Find Your Style
Women
Men
Accessories
Search for clothing, brands, styles...
×
Women
Men
Accessories
Antonyms Adlib
Search
Loading...
No suggestions found
IKEA opens distribution centre in Pune with an investment of INR 100 cr ...
architecturaldigest.in
INR Full Form: What is full form of INR?
bankersadda.com
Get Unlimited Beer And One Plus One On Starters For INR 399 Every ...
lbb.in
PVC FALSE CEILING Products at price INR 0 in Hyderabad | ARMSTRONG ...
armstrongsolutions.co.in
Hrithik Roshan's Portrait for INR 4 Lakhs at Saffronart Auction | AD ...
architecturaldigest.in
Nehru Jackets At INR 500 | LBB
lbb.in
Explore 1397+ Free Printable K12 Worksheets by Top Teachers
planetspark.in
Easy english Grammer - Antonyms 1 - Antonyms Abate x Aggravate Abandon ...
studocu.com
Synonym and Antonym Poster - Teaching Resource - Twinkl
twinkl.co.in
First Grade Antonyms Worksheet
twinkl.co.in
write 20 examples of synonyms, antonyms and one word substitution ...
brainly.in
1-Day Study Plan: Antonyms - Class 1 PDF Download
edurev.in
E2 Rhyming Words, Singular/Plural, Antonyms, and Nouns Notes - Studocu
studocu.com
Go Green Tale Synonyms Antonyms Poster For Kids|Kids Learning Poster ...
amazon.in
find 30 synonyms and antonym with words - Brainly.in
brainly.in
Creative Antonyms Word Mat (teacher made) - Twinkl
twinkl.co.in
Opposite Words - Notes | Study English Grammar Class 7 - Class 7
edurev.in
ANTONYMS : 11. nonchalantly 12. astonished : 13. weary: 14. vexation ...
brainly.in
Synonyms and Antonyms, List and Examples Full Details
sscadda.com
Antonyms — lesson. English Language CBSE, Class 10.
yaclass.in
ใบงานจับคู่คำตรงกันข้ามในภาษาอังกฤษระดับ B2 ชุดที่ 2 - Matching English
twinkl.co.in
50+ Synonyms and Antonyms worksheets for Class 6 on Wayground | Free ...
wayground.com
Synonyms Vs Antonyms: Check Out Major Differences
msn.com
Class 2 Worksheet on Antonyms–Match Opposite Words | PlanetSpark
planetspark.in
Antonyms PowerPoint & Google Slides
twinkl.co.in
Antonyms Paper Quiz
twinkl.co.in
Class 3 English Worksheet on Synonyms and Antonyms | PlanetSpark
planetspark.in
Synonyms and Antonyms Mind Map - Class 10 English Grammar Basic PDF ...
edurev.in
50+ Synonyms and Antonyms worksheets for 6th Class on Quizizz | Free ...
wayground.com
Synonyms and Antonyms Chapter Notes - English Olympiad Class 4 PDF Download
edurev.in
Synonyms and Antonyms, List and Examples Full Details
sscadda.com
Benefit Antonyms Word Mat (teacher made) - Twinkl
twinkl.co.in
KS2 Finding Synonyms and Antonyms Worksheet (Extract from 'Code ...
twinkl.co.in
Find the antonyms:impossiblesuddenly ugly ...
brainly.in
Second Grade Antonym Opposites Worksheet | Twinkl USA
twinkl.co.in
write 15 unamiliar words with their synonyms and antonyms.But please ...
brainly.in
50+ Synonyms and Antonyms worksheets for 6th Class on Quizizz | Free ...
wayground.com
50+ Synonyms and Antonyms worksheets for 4th Class on Quizizz | Free ...
wayground.com
antonyms opposite of willing options1 Anxious 2 easy 3 hesitant 4 ...
brainly.in
Synonyms and Antonyms, List and Examples Full Details
sscadda.com
List of 400 English Synonyms & Antonyms – Practice to Beat Competition
scoop.eduncle.com
Choose the Word Opposite in Meaning – Antonyms Exercise (215 MCQ with ...
eduhyme.com
Collect newspapers regularly during holidays find two new words daily ...
brainly.in
List of 400 English Synonyms & Antonyms – Practice to Beat Competition
scoop.eduncle.com
OCEAN GURUKULS
oceangurukuls.in
fill in the crossword with the antonyms of the given words :- - Brainly.in
brainly.in
Buy Health and Wellness Products online in India | MrMed
mrmed.in
50+ Synonyms and Antonyms worksheets for 3rd Class on Quizizz | Free ...
wayground.com
Buy Bare Anatomy Advanced Hair Growth Serum 3% Redensyl + 4% Anagain ...
amazon.in
antonym of blad antonym of blad antonym of blad antonym of blad antonym ...
brainly.in
antonym's for interested - Brainly.in
brainly.in
Online vocabulary flashcards to learn Antonyms - Set 02 | Olympiad tester
olympiadtester.in
50+ Synonyms and Antonyms worksheets for 6th Class on Quizizz | Free ...
quizizz.com
Opposite Words- in English and Hindi for Kids
adda247.com
synonyms&antonyms you can choose them from the box inside 1)stop 2)cold ...
brainly.in
Synonyms And Antonyms List For Upcoming English Language Section ...
hindi.bankersadda.com
antonyms opposite of willing options1 Anxious 2 easy 3 hesitant 4 ...
brainly.in
Synonyms and Antonyms, List and Examples Full Details
sscadda.com
Antonym & Synonym (Final): Buy Antonym & Synonym (Final) by Unknown at ...
flipkart.com
synonyms and antonyms for the following words follow distance query ...
brainly.in
Daily Vocabulary Words 9th September 2022: Improve Your Vocabulary with ...
bankersadda.com
Daily Vocabulary Words 7th January 2023: Improve Your Vocabulary with ...
bankersadda.com
Synonym and antonym : 1 grumbling2 bloodthirsty 3 Spiky hair 4 wiry 5 ...
brainly.in
fill in the blanks with the antonyms of the highlighted words. give me ...
brainly.in
Daily Vocabulary Words 09 October 2023: Improve Your Vocabulary with ...
bankersadda.com
150+ Antonyms Questions - Exercise To Solve - Edu Hyme
eduhyme.com
Synonym and Antonym Poster - Teaching Resource - Twinkl
twinkl.co.in
Class 5 Grammar Worksheet on Synonyms and Antonyms | PlanetSpark
planetspark.in
Visual Vocabulary Word: Improve Your Vocabulary with Antonyms and ...
hindi.bankersadda.com
English Shapes | Fun English for Kids
seekho.in
Amazon.in: Antonyms Game : Alexa Skills
amazon.in
Buy Bare Anatomy Anti Dandruff Shampoo | Reduces Up to 100% Dandruff ...
amazon.in
Real Gold Tone Traditional Kerala AD Nagapadam Necklace – Happy Pique
happypique.in
English Olympiad Class 10 - Antonyms & Synonyms Set 08 | Olympiad tester
olympiadtester.in
New pattern antonym synonym for sbi clerk mains exam - Page 1 of 10 ...
studocu.com
Vocabulary Fill in the blanks with the synonym or antonym, as ...
brainly.in
write the antonyms (opposite) for the following words - Brainly.in
brainly.in
List of 400 English Synonyms & Antonyms – Practice to Beat Competition
scoop.eduncle.com
Immobilized - Arabic translation, meaning, synonyms, antonyms ...
en.englishlib.org
Amazon.in: Antonym's Quiz : Alexa Skills
amazon.in
Set of 6 AD Kemp Bridal Bangles – Happy Pique
happypique.in
List of 400 English Synonyms & Antonyms – Practice to Beat Competition
scoop.eduncle.com
AD LIB BANGKOK - Hotel Reviews, Photos, Rate Comparison - Tripadvisor
tripadvisor.in
Synonyms Vs Antonyms: Check Out Major Differences
msn.com
Antonyms of overwrought - Brainly.in
brainly.in
Cash Synonyms, Cash Antonyms - India Dictionary
1investing.in
Choosing Effective Vocabulary Differentiated Worksheet
twinkl.co.in
List of 400 English Synonyms & Antonyms – Practice to Beat Competition
scoop.eduncle.com
AD LIB KHON KAEN - Hotel Reviews, Photos, Rate Comparison - Tripadvisor
tripadvisor.in
Simple Gold Look Tilak & Flower AD Real Kemp Bangles – Happy Pique
happypique.in
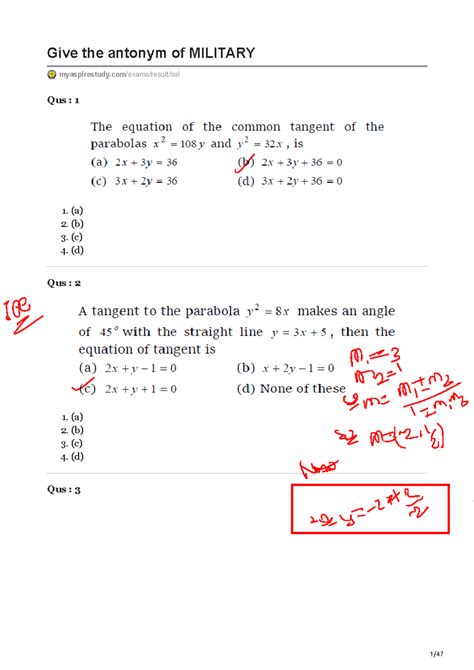
A01 - 5t5ttgrtg - Give the antonym of MILITARY myaspirestudy/exams ...
studocu.com
Luxury Handmade Carpets & Rugs Store in Delhi, Mumbai & Hyderabad ...
handscarpets.com
Printable Mad Libs Activity | Grammar
twinkl.co.in
Prefixes Worksheet - Grade 3 - Literacy Lessons - Twinkl
twinkl.co.in
Flashcards: Synonyms and Antonyms Flashcard - English Olympiad Class 4
edurev.in
Buy HONTOUSIP Synonyms/Antonyms/Pronouns/Homophones Flash Cards for ...
desertcart.in
Simple Gold Look Tilak & Flower AD Real Kemp Bangles – Happy Pique
happypique.in
Loud Synonyms Word Mat
twinkl.co.in
AtoZ Dictionary Of English Synonyms & Antonyms: Buy AtoZ Dictionary Of ...
flipkart.com
Buy Samsung SDI 18650 Lithium Battery Cell | Makerbazar
makerbazar.in
Class 4 Synonyms and Antonyms Grammar Worksheet | PlanetSpark
planetspark.in
find the antonyms of these words from the given page (pl find the ...
brainly.in
Chloroform: Arabic translation, meaning, synonyms, antonyms ...
en.englishlib.org
Hermaphrodite: Arabic translation, meaning, synonyms, antonyms ...
en.englishlib.org
Visual Vocabulary Word: Improve Your Vocabulary with Antonyms and ...
bankersadda.com
Freelance Invoice Template | Invoice Generator - Wise
wise.com
Buy Bare Anatomy Anti Hair Fall Shampoo|5x Hair Fall Control & Growth ...
amazon.in
Buy Reading Fundamentals - Homophones, Synonyms & Antonyms: Learn about ...
desertcart.in
Sarcastic का अर्थ हिंदी में, समानार्थी तथा विलोम शब्द | SamanyaGyan
samanyagyan.com
antonym of rigid from the passage and antonyms of strenuous from the ...
brainly.in
class 7 subject English chapter 1 see the given picture and tell me the ...
brainly.in
What are Antonyms
thelearningportal.in
International Trade Settlement in Indian Rupees (INR) – RBI FAQs
taxguru.in
antonyms of intention - Brainly.in
brainly.in
Immobilized - Arabic translation, meaning, synonyms, antonyms ...
en.englishlib.org
Stalling: Hindi translation, meaning, synonyms, antonyms, pronunciation ...
en.englishlib.org
The Sesquipedalian Word Game: Act it! Draw it! Ad-Lib it! Guess it ...
amazon.in
antonym of rigorous - Brainly.in
brainly.in
Including: Bengali translation, meaning, synonyms, antonyms ...
en.englishlib.org
1. Antonym of 'Modern' is - Brainly.in
brainly.in
Related Searches
A List of Antonyms
Antonyme
Antonyms Words
Plaintive Antonym
Antonyms Quiz
Dignity Antonym
Magnifiant Antonyms
Antonyms Sentences
Verb Antonyms
Antonyms Advanced
Abut Antonyms
Ligneous Antonym
Antonyms Story
Substantial Antonym
Resembled Antonyms
50 Antonyms
Examples of Antonyms
Types of Antonyms
Bungalow Antonym
Inside Antonym
30 Antonyms
Mistake Antonym
Hovel Antonym
Anthropomorphize Antonyms
Eschew Antonym
Antonym of Cover
Grudgingly Antonyms
Antonyms Examples for Kids
Synonyms Antonyms Homophones
CCD Antonym
Antonym Definition
Advance Antonyms
Implement Antonym
Infographic Antonyms
Antonym for Abligurition
Multiplication Antonyms
Antonym of Development
Antonyms of Descendant
Courteous Antonym
An Antonym of Listless
Advance Antonyms Word
Relever Antonyme
Antonym with Last
Ambiguous Antonyms
Invisible Antonyms
Antonyms Poster
Antonyms A to Z
Prerogative Antonym
Antonym to Devil
Introduction Antonym
Search
×
Search
Loading...
No suggestions found