Find Your Style
Women
Men
Accessories
Search for clothing, brands, styles...
×
Women
Men
Accessories
Amyloid Testing
Search
Loading...
No suggestions found
Micropoint PT INR Meter, Finger Prick Blood Test, Rapid 2 Min Results ...
amazon.in
(Call: 9820417230) | PT INR in Dombivli - Eureka Pathology Laboratory
eurekapathlab.com
qlabs PT INR Test Strip -Pack of 12 : Amazon.in: Health & Personal Care
amazon.in
qlabs PT INR Test Strip -Pack of 12 : Amazon.in: Health & Personal Care
amazon.in
H Pylori Ab Test Our Products at price INR 0 in Mumbai | TRIVENI ...
trivenidiagnostic.in
Oscar Dengue Antibody Test Products at price INR 1700 in Jaipur | Raj ...
rajbiosis.in
Philips Remote Inr Order Form - Fill Online, Printable, Fillable, Blank ...
pdffiller.com
Buy PT INR Log Book Printable, Inr Tracker, INR Anticoagulant ...
etsy.com
WIDAL 4 X 5 ML Our Products at price INR 0 in Mumbai | TRIVENI TRADERS ...
trivenidiagnostic.in
Tulip Diagnostics Our Products at price INR 0 in Mumbai | TRIVENI ...
trivenidiagnostic.in
TST Price to Indian Rupee | Convert TST to INR
binance.com
Chikungunya IgG/IgM Rapid Test Our Products at price INR 0 in Mumbai ...
trivenidiagnostic.in
1 INR Test Pay Now
technocnc.in
Hereditary Transthyretin Amyloidosis: How to Differentiate Carriers and ...
mdpi.com
Treatment of Transthyretin Amyloid Cardiomyopathy: The Current Options ...
mdpi.com
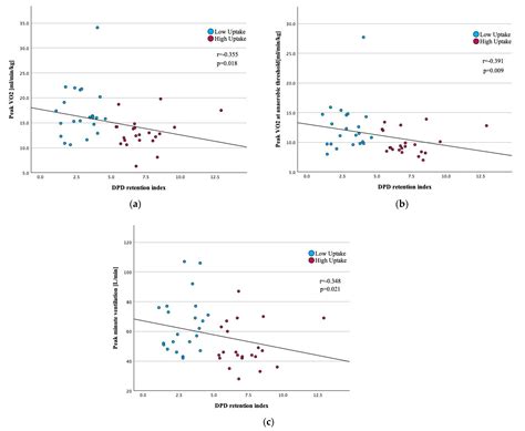
Cardiopulmonary Exercise Testing Correlates with Quantitative Left ...
mdpi.com
Misfolding and Amyloid Aggregation of Apomyoglobin
mdpi.com
Cardiopulmonary Exercise Testing Correlates with Quantitative Left ...
mdpi.com
Complete-Blood-Count-CBC 05 - lecturio/nursing Watch Video NOTES A ...
studocu.com
Cardiopulmonary Exercise Testing Correlates with Quantitative Left ...
mdpi.com
Negative Fat Pad Biopsy in Systemic AL: A Case Report Analyzing the ...
mdpi.com
Amyloid-β | MDPI Books
mdpi.com
More amyloid in the brain, more cognitive decline: JAMA Neurology
speciality.medicaldialogues.in
Lysozyme used as Amyloidosis model for study UPSC
iasgyan.in
Negative Fat Pad Biopsy in Systemic AL: A Case Report Analyzing the ...
mdpi.com
Novel Therapeutic Strategies in Alzheimer’s Disease: Pitfalls and ...
mdpi.com
Amyloidosis
vajiramandravi.com
The Fuzzy Border between the Functional and Dysfunctional Effects of ...
mdpi.com
Estimating the Prevalence of Cardiac Amyloidosis in Old Patients with ...
mdpi.com
Negative Fat Pad Biopsy in Systemic AL: A Case Report Analyzing the ...
mdpi.com
Amyloidosis – Pathogenesis and Clinical Features - AMYLOIDOSIS ...
studocu.com
Negative Fat Pad Biopsy in Systemic AL: A Case Report Analyzing the ...
mdpi.com
Glucoraphanin Triggers Rapid Antidepressant Responses in a Rat Model of ...
mdpi.com
Cardiopulmonary Exercise Testing Correlates with Quantitative Left ...
mdpi.com
Negative Fat Pad Biopsy in Systemic AL: A Case Report Analyzing the ...
mdpi.com
Secure Diagnostics Pvt Ltd. | Product Items - Feline Serum Amyloid A ...
securediagnostics.in
Blood tests for Alzheimer's may be coming to your doctor's office: What ...
foxnews.com
Amyloidosis Cutis Dyschromica in a 16-Year-Old Filipino Girl: A Case Report
mdpi.com
Ocular Involvement in Hereditary Amyloidosis
mdpi.com
Hemato | Special Issue : Advances in Amyloidosis: A Theme Issue in ...
mdpi.com
Kidney Function Test (KFT) Report Format | MS Word & Pdf
labsmartlis.com
Early tafamidis treatment helps improve survival in patients with ...
medicaldialogues.in
Widal Test Normal Range, Procedure, Purpose, Risk Factor
bajajfinservhealth.in
Prothrombin Time Test (With INR) - All You Need to Know About | Max Lab
maxlab.co.in
Buy Q-1 PRO (PT,INR) Meter- Patient self testing Online for Rs 24,144
colmed.in
Amyloidosis: Symptoms, Types, Causes, and Treatments
medicoverhospitals.in
Amyloidosis Cutis Dyschromica in a 16-Year-Old Filipino Girl: A Case Report
mdpi.com
6 Vital tests for rheumatoid arthritis diagnosis
bajajfinservhealth.in
Prothrombin Time (PT/INR) Test Cost - Home Collection, Book Online ...
maxlab.co.in
Coagusense 03p56 50 Rapid Diagnostic Test Kit Coag Sense Professional ...
desertcart.in
Dermoscopy of primary cutaneous amyloidosis: A retrospective analysis
medicaldialogues.in
Buy Analysis of Amyloid Using Various Methods Book Online at Low Prices ...
amazon.in
Buy Amyloidosis and Fabry Disease: A Clinical Guide Book Online at Low ...
amazon.in
Role of Microglia and Astrocytes in Alzheimer’s Disease: From ...
mdpi.com
Clinical Clues to Diagnose Amyloidosis
casereports.in
AL (Light Chain) Amyloidosis: Symptoms, Causes, Treatment, and More
everydayhealth.com
Double Marker Test: Procedure, Results, Reports and Importance
maxlab.co.in
Labcorp introduces US FDA approved blood test, Lumipulse pTau-217/Beta ...
pharmabiz.com
Amyloidosis Liver Manufacturer Exporter Supplier from Noida India
medaidindia.in
Wondfo Finecare Ferritin Rapid Quantitative Test -Raj Biosis Pvt Ltd ...
rajbiosis.in
Dr. Lal PathLabs introduces advanced test for amyloidosis to detect ...
pharmabiz.com
Explained: What is Amyloidosis, The Condition That Has Affected General ...
indiatimes.com
Buy CardioChek Portable Blood Test System Online at Low Prices in India ...
amazon.in
Albumin antibody (16475-1-AP) | Proteintech
ptglab.com
Providing Home Therapy Services | Medical West
medicalwest.com
Download Report Max Lab
maxlab.co.in
Liver Function Test (LFT): Normal Range, Purpose, Types
bajajfinservhealth.in
With Fabriclore, understand significance of textile testing
fabriclore.com
Software Testing - Types, Concepts and Importance | FITA Academy
fitaacademy.in
Oscar Dengue Antigen (NS1) Test -Raj Biosis Pvt Ltd, Jaipur
rajbiosis.in
Mettle'23
mettle.nitt.edu
Mettle'23
mettle.nitt.edu
Mettle'23
mettle.nitt.edu
US FDA approves Fujirebio’s Lumipulse G pTau 217/ß-Amyloid 1-42 Plasma ...
pharmabiz.com
Understanding the Basics of Blood Test in Hindi | ब्लड टेस्ट से जुड़ी ...
onlymyhealth.com
US FDA approves Fujirebio’s Lumipulse G pTau 217/ß-Amyloid 1-42 Plasma ...
pharmabiz.com
POEMS Syndrome - Diagnostic criteria & Symptoms.
openmed.co.in
Nerve Ultrasound Score in Chronic Inflammatory Demyelinating Polyneuropathy
mdpi.com
Transthyretin Amyloid Cardiomyopathy (ATTR-CM) is a rare heart disease ...
aninews.in
Mettle'23
mettle.nitt.edu
Mettle'23
mettle.nitt.edu
Sphingosine-1-Phosphate Decreases Erythrocyte Dysfunction Induced by ...
preprints.org
Kidney Function Tests: Purpose, Types, and Procedure
godigit.com
OGGG.png
deckmount.in
UP doctor gives his own samples to meet Covid-19 test target, video ...
medicaldialogues.in
Widal Test – Purpose, Test Result & Normal Range | Max Lab
maxlab.co.in
Mettle'23
mettle.nitt.edu
TRIVENI TRADERS & DIAGNOSTIC PVT LTD in Mumbai
trivenidiagnostic.in
Intrauterine Pregnancy : Meaning, Early Signs, and Live Single ...
maxlab.co.in
Morphology of Flowering Plants - Free NEET Mock Tests
sciencelesson.in
Mettle'23
mettle.nitt.edu
Double Marker Test: Procedure, Results, Reports and Importance
maxlab.co.in
How Usability testing is different from User Acceptance testing | Techved
techved.com
Uroflowmetry Test@INR 700 | Call +918383812737
ramantanwar.in
Sensitivity and Specificity of different TB Screening and Diagnostic ...
ntep.in
Amigo Life
amigolife.in
Amigo Life
amigolife.in
Ectopic Pregnancy: Meaning, Sign and Symptoms, Causes & reasons | Maxlab
maxlab.co.in
Buy Fiberhome Products Online at Best Prices in India | Ubuy
ubuy.co.in
National Amyloidosis Day 2023: Date, History, Significance and Facts
newsd.in
Christ University Courses & Fee Structure 2026
zollege.in
Could Cortisol Be Connecting Midlife Stress to Alzheimer's?
msn.com
Test For Starch Class 6 - Twinkl South Africa (teacher made)
twinkl.co.in
5 in 1 TDS/EC/PH/Salinity/Temperature Meter Multi-functional water ...
gabyinstruments.in
Genetic and Epigenetic Regulation of MEFV Gene and Their Impact on ...
mdpi.com
SOP for Nursing: How to Write sample SOP for MSc nursing?
yocket.com
Amigo Life
amigolife.in
Donanemab Offers New Hope for Early Alzheimer's
msn.com
About Us
artl.co.in
Providing Home Therapy Services | Medical West
medicalwest.com
Genetic and Epigenetic Regulation of MEFV Gene and Their Impact on ...
mdpi.com
Buy OSCAR DENGUE ANTIGEN NS1 | 40 TESTS Online & Get Upto 60% OFF at ...
pharmeasy.in
Mettle'23
mettle.nitt.edu
Amigo Life
amigolife.in
Providing Home Therapy Services | Medical West
medicalwest.com
How to Write Test Cases in Software Testing?
thetestingsquad.in
Amigo Life
amigolife.in
Robustness of Terminal Testing | Super Control & Automation
supercontrol.in
Bursting Strength Tester-Pneumatic Manufacturer, Supplier
packingtest.com
Buy Onetouch Verio Test Strips Products Online | Ubuy India
ubuy.co.in
Related Searches
Amyloidosis Disease
Al Amyloidosis
Cardiac Amyloid MRI
Amyloidosis Treatment
Serum Amyloid a Test
Amyloid Blood Test
Amyloid Lab Testing
Systemic Amyloidosis
Amyloid Screening
Amyloid Pet Scan
Renal Amyloidosis
Amyloid Carpal Tunnel
Amyloid Labs
Light Chain Amyloidosis
Beta-Amyloid Test
Amyloid Dyes
Renal Amyloid Ultrasound
Amyloid Echo Appearance
Amyloidosis Fat Pad Biopsy
Amyloid-Beta Protein Blood Test
Amyloid Subtyping
Amyloid Studies
Amyloid Carpel Tunnel
Primary Systemic Amyloidosis
Fat Pad Biopsy for Amyloid
GI Amyloidosis
Amyloidosis Screen
Mass Spectrometry for Amyloid
Amyloidosis Genetic Testing
Amyloidosis Symptoms
Amyloid Algorithm
Amyloid Stroma
Beta-Amyloid Build Up
Amyloid Eval
Amyloidosis Pain
Gastric Amyloidosis
Gastrointestinal Amyloidosis
Amyloidosis Hands
Amyloidosis Kidney Ultrasound
Amyloid Test Skin Biopsy
Amyloidosis and Heart
Human Amyloid Imaging
Hereditary Transthyretin Amyloidosis
Marfan Syndrome Treatment
Tict Dyes for Amyloid
GI Amyloid Endoscopy
Amyloid Algorhtyhm
Renal Amyloidosis CT
Amyloid Diagnosis Algorithm
Amyloid PYP Scan Radiology
Search
×
Search
Loading...
No suggestions found