Find Your Style
Women
Men
Accessories
Search for clothing, brands, styles...
×
Women
Men
Accessories
Apn Number Sars Example
Search
Loading...
No suggestions found
Step by step guide to deposit INR with UTR Referencing Number
help.suncrypto.in
Step by step guide to deposit INR with UTR Referencing Number
help.suncrypto.in
Step by step guide to deposit INR with UTR Referencing Number
help.suncrypto.in
IPMAT Indore - A goldsmith bought a large solid golden ball at INR ...
afterboards.in
World’s most expensive licence plate sold for over INR 122 crore in Dubai
lifestyleasia.com
World’s most expensive licence plate sold for over INR 122 crore in Dubai
lifestyleasia.com
Genome-wide analysis of various paralogs of aminopeptidase N (APN) gene ...
jabonline.in
Genome-wide analysis of various paralogs of aminopeptidase N (APN) gene ...
jabonline.in
E-Way Bill for Railway Parcel: Parcel Management System (PMS ...
cleartax.in
Durability of Humoral and Cellular Immunity after an Extended Primary ...
mdpi.com
Prothrombin time, PT/INR Report Format | MS Word & Pdf
labsmartlis.com
What is difference ain number and apn number
byteplus.com
Genome-wide analysis of various paralogs of aminopeptidase N (APN) gene ...
jabonline.in
SBI BANK CODE SBCHQ-GEN-PUB-IND-INR MEANING.SBI DIFFERENT TYPES OF ...
digitalhelper.in
Assessor's Parcel Numbers APN: Recording Requested By Doc Template ...
pdffiller.com
Andhra Pradesh Encumbrance Certificate (EC): A Detailed Guide | Landeed
landeed.com
All in One Parcel Track | All Courier Tracking | Speed Post Tracking
parceltrack.in
SIM800 GPRS HTTP Request
aeq-web.com
2023-2026 Form ZA SARS ITR-DD Fill Online, Printable, Fillable, Blank ...
pdffiller.com
How To Complete Sars Cra01 Form - Fill Online, Printable, Fillable ...
pdffiller.com
Speed Post Tracking India - Speed Post Tracking
speedposttrack.in
Sample Abstract for International Conference 1 - Title ...
studocu.com
hero two wheeler bike not delivered Railway parcel-Indian Railways ...
icomplaints.in
Udyam Number Masking and Validation in React Native (With Source Code ...
techup.co.in
The Importance of Measuring SARS-CoV-2-Specific T-Cell Responses in an ...
mdpi.com
2017-2025 Form ZA SARS IT77TR Fill Online, Printable, Fillable, Blank ...
pdffiller.com
Tax Number Application Form 2020-2026 - Fill and Sign Printable ...
uslegalforms.com
eFiling Password Reset - Step by Step Guide On How To Reset Your Income ...
cleartax.in
Railway Parcel — Electronic goods
consumercomplaints.in
Methods of Land Ownership Free of Property Tax - India Dictionary
1investing.in
Petition · Professional courier steal parcel by unprofessional courier ...
change.org
2023-2026 Form ZA SARS ITR-DD Fill Online, Printable, Fillable, Blank ...
pdffiller.com
2010 Form ZA SARS VAT215 Fill Online, Printable, Fillable, Blank ...
pdffiller.com
Missing Courier parcel-Reliance Life Insurance- iComplaints.in
icomplaints.in
ZA SARS Power of Attorney Form - Fill Online, Printable, Fillable ...
sars-power-of-antorney-form.pdffiller.com
Registered Post Tracking | Indian Post Office
speedposttrack.co.in
How to delete Access Point Names in Samsung Galaxy Note2(GT-N7100 ...
samsung.com
What is Sale Deed Number? How to find it on the sale deed? | PGN Property
pgnpropertymanagement.in
Vat 201 Form In Excel Format - Fill Online, Printable, Fillable, Blank ...
201c-form.pdffiller.com
What is the AO code for PAN Card and how it is important?
dhanvijay.com
Immunogenicity and Safety of an Inactivated SARS-CoV-2 Vaccine ...
mdpi.com
Fillable Online Environmental Microbiology Lab COC Form Fax Email Print ...
pdffiller.com
Lycamobile USA – Apps on Google Play
play.google.com
Laboratory Diagnosis of SARS-CoV-2 Pneumonia
mdpi.com
The sum of first n ap is given by sn=3n2-4n determine the ap and the 12 ...
brainly.in
TIN - Taxpayer Identification Number - Definition & Example - India ...
1investing.in
Define Parcel, Parcel Meaning, Parcel Examples, Parcel Synonyms, Parcel ...
smartvocab.in
High Speed Imaging Particle Sizing | Spraying Systems (India) Pvt Ltd
spray.com
Convert Currency in Number to Words (Indian Rupees) - Version 2 | Live ...
livetolearn.in
Switzerland Parcel Delivery | Parcelforce Worldwide
parcelforce.com
Advanced Vaccine Design Strategies against SARS-CoV-2 and Emerging Variants
mdpi.com
ネットワーク図作成ソフト
edrawsoft.com
Fillable Online SAR Response letter template Fax Email Print - pdfFiller
pdffiller.com
The SARS-CoV-2/Receptor Axis in Heart and Blood Vessels: A Crisp Update ...
mdpi.com
[Video] One part of a hostel’s monthly expenses is fixed, and the other ...
cracku.in
ORGANOGRAM Structure
satkosia.org
Best Courier Packing Services In India|Parcel Shipping Services
dstcourier.in
GST Export Invoice and Foreign Currency Billing | Sleek Bill
sleekbill.in
Types of Number System: Definition, Conversion, Equations & Examples ...
collegesearch.in
Durability of Humoral and Cellular Immunity after an Extended Primary ...
mdpi.com
Towa APN-100 HandHeld Label Applicator: Amazon.in: Industrial & Scientific
amazon.in
Evolution of Anti-SARS-CoV-2 Therapeutic Antibodies
mdpi.com
USD/INR Cracks Big: Falls 2% in 4 Days! | Investing.com India
in.investing.com
Omicron Variant: Symptoms, Preventions and Vaccination
medicoverhospitals.in
$NUMBER to INR: Convert NUMBER ($NUMBER) to Indian Rupee (INR ...
coinbase.com
SARS general power of attorney Doc Template | pdfFiller
pdffiller.com
2020-2025 ZA NSFAS Consent Form Fill Online, Printable, Fillable, Blank ...
nsfas-form.pdffiller.com
High Speed Imaging Particle Sizing | Spraying Systems (India) Pvt Ltd
spray.com
LRS Cash Receipt Book - 50 Sheets (Pack of 12) : Amazon.in: Office Products
amazon.in
Define Parcel, Parcel Meaning, Parcel Examples, Parcel Synonyms, Parcel ...
smartvocab.in
2020-2025 Form CA SDTTC Map Tax Clearance Certificate Request Property ...
pdffiller.com
prepare a chart on indian and international number system - Brainly.in
brainly.in
SHOWOFF Women's Round Neck Printed Green Straight Kurta
showoffff.in
Indian Institute of Science
iisc.ac.in
Free Bill Format | Download and Send Invoices Easily - Wise
wise.com
Calculation of Tender or Quotation - Overheads, Cost Accounting - Cost ...
edurev.in
If the sum of first n term of an AP is given by Sn = 6n+7n². Then find ...
brainly.in
Characterization of 18F-PM-PBB3 (18F-APN-1607) Uptake in the rTg4510 ...
mdpi.com
Jewellery Shop Bill Format Download | Free Invoice Template For ...
stockregister.in
Va Nurse Professional Standards Board - Fill and Sign Printable ...
uslegalforms.com
2015 Form ZA SARS VAT101 Fill Online, Printable, Fillable, Blank ...
pdffiller.com
Total number of chiral carbons in β -D-(.+.)-glucose
tardigrade.in
Laser Imaging | Spraying Systems (India) Pvt Ltd
spray.com
Electronics Shop Bill Format Download | Free Invoice Template For ...
stockregister.in
Phase Doppler Interferometer (PDI) | Spraying Systems (India) Pvt Ltd
spray.com
The sum of the first three numbers in an ap is 18.If the product of ...
brainly.in
Phase Doppler Particle Analyzer (PDPA) | Spraying Systems (India) Pvt Ltd
spray.com
Unlocking Divine Guidance: The Angel Numbers Collection by Soulla
soulla.in
How to sync your contacts on a Galaxy phone to your Google account and ...
samsung.com
Graduated cylinders, tall form, BLAUBRAND®, class A, Boro 3,3, DE-M ...
shop.brand.co.in
Free, Easy-To-Use, Excel Templates: Billing & stocking template for a ...
xlant.in
ABT Parcel Service Customer Care Phone Numbers, Contacts, Information
consumercomplaints.in
Crossproduct - 0 Cross Product The dot product of two vectors is a ...
studocu.com
The sum of first n terms of an AP is given by Sn = 2n2 + 3n. Find the ...
brainly.in
Data Tools Are Helping Predict COVID-19 Spread in Africa
usnews.com
Advanced Practice Nursing in der klinischen Praxis - Onkologie ...
universimed.com
Laser Imaging | Spraying Systems (India) Pvt Ltd
spray.com
AFFIDAVIT OF CERTIFICATION OF DOCUMENTS - Fill and Sign Printable ...
uslegalforms.com
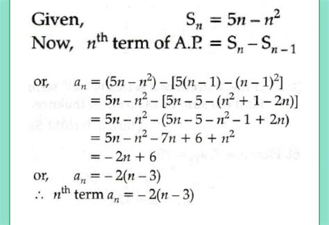
the sum of first n terms of ap is 5n- n square.Find nth term of the Ap ...
brainly.in
Multi-Currency Accounting – Create, Alter, and Delete
vedcrm.vedantsoft.in
The Marketvilla A6 Self Adhesive Labels for Amazon Easy Ship Merchant ...
amazon.in
APN Solar expands its line of products with the launch of the APN ...
aninews.in
Solution Service - Interactive Dashboard Internet of Things ...
tynatech.co.in
Earrings - Buy Earrings Online at Best Prices In India | Flipkart.com
flipkart.com
EQA Portal
naateqa.in
Laser Imaging | Spraying Systems (India) Pvt Ltd
spray.com
even number definition with example — Free Android Card Game
irma.ac.in
Condonation - Fill Online, Printable, Fillable, Blank | pdfFiller
pdffiller.com
Ecological Pyramid: Types, Pyramid of Numbers, Diagrams
adda247.com
Laser Sheet Imaging | Spraying Systems (India) Pvt Ltd
spray.com
Laser Sheet Imaging | Spraying Systems (India) Pvt Ltd
spray.com
मध्य प्रदेश के सभी जिलों के लिए इलेक्ट्रिसिटी कंप्लेंट नंबर - Mp ...
e4you.in
High-speed Imaging | Spraying Systems (India) Pvt Ltd
spray.com
Currency of Dubai, Know Everything from Denominations to Exchange Rates
currentaffairs.adda247.com
Roche receives approval for laboratory-based Elecsys SARS-CoV-2 Antigen ...
healthcareradius.in
What is GSTIN Number - GSTZen
gstzen.in
Indian jeweller sets record for designing ring with highest number of ...
timesofindia.indiatimes.com
Laser Diffraction Particle Analysis | Spraying Systems (India) Pvt Ltd
spray.com
Example of ESD Countermeasures on Actual Equipment | LED Protection ...
product.tdk.com
Volumetric flasks, BLAUBRAND®, class A, DE-M, 20 ml, NS 12/21, Boro 3.3 ...
shop.brand.co.in
Related Searches
APN Number
Parcel Number Example
Parcel ID Number
Property Parcel Maps
Tax Parcel Number
Map APN Number
Find Apn Number by Address
What Is a Parcel Number
APN Search
APN Number Format
How to Get an APN Number
Parcel Number for Property
APN Number On FNB
APN Number Form
APN Meaning
Sim Card APN Number
How to Read APN Number
APN Number Example Book Page Block
How Do I Find APN Numbers
Check Parcel
APN Number Spacing
APN Nr Example On an Invoice
Assessor's Parcel Number
APN Number Forex Payment
Parcel Identification Number Search
Where Can I Find Parcel Number
APN Network
APN in Mortgage
What Are Parcel APN Numbers
What Does an APN Number Look Like
How Many Numbers Are in an APN Number
APN Calculator
APN Parcel Number Lookup
What Is an APN Number for Us Foods
House AFN Number
Sim Card APN
APN Number Look Like Imager California
Wisconsin APN Number Example Number with Dashes
APN Setup
Where Is a APN Number On Appraial
Where to Find APN Number On Closing Document
APN Router Photo
Parcel Number for My Address
Application Reference Number
APN vs Parcel Number
What Is an APN Number for Us Food Service
Carspn APN Numbers
How to Write an APN Number for Planning Parcel
Example of an SARS APN Number
Is Assessment Number the Same as APN
Search
×
Search
Loading...
No suggestions found