Find Your Style
Women
Men
Accessories
Search for clothing, brands, styles...
×
Women
Men
Accessories
Afd Electrical
Search
Loading...
No suggestions found
Optimal INR Target Range for Atrial Fibrillation
journal.rouleur.cc
ALisasin Electric Instant Hot Water Heater Shower Electric India | Ubuy
ubuy.co.in
Electrical Relay - Pilz Safety Relay Trader - Retailer from Bengaluru
schiltzberg.in
Cryogenic processing for EV Batteries
eaiepl.com
CWC Assistant Engineer Electrical Mock Test Series 2024
edurev.in
Electrical Enclosure - Electrical Panel Enclosure Manufacturer from ...
dcozi.co.in
BIM objects - Free download! Switzerland-Electrical enclosures Orion ...
bimobject.com
Electrical Testers & Tools
lowes.com
Electrical Relay - Pilz Safety Relay Trader - Retailer from Bengaluru
schiltzberg.in
J D Electrical And Trading
jdelectrical.in
JANDECCN Waterproof Electrical Outdoor Junction Box, IP66 Weatherproof ...
amazon.in
Porsche Macan Turbo Electric | Porsche Middle East
porsche.com
Gr 5 NS/Tech: Electrical Safety Poster (teacher made)
twinkl.co.in
Db Electrical Alternator For Ford Focus 2003-2004 1S7T-10300-Aa 1S7Z ...
zoro.com
Schneider 32A 2 Pole MCB
automationkart.in
J D Electrical And Trading
jdelectrical.in
Buy QO 100 Amp 24-Space 34-Circuit Indoor Main Breaker Plug-On Neutral ...
ubuy.co.in
50-Amp Electrical Disconnects at Lowes.com
lowes.com
J D Electrical And Trading
jdelectrical.in
Buy Electric Cycle Conversion Kit online under 15000 price
voltebyk.in
Tender For General-Vikas Bhavan Section_ Urgent Maintenance Works For ...
biddetail.com
LC1DT60AFD - TeSys D contactor - 4P(4 NO) - AC-1
se.com
Electrical (T&D) | NCC
ncclimited.com
Square D Electrical Disconnects at Lowes.com
lowes.com
Electrical (T&D) | NCC
ncclimited.com
Square D Electrical Disconnects at Lowes.com
lowes.com
Square D Electrical Disconnects at Lowes.com
lowes.com
BEE CDT6 Summary 2022-23 - Department of EEE, KITSW, AY: 2022- U18EE205 ...
studocu.com
Square D Electrical Disconnects at Lowes.com
lowes.com
4'' Square Electrical Box, Ten 1/2'' and Six TKO Knockouts, Welded ...
amazon.in
Despite AfD criticism, German wind energy sees record year
msn.com
Electrical Engineering Management UNIT 5 - Two mark 1 efficiency ...
studocu.com
Saginaw Control & Engineering 1/4 Turn Latch Electrical Enclosures, 9 ...
zoro.com
Wireless Electrical Muscle Stimulation Abs Trainer, Abdominal Toning ...
us.shein.com
Buy Epiphone Slash "AFD" Les Paul Special-II Electric Guitar Outfit ...
bajaao.com
Type 2 Co ordination selection charts - Basic Electrical & Electronics ...
studocu.com
In the electric field shown in figure, the electric field lines on the ...
allen.in
Buy 2 in. Bolt-On Hub for Square D Electrical Panels/Load Centers with ...
ubuy.co.in
Four charges `+q, +q, -q, and -q` are placed, respectively, at the ...
allen.in
Buy Epiphone Slash "AFD" Les Paul Special-II Electric Guitar Outfit ...
bajaao.com
Db Electrical Alternator For 4.6L Ford Mustang 1999-2004 Xr3U-10300-Aa ...
zoro.com
Electrical Engg Faculty New
moderncoe.edu.in
An uncharged sphere of metal is placed in a uniform electric field ...
tardigrade.in
Buy Epiphone Slash AFD Les Paul Performance Pack Online | Bajaao
bajaao.com
Electrical Abbreviations And Symbols Used Of Flr - Fill and Sign ...
uslegalforms.com
XPSAC5121 - module XPSAC - Emergency stop - 24 V AC DC | Schneider ...
se.com
XPSECM5131 Schneider Electric | Schneider Electric XPS ECM Series ...
in.rsdelivers.com
Electrical Engg Faculty New
moderncoe.edu.in
Square D Electrical Disconnects at Lowes.com
lowes.com
Universally Compatible Underground Fence Wire - 1000 Feet Of 20 Gauge ...
pl.shein.com
Nike Alphafly 3 Electric Men's Road Racing Shoes. Nike IN
nike.com
Buy Electrical Safety: Safety and Health for Electrical Trades: Student ...
amazon.in
Volvo EX30 Elektrisk SUV | Specifikationer | Volvo Cars
volvocars.com
Epiphone Slash"AFD" Les Paul Special-II Guitar Outfit : Amazon.in ...
amazon.in
P.D Electrical - Top Electrical Shops & Dealers in Amolapatty Dibrugarh
dibrugarhonline.in
Auf neuen Wegen: Der Opel Grandland Electric mit Allradantrieb | Opel ...
media.stellantis.com
Two concentric rings, one of radius `R` and total charge `+Q` and ...
allen.in
Electrical Engg Faculty New
moderncoe.edu.in
Avid Power Electric Screwdriver Set Rechargeable 4v Cordless ...
desertcart.in
Electrical (T&D) | NCC
ncclimited.com
D Power System | Electrical Solutions, Residential Electrical Services ...
dpowersystem.in
Give the electrical symbols for a)resistance b)electric bulb c)electric ...
brainly.in
BIM objects - Free download! AF BRICK for mechanical and electrical ...
bimobject.com
Amazon.in Bestsellers: The most popular items in Air Fryers
amazon.in
Department of Electrical & Instrumentation Engg. | Faculty
eie.sliet.ac.in
BIM objects - Free download! AF BRICK for mechanical and electrical ...
bimobject.com
Induction Motor - Three Phase Bare Motor Manufacturer from Coimbatore
dlfpumps.in
| nasscom | The Official Community of Indian IT Industry
community.nasscom.in
Db Electrical Alternator For Mercury Auto And Light Truck Sable 2000 3 ...
zoro.com
University College of Engineering - Osmania University
uceou.edu
Rooz Electrical — Teletype
teletype.in
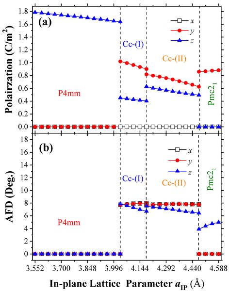
Strain-Induced Structural Phase Transitions in Epitaxial (001) BiCoO3 ...
mdpi.com
G.N. Pillai
iitr.ac.in
LV433834 Schneider Electric | Schneider Electric, ComPact MCCB Molded ...
in.rsdelivers.com
A proton moves a distance d in a uniform electric field E ®as shown in ...
allen.in
Guest Lecture on Intellectual Property Rights
presidencyuniversity.in
Kishor Bhaskarrao Nandapurkar
iitr.ac.in
Control Panel Hinges (Concealed Hinge) 2 Pcs (90 mm) CPH-006 : Amazon ...
amazon.in
Department of Electrical Engineering :: IIT Delhi
ee.iitd.ac.in
5- Construction Of Hall At Shamshan Bhumi Khatik S.. | RefID: 89562618
indiantenders.in
An uncharged sphere of metal is placed in a uniform electric field ...
tardigrade.in
Which of the following graphs shows the variation of electric field E ...
brainly.in
Buy Firexo Fire Extinguisher Sign - Brushed Steel Signs for Offices ...
desertcart.in
Fourier tranform - Brad Osgood Electrical Engineering Department ...
studocu.com
Force System: Scalars, Vectors, and Their Applications in Mechanics ...
studocu.com
Jual UNI-D ELECTRIC / MOTORIZED ACTUATOR WITH MANUAL TYPE UM 4 220 VAC ...
tokopedia.com
Schneider Electric Inaugurates New Cooling Factory in Bengaluru ...
se.com
Brain Storm | Meer
meer.com
National Institute of Technology
nitc.ac.in
Mini Electric Screwdriver.Electric Screwdriver 68 In 1 Precision ...
eur.shein.com
The method of electrical images is used to solve the electrostatic ...
allen.in
The Electric Arc Furnace
lmmgroupcn.com
Danger Electrical Hazard Authorized Personnel Only Sign 10 X 14 ...
desertcart.in
Vaishnaw Reviews Rs 5bn NJP Station Upgrade
constructionworld.in
Schneider Electric Inaugurates One of its Largest Employee Campuses in ...
se.com
Curriculum | Electrical Engineering | IIT Jodhpur
iitj.ac.in
name the transformation of energy involved in these cases: a. electric ...
brainly.in
SWITCHGEARS, FLAMEPROOF, WEATHERPROOF, EXPLOSIONPROOF, LIGHT FITTING ...
sudhirswitchgears.com
The given graph shows variation (with distance r from centre) of
tardigrade.in
Buy VEVOR Steel Electrical Box 24'' x 16'' x 12'' Electrical Enclosure ...
desertcart.in
Panel Schedule For ITE Model NLAB42Al 102 Mm Wide X 178 Mm High With 5 ...
uslegalforms.com
Rajlaxmi Hygiene Citrus Diffuser Air O Matic Electric Air Purifier ...
flipkart.com
Fourier tranform - Brad Osgood Electrical Engineering Department ...
studocu.com
Buy Ibanez Electric Guitars Online at Best Price | Bajaao
bajaao.com
Electric field intensity at a point B due to point charge Q kept at a ...
brainly.in
Electric Generator कैसे बनाएं
mechanic37.com
N&D ELECTRIC DUO: LIVE! @ FRANKIE FEDS (DEBUT!), Frankie Fed's ...
allevents.in
Department of Electrical & Instrumentation Engg. | Faculty
eie.sliet.ac.in
Electrical Box Knockout Plugs at Lowes.com
lowes.com
Test and review of the Electric Road Bike Van Rysel Electric Gravel ...
opticycles.com
The give graph shown variation (with distance r from centre) of : (A ...
brainly.in
Buy Indo Budget 1200mm Ceiling Fan (Brown) Online at Low Prices in ...
amazon.in
Curriculum | Electrical Engineering | IIT Jodhpur
iitj.ac.in
Electrical Engineering - JSPM's Rajarshi Shahu College of Engineering ...
jspmrscoe.edu.in
Set of 2 Terminals Assortment Connectors Assortment Kit 120 Pairs Wire ...
amazon.in
Draw the symbols of the following circuit components. i) Electric cell ...
brainly.in
Write all Electrical symbols for some commonly used components ...
brainly.in
Steel Electrical Box 16 X 12 X 8 Electrical Enclosure | Desertcart INDIA
desertcart.in
Related Searches
AFD Logo
AFD Leader
AFD Poster
AFD Party
AFD Germany
AFD Flag
AFD Politiker
AFD Protests
AFD Symbol
AFD Map
AFD Women
AFD Rally
AFD Panel
Germany AFD Posters
AFD Deutschland
Anna AFD
German AFD Party
AFD Arrow
AFD Weidel
Slash AFD
AFD Logo.png
AFD Seats
AFD Profilbild
AFD France Logo
Klaub AFD
AFD Das Pack
AFD House Poster
AFD Blue
AFD Plakate
AFD Wahlplakat
Ralph Lange AFD
AFD Campaign Poster
Alice AFD
Ausrichtung Der AFD
AFD Mädchen
AFD Duitsland
Dexit AFD
AFD Game
AFD Bundestag
AFD Alemania
AFD Karneval
AFD Girlfriend
AFD Street Sign
AFD Motto
AFD Mannheim
AFD Poster Facist
German AFD Supporters
AFD Ratte
AFD Ki Propagnda
Beautiful AFD Arrested
Search
×
Search
Loading...
No suggestions found