasy.in
Organic Chemistry and Synthesis Rely More and More upon Catalysts
mdpi.com
A compound of molecular formula ` C_(8)H_(8)O_(2)` reacts with ...
allen.in
SATHEE: Aldol Condensation
satheejee.iitk.ac.in
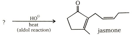
Choose the reactant whose aldol reaction would give jasmone.
allen.in
USD/INR Breaking Imp. Trendline; Is Nifty 50 Topping Out? | Investing ...
in.investing.com
How Indian Rupee Stands Against Other Major Currencies
indiatimes.com
International Trade Settlement in Indian Rupee (INR)
taxguru.in
Warfarin R-Isomer | CAS No- 5543-58-8 | NA
chemicea.com
Intramolecular aldol condensation : The aldol condensation also offer a ...
allen.in
Intramolecular aldol condensation - Chemistry Video Lecture - Class 12
edurev.in
Back To Black: | Grazia India
grazia.co.in
The Kinetic particle model of matter Flashcards | Quizlet
quizlet.com
Buy Antique Set Online | Antique Set by Manubhai.
manubhai.in
8 Obat Stroke yang Efektif dan Tersedia di Apotik - Alodokter
alodokter.com
Identify the reaction and write the IUPAC name of the product formed ...
philoid.in
Wen Price | WEN to USD Converter, Chart and News
binance.com
Buy Gold Earrings Online | Gold Earrings by Manubhai.
manubhai.in
Adol 500 MG Tablet (10): Uses, Side Effects, Price, Dosage ...
pharmeasy.in
Warfarin Sodium
kmpharma.in
How Indian Rupee Stands Against Other Major Currencies
indiatimes.com
USD/INR forecast: Indian rupee analysis ahead of RBI decision By Invezz
in.investing.com
Contact-us – Permanent Magnets Ltd
pmlindia.com
Retro-aldol and retrosynthesis Video Lecture - Organic Chemistry for MCAT
edurev.in
Warfarin Alcohol Impurity | CAS No- 28392-96-3 | Simson Pharma Limited
simsonpharma.com
What is Condensation? | Twinkl - Twinkl
twinkl.co.in
A compound of molecular formula ` C_(8)H_(8)O_(2)` reacts with ...
allen.in
Fed’s 75 bps Hike: Rupee Falls to Record Low, Sets Eye for ‘82 ...
in.investing.com
ICMR - National Institute of Nutrition, India
nin.res.in
Diagnosis Atrial Fibrilasi - Alomedika
alomedika.com
Zen Publications
zenpublications.com
Buy Antique Set Online | Antique Set by Manubhai.
manubhai.in
Hurun India 2025: 10 billionaire Indians who entered the rich list this ...
economictimes.indiatimes.com
question based on the mixed or cross aldol reaction...find the product ...
brainly.in
India Tourism
traveltrendstoday.in
Naltrexone Aldol Dimer | Cas no- NA | NA
chemicea.com
Best Warfarin Embryopathy Specialists in India
medicoverhospitals.in
Buy Gold Pendant Set with Earrings Online India | Latest Gold Pendant ...
manubhai.in
Indonesian Rupiah - Buy IDR Currency Online in India
makemytrip.com
ALDOL-I Suspension Dolvis Bio Pharma Private Limited
company.pharmahopers.com
Most expensive bottles of whiskey in India | Lifestyle Asia India
lifestyleasia.com
Diamond Necklace Designs | Buy Diamond Necklace Set Online at Best ...
manubhai.in
Did You Know About India's Rs 10,000 Rupee Note
indiatimes.com
Light Weight Gold Jewellery with price | Daily Wear Gold Jewellery Online
manubhai.in
Accounting for Management: Text and Cases, 3e by S.K. Bhattacharyya ...
vikaspublishing.com
Gold Necklace Set for Women | Buy Gold Necklace Set Online India ...
manubhai.in
Latest Car & Bike News & Reviews | BBC Topgear India Magazine
topgearmag.in
Hurun India 2025: 10 billionaire Indians who entered the rich list this ...
economictimes.indiatimes.com
Condensation - Heat Transfer - GATE Chemical Engineering Questions ...
msubbu.in
The best AI laptops we saw at CES 2025 - Blog
appsmanager.in
Sell 1INCH for NZD | 1INCH to NZD Calculator
binance.com
Stereoselective Direct Aldol Reactions: Buy Stereoselective Direct ...
flipkart.com
REVO830 Revolutionary Whole Slow Juicer
kuvingsindia.in
Amaran movie: The heart-stopping true story of Major Mukund Varadarajan
lifestyleasia.com
Aldol Condensation Dimer of Testosterone | CAS No- NA | NA
chemicea.com
Incidence of Osteoporosis in Primary Care Patients with Atrial ...
mdpi.com
Buy Premium Leather Passport Holders Online India I Leather Talks
leathertalks.com
Warfarin EP Impurity C | CAS No- 122-57-6 | Simson Pharma Limited
simsonpharma.com
Thalapathy Vijay net worth: Movie fee, properties & other luxury assets
lifestyleasia.com
Blood thinning Diet: Foods to eat and foods to avoid | Sprint Medical
sprintmedical.in
Buy Picolylamine Template Organocatalysts for Asymmetric Aldol ...
amazon.in
Ormeloxifene Intermediates
ganeshremedies.com
ALDOL-P Tablets Altar Pharmaceuticals Pvt. Ltd.
company.pharmahopers.com
Light Weight & Daily Wear Gold Necklace Set Designs (2025) | Buy Gold ...
manubhai.in
Die wichtigsten Abstracts vom ISTH 2017 - Hämatologie - Universimed ...
universimed.com
Buy Antique Set Online | Antique Set by Manubhai.
manubhai.in
21st December Daily Current Affairs 2022: Today GK Updates for Bank Exam
bankersadda.com
Diamond Necklace Designs | Buy Diamond Necklace Set Online at Best ...
manubhai.in
Thyrocare Founder Partners With YEA and Magnifiq Capital Trust to ...
businessoutreach.in
Diamond Necklace Designs | Buy Diamond Necklace Set Online at Best ...
manubhai.in
Contact – valientecaps
valientecaps.com
Premium Heritage Saree HT26
ssptex.com
Related Searches
Aldol Condensation Mechanism
Aldol Condensation Reaction
Intramolecular Aldol Condensation
Crossed Aldol Condensation
Aldol Condensation Examples
Aldol Condensation Product
Aldol vs Enol
Aldol Condensation Acid-Catalyzed
Aldol Condensation Steps
Aldol Addition Mechanism
Enolate Reactions
Retro-Aldol Reaction
Aldol Synthesis
Aldol Dehydration
Cannizzaro Reaction
Reverse Aldol Reaction
Cyclic Aldol Condensation
Benzaldehyde Acetone Aldol Condensation
Self Aldol Reaction
Aldol Structure
Mixed Aldol Condensation Mechanism
Aldol Condensation Reagent
Double Aldol Condensation Mechanism
Esterification
Aldol Condensation of Aldehyde and Ketone
Aldol Formula
Aldol Condensation in Acidic Medium
Aldol Condensation Ring Formation
Claisen Condensation Mechanism
Cyclopentanone Aldol Condensation
Aldol Example
Knoevenagel Condensation
Cyclohexanone
Acetaldehyde Aldol Condensation
Aldol Condensation Catalysts
Aldol Condensation Equation
Carbonyl Reactions
Aldol Condensation Reaction PPT
Beta Hydroxy Carbonyl
Synthesis of Dibenzalacetone Mechanism
Baeyer-Villiger Oxidation
Mitsunobu Reaction
Aldol Condensation Mechansim
Acetophenone
What Is an Aldol
Aldol Condensation with CN
Mukaiyama Aldol Reaction
Alpha Hydrogen in Aldol Condensation
Aldol Type Condensation
P Anisaldehyde Aldol Condensation
Search
×
Search
Loading...
No suggestions found