Find Your Style
Women
Men
Accessories
Search for clothing, brands, styles...
×
Women
Men
Accessories
Afd Owner Number
Search
Loading...
No suggestions found
How to Check Bank Account Owner Name By Account Number Online
vleclub.in
[Registration] CSD AFD Online Registration Canteen Items Shopping: afd ...
cdlu.in
[Registration] CSD AFD Online Registration Canteen Items Shopping: afd ...
cdlu.in
Showrooms for rent in Langerguda , Hyderabad | Lease Commercial ...
nobroker.in
[Registration] CSD AFD Online Registration Canteen Items Shopping: afd ...
cdlu.in
AP Vehicle Registration Number Owner Details | RTO AP Vehicle Details
itzeazy.in
afd.csdindia.gov.in login Online Portal buy AFD items on CSD Military ...
upjob.in
RCB Team 2025 Players List, Price: Check Complete Royal Challengers ...
msn.com
How to Find Vehicle Owner Details by Registration Number Online
godigit.com
Find Vehicle Owner Details and Address -Know Vehicle Details
know.vehicledetail.info
How to determine number of owners in smart card RC - Team-BHP
team-bhp.com
How to Find Vehicle Owner Details by Registration Number Online
godigit.com
Policy Ownership Transfer Service for Motor Insurance Policy | New ...
oneinsure.com
How to Find Vehicle Owner Details by Registration Number Online
godigit.com
RECPDCL Handovers Rajasthan IV 4B Power Transmission Limited, a ...
recindia.nic.in
How to Find Vehicle Owner Details by Registration Number Online
godigit.com
How to Find Vehicle Owner Details by Registration Number Online
godigit.com
Best Mutual Fund SIP: Start SIP at the age of 25... You will be the ...
india-employmentnews.com
HSRP Deadline Extended to November 30: Pune Vehicle Owners Still Report ...
freepressjournal.in
How to determine number of owners in smart card RC - Team-BHP
team-bhp.com
Action for Development
ccc-cambodia.org
How to Find Vehicle Owner Details by Registration Number Online
godigit.com
How to Read a Check | Huntington Bank
huntington.com
Fillable Online dnr state oh Owner name , address and telephone numbers ...
pdffiller.com
JSW Group Strengthens Partnership With SAIC, Acquires 35% Stake In MG ...
freepressjournal.in
1) assuming the xyz are positive real numbers and the exponents are all ...
brainly.in
Small Business and Entrepreneurship in the Post-COVID Expansion | U.S ...
home.treasury.gov
The average of ten numbers is 10. When eleventh number is added, then ...
brainly.in
Vehicle Owner Details by Number Plate: Check Car & Bike details
itzeazy.in
the difference between two whole numbers is 110 and the numbers are in ...
brainly.in
two numbers are in the ratio 10:20 . if the sum of the numbers is 220 ...
brainly.in
Owner number line what is the length of the line segment joining 1 by 2 ...
brainly.in
Naresh i Technologies
theceo.in
Solved: Consider this histogram showing the number of students in grade ...
gauthmath.com
Rent Receipt Format Free Download
vyaparapp.in
Sunny Acura in Kasavanahalli, bangalore | Flats for Sale & Rent | NoBroker
nobroker.in
Buy Freedom Wheel with Bolt on cage , Number 1 Recommended Wheel for ...
desertcart.in
KARNATAKA VILLAGE MAP WITH SURVEY NUMBERS BHOOMI - PattaChitta
pattachitta.co.in
Stake Anti-Money Laundering Policy in India
stake-casino-india-online.com
About Us – Tulip Holidays
tulipholidays.in
How to Look Up Boats Using the Hull Number | Gone Outdoors | Your ...
goneoutdoors.com
Driving License Fees in India 2024 – RTO Charges, Renewal & IDP
rtovehicleinfohub.in
Link Mobile Number with Vahan Database – Step-by-Step Guide
rtovehicleinfohub.in
Flats for Rent in Ayyappa Society Main Road, Hyderabad | Gated ...
nobroker.in
RTO Vehicle Details
know.vehicledetail.info
Number Recognition Songs | Maths Poems that Rhyme
twinkl.co.in
Streit um Verdachtsfall-Einstufung: AfD-Führung wartet weiter auf ...
buzzard.org
How to Remember Phone Numbers (Brain Owner's Manual Book 2) eBook ...
amazon.in
2019 Updated Complete List Of Philippine Mobile Network, 45% OFF
iiitl.ac.in
Who is the owner of RCB team? Is Vijay Mallya still their owner?
insidesport.in
Fillable Online PROPERTY MANAGEMENT INFORMATION FORM (To be used with ...
pdffiller.com
The product of the non common factors of the numbers 105 and 63. what ...
brainly.in
18 Printable confirmation of ownership letter Forms and Templates ...
pdffiller.com
BAO MINH STREETFOOD, Schwerin - Restaurant Reviews, Phone Number ...
tripadvisor.in
How a startup is transforming the lives of grocers in India’s villages ...
news.microsoft.com
തിരുവനന്തപുരത്തെ ഹോട്ടല് ഉടമയുടെ കൊലപാതകത്തിൽ രണ്ട് ജീവനക്കാര് ...
malayalam.news18.com
CAFETERIA SHARMN, Akre - Restaurant Reviews, Phone Number & Photos ...
tripadvisor.in
MAISON VACHER, Chamalieres - Restaurant Reviews, Phone Number & Photos ...
tripadvisor.in
Noc letter format for transfer of telephone - Brainly.in
brainly.in
Meet The Owner Of RCB In IPL 2024: Unveiling Net Worth And More
indiatimes.com
Buy & Sell Second Hand Bikes in Delhi, Used Bikes in Delhi | OLX
olx.in
Free GST Invoice Generator India | Professional PDF Billing | The Daily ...
thedailybyte.in
real online lottery winners - Claim Your ₹100 VIP now!
annavaramdevasthanam.nic.in
Grade R Coding - Pattern Recognition Worksheet: Numbers
twinkl.co.in
Family Questionnaire Summary Sheet - Fill Online, Printable, Fillable ...
pdffiller.com
Comfort Keepers Office Photos
glassdoor.co.in
[Registration] Sparsh Pension Portal Registration Online | Login ...
cdlu.in
Grade R Subtraction Worksheets - Twinkl - South Africa
twinkl.co.in
[Registration] Sparsh Pension Portal Registration Online | Login ...
cdlu.in
Zurich Kotak: Your Cashless Car Partner | Zurich Kotak General Insurance
zurichkotak.com
ZAIN AKRE - Restaurant Reviews, Phone Number & Photos - Tripadvisor
tripadvisor.in
5-Minute Finance: A Business Owners' Guide to Understanding Your ...
amazon.in
How to check Serial Number or IMEI Number on your iPhone | Mobile News
tech.hindustantimes.com
ரூ.65 சம்பளம் பெற்ற நபர்.. இன்று ரூ.23,416 கோடி நிறுவனத்தின் ஓனர் ...
tamil.goodreturns.in
Two numbers are in the ratio 4:3. Their sum is 70.Find the numbers ...
brainly.in
BEYOND NUMBERS: EMPOWERING BUSINESS OWNERS THROUGH TAX PLANNING (Tax ...
amazon.in
BANDAVANI TAVERN, Kozani - Restaurant Reviews, Phone Number & Photos ...
tripadvisor.in
ZAIN AKRE - Restaurant Reviews, Phone Number & Photos - Tripadvisor
tripadvisor.in
Progressive Insurance Card - Fill Online, Printable, Fillable, Blank ...
pdffiller.com
RMK Management | Welcome to RMK College of Engineering and Technology
rmkcet.ac.in
Mukesh Ambani to Shah Rukh Khan — Meet the owners of some of India's ...
gqindia.com
Best Mutual Fund SIP: Start SIP at the age of 25... You will be the ...
india-employmentnews.com
Success Story: గోల్డ్ అప్రైజర్ స్థాయి నుంచి బిలియనీర్ దాకా.. ఊహించని ...
telugu.goodreturns.in
Looking Back At The Journey Of Amul
indiatimes.com
Meet Kavya Maran, the owner of SRH: Net worth, career, education ...
indiatimes.com
Hospitals in Valsad, Eye Clinics in Valsad, Child Care in Valsad
valsadonline.in
Electronic Visa Update System (EVUS) Frequently Asked Questions | U.S ...
cbp.gov
Blockchain’s Grand Promise for the Real Estate Sector: A Systematic Review
mdpi.com
Mahindra Thar LX Convertible Top Diesel MT 4WD, 2024, Diesel - Cars in ...
olx.in
गाड़ी के नंबर से ही पता लगा सकते हैं कौन है मोटर मालिक? क्या है पूरा ...
herzindagi.com
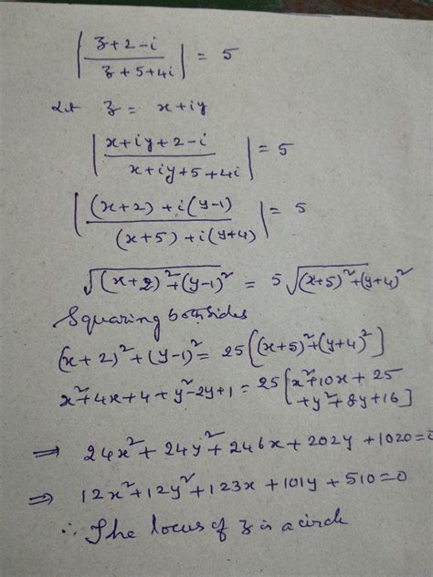
Describe the set of complex numbers z such that |(z + 2 – i)/z + 5 + 4i ...
brainly.in
Document 1 - Importance and uses of Index Numbers. - Importance and ...
studocu.com
Journey to the title of Mrs. India 2024 – An exclusive interview with ...
beautyhigh.in
Yashoda Hospital Reviews | Glassdoor
glassdoor.co.in
Kaviya Maran — all about the Sunrisers Hyderabad franchise owner and ...
gqindia.com
Ratan Tata Family Tree: Know Everything About Its Members From ...
freepressjournal.in
Steel Manufacturers In India | JSW Steel for MSMEs
jswsteelformsme.in
Pirangut, Pune: Map, Property Rates, Projects, Photos, Reviews, Info
magicbricks.com
Stake Anti-Money Laundering Policy in India
stake-casino-india-online.com
DRAW A FLOWCHART TO PRINT ALL PERFECT NUMBERS BETWEEN 1 AND 100 ...
brainly.in
Who owns the most bitcoin?
economictimes.indiatimes.com
Primary Non Contributory Endorsement - Fill Online, Printable, Fillable ...
primary-non-contributory-wording.pdffiller.com
The h.c.f of two numbers is 5 and their l.c.m is 210. if one of the two ...
brainly.in
Best Hospitals in Sector 20, Panchkula - Bajaj Finserv Health
bajajfinservhealth.in
In auto, cab and taxi, name of vehicle owner, number, police number and ...
divyabhaskar.co.in
Gold-embellished Rs 10 crore Bentley Mulsanne EWB, anyone? | GQ India
gqindia.com
Dr. R.K. Singh | Pediatrician | Online Consultation | Peace Point Hospitals
docspoint.in
RK Dental Clinic | Laser & Cosmetic Centre, Korattur, Chennai
rkdentalclinic.in
CURRY HOUSE COCO ICHIBANYA MINAMI-ALPS GARDEN, Minami Alps - Restaurant ...
tripadvisor.in
CURRY HOUSE COCO ICHIBANYA MINAMI-ALPS GARDEN, Minami Alps - Restaurant ...
tripadvisor.in
Choosing a Business Structure: Key Factors to Consider
legalwiz.in
Free classifieds in Nabha, Classified ads in Nabha, Online Classified ...
olx.in
Picture Number Cards With Words and Numerals 0 to 20
twinkl.co.in
Jabalpur Hospital And Research Centre Napier Town, Jabalpur - Contact ...
bajajfinservhealth.in
vijay mallya owner of rcb Android IOS V- 7.21
meeting.lsgkerala.gov.in
Crooks create fake websites to scam vehicle owners seeking high ...
msn.com
The flagship company of the Ramco Group | The Ramco Cements Limited ...
ramcocements.in
Dr. R.K. Mishra
drrkmishra.in
Are stringent lockdown measures more effective in curbing Covid-19 spread?
scroll.in
SILVER 999
adinathtrading.co.in
Related Searches
AFD Event
AFD France
Stipid AFD
No AFD
AFD Publicity
AFD Abschiebeticket
AFD Germyany
AFD Advertisement
AFD Positions
AFD Conterversial Ad
AFD Party Family
AFD Members
AFD Feed
AFD Map
AFD Belifs
Talahon AFD
AFD Logo.png
AFD Parteiverbot Tweet
AFD Flight Ticket
AFD Re Migration Poster
AFD Germyany Nazi References
AFD Germany
CDU Werteunion AFD
AFD Beine
AFD Election Pledges
AFD Court Survelliance
Enxci Sagarias AFD
AFD On a Strucutre
AFD Umzug
AFD Support in East Germany
Is AFD in Power in Germany
AFD Party Popularity Map
AFD Salute Advertisment
AFD Flag for Sale
Partiotic AFD Advert
AFD Politiker
AFD Logo and Wordings
AFD Karnivel Umzug Jung W3haler
Asam Marco AFD
AFD CDU Reguon Bundes
German AFD Party Advert
AFD Advertisements Eurabia
Search
×
Search
Loading...
No suggestions found