Find Your Style
Women
Men
Accessories
Search for clothing, brands, styles...
×
Women
Men
Accessories
Amides Compound Examples In Everyday Life
Search
Loading...
No suggestions found
Amides- Classification, Preparation, Applications and FAQs.
allen.in
Preparation of Amines: Reduction of - Nitro, Nitriles, Isocyanides ...
aakash.ac.in
IUPAC Name : How to find the IUPAC name of compounds.|Chemistry Page
chemistrypage.in
Classification of Local Anesthetics: Amides vs. Esters and Clinical Se ...
medistudygo.com
Preparation of Amines: Reduction of - Nitro, Nitriles, Isocyanides ...
aakash.ac.in
Chemical Compounds: Key Types, Properties, and Examples
sssi.in
Hydrogen Bonding Interaction between Atmospheric Gaseous Amides and ...
mdpi.com
Hydrogen Bonding Interaction between Atmospheric Gaseous Amides and ...
mdpi.com
List of chemical compounds and their common names and formulas - Brainly.in
brainly.in
Chemistry in Everyday Life – Introduction, Importance and FAQs
sssi.in
List common chemical compounds with formula and its use in our day to ...
brainly.in
Aromatic Hydrocarbons | Structure & Properties
allen.in
List of important Organic Compounds
jagranjosh.com
Introduction to chemical reactions — lesson. Science State Board, Class 10.
yaclass.in
Reation in Everyday Life-Chemical Reations - REACTIONS IN EVERYDAY LIFE ...
studocu.com
Difference Between Organic and Inorganic Compounds & Classification ...
aakash.ac.in
Classification of Heterocyclic compounds - Aliphatic, Aromatic and ...
aakash.ac.in
Non-Aromatic Compounds - Non-Aromatic Compounds, Their Examples ...
aakash.ac.in
Prepare A chart giving detailed information of carbon compounds in ...
brainly.in
Difference Between Organic and Inorganic Compounds & Classification ...
aakash.ac.in
Green Chemistry in Daily Life - Lingaya's Vidyapeeth - SOBAS
lingayasvidyapeeth.edu.in
Name and write the formula of atleast 20 compounds of everyday use ...
ask.learncbse.in
Uses of all acids, bases and salts - Brainly.in
brainly.in
Carbon and Its Compounds: Types, Properties, and Uses Explained
sssi.in
Chemistry in Everyday Life – Introduction, Importance and FAQs
sssi.in
Prepare a chart giving detailed information of carbon compound in ...
brainly.in
Compounds of carbon - Introduction, Important Compounds, Properties ...
aakash.ac.in
Prepare a chart information about carbon compounds in everyday use ...
brainly.in
Magnets Everyday Use Poster - Primary Science Resources
twinkl.co.in
Volatile Organic Compounds - Eurofins Scientific
eurofins.in
Prepare a chart giving detailed information of carbon compounds in ...
brainly.in
Introduction to chemistry in our daily life — lesson. Science State ...
yaclass.in
👉 Maths in Everyday Life Poster | Maths Resource - Twinkl
twinkl.co.in
10 Examples of Physics in Everyday Life
sssi.in
FREE Everyday Problems Strategy Cards (teacher made)
twinkl.co.in
Introduction to Carbon and its compounds — lesson. Science State Board ...
yaclass.in
Image Formed by Convex Lens - Ray Diagram, Focal Length, Examples ...
collegesearch.in
Question Tags in English: Rules, Examples and Answers
planetspark.in
Public Health in Daily Life: Real-World Examples & How They Shape Our ...
hsocialcreator.in
Nanomaterials in Daily Life: Compounds, Synthesis, Processing and ...
amazon.in
Introduction to Carbon and its compounds — lesson. Science State Board ...
yaclass.in
Understanding Psychology in Everyday Life with Real Examples
sssi.in
What is the importance of compounds in our daily life? Explain with one ...
brainly.in
Electrosynthesis of Aromatic Poly(amide-amine) Films from ...
mdpi.com
Prepare a chart giving detailed information of carbon compound in ...
brainly.in
KS1 Everyday Algorithms Posters KS1 Twinkl (teacher made)
twinkl.co.in
PPT Chemistry in Everyday Life - JEE PDF Download
edurev.in
Chemistry In Everyday Life - Oswal Publishers
oswalpublishers.com
FREE 2D Shapes Posters with Real-World Examples | Twinkl
twinkl.co.in
3D Shapes with Real-World Examples Flashcards
twinkl.co.in
Communication in Everyday Life: Importance, Skills & Tips
planetspark.in
Chemistry in Everyday life 3 Common Examples in your Body - Manav Rachna
manavrachna.edu.in
Compound Interest Calculator Online - Power of Compounding | Axis Max ...
axismaxlife.com
Blog | Artfactory
artfactory.in
Differentiate between element,compound and mixture? - EduRev Class 10 ...
edurev.in
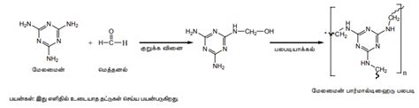
பலபடிகள் - அன்றாட வாழ்வில் வேதியியல் | Polymers - Chemistry in Everyday ...
brainkart.in
3D Objects Posters With Everyday Examples (teacher made)
twinkl.co.in
Buy The Power of Algorithms: Inspiration and Examples in Everyday Life ...
amazon.in
Prepare a chart giving detailed information of carbon compounds in ...
brainly.in
Ellipse - Definition, Equation, Shape & Formula - Maths - Aakash | AESL
aakash.ac.in
அன்றாட வாழ்வில் அறிவியல் - முதல் பருவம் அலகு 4 | 3 ஆம் வகுப்பு அறிவியல் ...
brainkart.in
3D Objects Posters With Everyday Examples (teacher made)
twinkl.co.in
அழுக்குநீக்கும் காரணிகள் - அன்றாட வாழ்வில் வேதியியல் | Cleansing agents ...
brainkart.in
Chemistry in Everyday Life PPT Chemistry Class 12
edurev.in
Electrosynthesis of Aromatic Poly(amide-amine) Films from ...
mdpi.com
Filtration: Definition, Process, Types & Examples | AESL
aakash.ac.in
Carbonyl Groups: Nomenclature and Preparation - Chemistry for JEE Main ...
edurev.in
Communication in Everyday Life: Importance, Skills & Tips
planetspark.in
Synthetic Polymers: Definition, Polyethylene/Polypropylene, Types ...
collegesearch.in
மருந்துப் பொருட்கள் - வகைப்பாடு, இலக்கு அமைப்பின் அடிப்படையில் ...
brainkart.in
Applications of Artificial Intelligence in Everyday Life
proxpc.com
Real Life Examples of 2D Shapes Posters (teacher made)
twinkl.co.in
Mind Map: Chemistry in Everyday Life (Old NCERT) - Chemistry Class 11 ...
edurev.in
What is Decantation: Definitions, Examples, Procedure, Applications ...
collegesearch.in
பலபடிகள் - அன்றாட வாழ்வில் வேதியியல் | Polymers - Chemistry in Everyday ...
brainkart.in
மருந்துப் பொருட்கள் - வகைப்பாடு, இலக்கு அமைப்பின் அடிப்படையில் ...
brainkart.in
Non-Aromatic Compounds - Non-Aromatic Compounds, Their Examples ...
aakash.ac.in
Chemistry in Everyday Life pdf notes - ####### After studying this Unit ...
studocu.com
MCQ and Extra Questions: Methods of Separation in Everyday Life ...
edurev.in
2D Shape Posters with Everyday Examples | KS1 Maths - Twinkl
twinkl.co.in
பலபடிகள் - அன்றாட வாழ்வில் வேதியியல் | Polymers - Chemistry in Everyday ...
brainkart.in
Polymers In Everyday Life: What Is The Use Of Polymer In Water ...
topprice.in
The Value of Compounding | Articles | Morningstar India
morningstar.in
பலபடிகள் - அன்றாட வாழ்வில் வேதியியல் | Polymers - Chemistry in Everyday ...
brainkart.in
Real-World Photos of Math Arrays
twinkl.co.in
Different Types Of Triangles - Twinkl South Africa - Twinkl
twinkl.co.in
Polymers In Everyday Life: What Is The Use Of Polymer In Water ...
topprice.in
Inorganic Compounds Exploring Their Definition, Formulas, And Examples
pw.live
uses of convex mirror in physics: Definition, Types and Importance | AESL
aakash.ac.in
Understanding Psychology in Everyday Life with Real Examples
sssi.in
"Sustainable Living: Eco-Friendly Practices for Everyday Life"
reyo.in
Aspartame, an artificial sweetener, is a peptide and has the following ...
tardigrade.in
பலபடிகள் - அன்றாட வாழ்வில் வேதியியல் | Polymers - Chemistry in Everyday ...
brainkart.in
√ 8 most common examples of reflection of light in daily life - Science ...
sciencelaws.in
பலபடிகள் - அன்றாட வாழ்வில் வேதியியல் | Polymers - Chemistry in Everyday ...
brainkart.in
What Are Some Everyday Uses of Magnets? - Twinkl Homework Help
twinkl.co.in
20.Explain the pH scale and explain its importance in everyday life ...
brainly.in
identify chemical composition of commonly used household items and ...
brainly.in
Filtration: Definition, Process, Types & Examples | AESL
aakash.ac.in
CHEMISTRY IN EVERYDAY LIFE - nEEMUCH, City portal , Neemuch News ...
mycityportal.in
Compound Interest Formula With Examples - India Dictionary
1investing.in
மருந்துப் பொருட்கள் - வகைப்பாடு, இலக்கு அமைப்பின் அடிப்படையில் ...
brainkart.in
Materials We Use in Daily Life Display Poster
twinkl.co.in
3D Shapes with Real-World Examples Posters - Geometry
twinkl.co.in
பலபடிகள் - அன்றாட வாழ்வில் வேதியியல் | Polymers - Chemistry in Everyday ...
brainkart.in
Stereochemistry PDF Download
edurev.in
How can you apply the decantation method in your everyday living ...
brainly.in
All about Elon Musk's USD 35 million family compound | Lifestyle Asia India
lifestyleasia.com
சுருக்கமாக விடையளி - அன்றாட வாழ்வில் வேதியியல் | Short Answer Questions ...
brainkart.in
பலபடிகள் - அன்றாட வாழ்வில் வேதியியல் | Polymers - Chemistry in Everyday ...
brainkart.in
Buy The Psychopathology of Everyday Life Book Online at Low Prices in ...
amazon.in
சுருக்கமாக விடையளி - அன்றாட வாழ்வில் வேதியியல் | Short Answer Questions ...
brainkart.in
2D Shape Posters with Everyday Examples (Welsh) - Twinkl
twinkl.co.in
Methods Of Separation In Everyday Life Important Question Answer ...
edurev.in
Social Psychology in Everyday Life | Rajiv Gandhi National Institute of ...
rgniyd.gov.in
பலபடிகள் - அன்றாட வாழ்வில் வேதியியல் | Polymers - Chemistry in Everyday ...
brainkart.in
Artificial Intelligence in Everyday Life: What You Need to Know
hp.com
அன்றாட வாழ்வில் அறிவியல் - முதல் பருவம் அலகு 4 | 3 ஆம் வகுப்பு அறிவியல் ...
brainkart.in
பலபடிகள் - அன்றாட வாழ்வில் வேதியியல் | Polymers - Chemistry in Everyday ...
brainkart.in
Communication in Everyday Life: Importance, Skills & Tips
planetspark.in
Related Searches
Examples of Amides
Amide Compound
Common Amide Compounds
Amide Group Examples
Amides in Real Life
Amide Compunds
Organic Compound Families
Examples of Amides in Organic Chemistry
Amides in Medicine Examples
Amide Compound Structure
Carboxylic Acid Amide Real Life
Amide Structural Examples
Examples of Amide Drugs
AM Idee Compound Image
Dehydration of Amides
Examples of Products or Drugs with Amides in Them
Any Examples of an Amide
Amides Drawing
Amide Example Compound
Example of Uses of Amides
Examples of Day to Day Products That Contain Amides
Chemical Properties of Amides
Amide Examplea
Naming Amides
Amide Example Written Form
Physical Properties of Amides
Amides Examples Chapter 5 Amines and Amis Des
What Is a Monosubstituted Amide Example
Secondary Amide
Aromatic Amide
Bioactive Primary Amides
Amide Structural Compiund
Example Amide Containing Compound Soluble in Water
Six Examples of Aliphatic Amide
Draw of Amide Ompound Organic Chemistry
Secondary Amide Exmple
Examples About Amides
Amide Organic Compound
Color of Primary Amide Example
Coomom Amide Compounds
Amide Ebselen Compound
Amide vs Imide
Amides Uses
Examples and Structural About Amides
Example of Medicines with Amides
Basic Hydrolysis of Amides
Easy Compound Model
Compound Interest Examples
Compounds with Amide Functional Group
Amide Structure Example
Search
×
Search
Loading...
No suggestions found