Find Your Style
Women
Men
Accessories
Search for clothing, brands, styles...
×
Women
Men
Accessories
Aleph Zero Math
Search
Loading...
No suggestions found
8.0
sdvx.in
8.0
sdvx.in
8.0
sdvx.in
8.0
sdvx.in
Zero's Birth & Impact: Journey from Ancient India to Europe
vipschool.in
CE Certification | Required Documents | Aleph INDIA
alephindia.in
301 Moved Permanently
knowledgeum.in
New 'Gyan Bharatam Mission' for Manuscripts
studyiq.com
Integers: Numbers, Definition, Examples, Rules, Formula
adda247.com
Buy Mathematics Assessment and Intervention in a Plc at Work: Develop ...
amazon.in
Hebrew Alphabet Poster (Print & Cursive) UV Protected Study Sheet ...
desertcart.in
Introduction to Zero Video Lecture - Class 1
edurev.in
Buy Discrete Mathematics and Its Applications (Higher Math) Book Online ...
amazon.in
Rules of Zero: Math Series - Division, Book 1 (Audio Download): Karen ...
amazon.in
Chapter Zero, 2e – BookStation
bookstation.in
Azerock - Elegant NFT flex
azerock.com
Write life journey of Aryabhatta and his contribution in mathematics in ...
brainly.in
Koshur: the Kashmiri language in its past and present
jkartsfoundation.in
The Number Zero And Mathematical Inventions In India - MobyGeek.com
mobygeek.com
Difference between Maths and Vedic Maths | Aristo Kids
aristokids.in
Polynomials Overview and Key Concepts - Math 101 Notes - Studocu
studocu.com
Division by Zero: Universal Field Theory and the Axiomatic Framework ...
amazon.in
Alef Aeronautics Model Zero flying car test - Flying car completes ...
indiatoday.in
What is Zero? - Addition with Zero | Twinkl - Twinkl
twinkl.co.in
solve thisif a plus b plus c equals to zero - Brainly.in
brainly.in
PROVE THAT a^0=1 OR PROVE a power 0 =1 - Brainly.in
brainly.in
El Aleph / The Aleph : Borges, Jorge Luis: Amazon.in: Books
amazon.in
When and How did Zero Originate in India?
currentaffairs.adda247.com
Jerry Pinto | Aleph Book Company
alephbookcompany.com
When and How did Zero Originate in India?
currentaffairs.adda247.com
All about the Number 0 Worksheet (teacher made) - Twinkl
twinkl.co.in
Number Zero Mat Worksheet
twinkl.co.in
All About Number 0 Number Formation Worksheet
twinkl.co.in
This school on the edge of Brazil's rainforest win's the RIBA Prize ...
architecturaldigest.in
100th Day of School Math Activity Race to 100 and Race to Zero Dice Game
teacherspayteachers.com
All About Number 0 Number Formation Worksheet (teacher made)
twinkl.co.in
Let S be the set of all non - zero real numbers ß such that the ...
brainly.in
EYFS Maths: Number Zero-Themed Home Learning Challenges
twinkl.co.in
The History Of Zero And Its Connection With Ancient Indian Text ...
mobygeek.com
Buy The Aleph and Other Stories (Penguin Classics) Book Online at Low ...
amazon.in
Buy Mathematics & Plausible Reasoning V 1 Induction & Anology in ...
amazon.in
8.0
sdvx.in
CBSE Class 10 Math Basic Sample Paper 2023 with solutions and marking ...
indiatoday.in
Revised S. Chand's Smart Maths 5 : Sheela Khandelwal: Amazon.in: Books
amazon.in
6x2-13x+5=0 solve it - Brainly.in
brainly.in
what is 1+1+1+1+1+1+1+1+1+÷1+1+1+1+1+1+1+1+1+×1+1+1+1+1+1+1+1×1+1+1+1+1 ...
brainly.in
Don't Fall: aleph
store.playstation.com
[(3-7x)/(15+2x)]=0 - Brainly.in
brainly.in
Fundamentals and Branches of Mathematics [1 min read]
fairgaze.com
Sm=Sn then prove that Sm+n=0 - Brainly.in
brainly.in
Aryabhatta's Manuscript On Display | WhatsHot Kolkata
whatshot.in
How India’s invention of zero helped create modern mathematics
scroll.in
How India’s invention of zero helped create modern mathematics
scroll.in
Buy Carson Dellosa Be Clever Wherever 30-Piece K-1 Math Tool Kit ...
desertcart.in
Buy 12 Pieces Educational Math Symbols Bulletin Board Strips Set Math ...
desertcart.in
Fractional Fokker-Planck Equation
mdpi.com
Ratio and Proportion : Shortcuts and Tricks Video Lecture - Mathematics ...
edurev.in
Buy Schloss Aleph Wunschtorte Book Online at Low Prices in India ...
amazon.in
Maths QUIZ - PRACTICE QUIZ - MATHS QUIZ Q1. What is the highest common ...
studocu.com
Buy Edexcel A-Level Mathematics Student Textbook - Pure Mathematics ...
desertcart.in
Find the remainder when x3 - x2 +2x - 5 is divided by (x - 2) - Brainly.in
brainly.in
How Mathematics Is Useful For Mankind-Fairgaze [1 min read]
fairgaze.com
The Aleph Extraction: Galactic Cold War, Book 2 (Audio Download): Dan ...
amazon.in
. 2x – 3y – 3 = 02x/3+ 4y + 1/2 = 0 - Brainly.in
brainly.in
Buy Pearson Edexcel International A Level Mathematics Pure 2 ...
desertcart.in
Solve by completing the square: x2 – 8x + 5 = 0. Please help!! - Brainly.in
brainly.in
If the system of equation 2x+3y=7 and (a+b)X+(2a-b)y=21 has infinite ...
brainly.in
Root 3x square - 2 root 2x - 2 root 3 = 0 - Brainly.in
brainly.in
RS AGGARWAL MATHEMATICS FOR CLASS 8th NEP/NCF COMPLIANT -RS AGGARWAL ...
flipkart.com
Find the value of x and y from the equation 2x+3y=8 and x-2y+3=0 ...
brainly.in
Book Excerptise: Indian Mathematics and Astronomy: Some Landmarks by S ...
cse.iitk.ac.in
Student's Companion in Mathematics: Things to know to find mathematics ...
amazon.in
Palace Learning Multiplication Table Poster For Kids Educational Times ...
desertcart.in
Brahmagupta - A Father Of Ancient Indian Mathematics - MobyGeek.com
mobygeek.com
Kindergarten Math Worksheets - Measurements 32 | Olympiad tester
olympiadtester.in
CBSE Class 10 Math Basic Sample Paper 2023 with solutions and marking ...
indiatoday.in
DETERMINANT OF A SQUARE MATRIX
home.iitk.ac.in
Aryabhatta Biography
adda247.com
Log33/18+log4/7-log22/21=0 - Brainly.in
brainly.in
Advanced Engineering Mathematics 10 Edition - Buy Advanced Engineering ...
flipkart.com
2 cos square 30 degree minus 1 is equal to - Brainly.in
brainly.in
Zero is 500 years older than we thought, says ancient Bakhshali ...
indiatoday.in
A TEXTBOOK OF DISCRETE MATHEMATICS (English) 1st Edition - Buy A ...
flipkart.com
What is the solution to the system of equations? 2x – y = 7 y = 2x + 3 ...
brainly.in
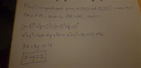
A relation between x and y such that the point (x, y) is equidistant ...
brainly.in
[PDF] Maths Handwritten Short Notes For JEE mains And Advanced , Class ...
jeeneetforall.in
Srinivasa Ramanujan And His Inventions-FairGaze [1 min read]
fairgaze.com
On World Tiger Day, six lovers of the big cat describe their most ...
scroll.in
Georg Cantor Quote: “The fear of infinity is a form of myopia that ...
quotefancy.com
Related Searches
Math Example of Aleph Null Numbers
Aleph Zero Symbol
Aleph Zero Wallpaper
Wooden Math Game
Aleph 0 Math
Montessori Math Games
Infinity Aleph Math
Maths Wooden Sticks
Alef Zero
Aleph Zero Branding
Aleph Zero Token
Aleph Zero Logo
Future of Aleph Zero
Aleph Zero Logo.png
Aleph Zero Azero Coin
Aleph Null Number
Aleph 0 Art
Aleph Null Card
Aleph Word Math Series
Aleph 0 Song
Aleph Null Blocks
Bundle Sticks Math Montessori
Soorya Math Stick Box
Aleph Zero Cry Pto Coin
A Zero Digit Image for Game
Aleph Null Memes
Match Sticks for Maths
Aleph Yantra
Spiral Aleph Bet
Search
×
Search
Loading...
No suggestions found