Find Your Style
Women
Men
Accessories
Search for clothing, brands, styles...
×
Women
Men
Accessories
Appleton Group
Search
Loading...
No suggestions found
IIM Calcutta Placement 2023: Highest Package: INR 1.15 CPA , Average ...
zollege.in
ACME Group Garners Initial Capital For 300 Crore INR 'Connect' Fund ...
freepressjournal.in
Ashok Leyland Plots INR 50 Billion Investment Towards EV Batteries ...
msn.com
B2B Industrials Startup Magma's Order Book Crosses INR 500 Crore in FY26
aninews.in
Brigade Group's INR 660 Cr Hyderabad Land Deal
rera.news
DS Group Achieves Landmark Revenue of INR 10,000 Crore, F&B the Largest ...
aninews.in
SPJIMR Placement 2024: Highest Package: INR 81 LPA, Average Package ...
zollege.in
Sanjay Ghodawat Group targets INR 7500 cr revenue by 2025
aninews.in
INCOR Group raises financing of INR 1550 Million from Investec Managed ...
aninews.in
DS Group's Pulse Candy Becomes A INR 750 Crore Consumer Brand
aninews.in
AP Cabinet approves 10 tourism projects worth INR 2,800 cr; Oberoi ...
travel.economictimes.indiatimes.com
Project Monitoring Groups (PMG) Portal Upgraded; Projects worth INR 6. ...
investindia.gov.in
ANAROCK Revenue Up 36 per cent at INR 566 Cr in FY24, Surpasses INR 550 ...
aninews.in
EPACK Prefab Launches INR 200 Crore PEB Unit In Tirupati, South India ...
epack.in
Tata Group Invests INR 950 Crore in Agratas for Battery Expansion
constructionworld.in
GMR Group wins INR 2,470 Cr contract for UP's smart meter project ...
constructionworld.in
JSW Group Firm Gets SEBI Nod for INR 4,000 Crore IPO
psuconnect.in
Aubin Appleton Double Pocket Shirt (Q64313) | INR 12,425
nextdirect.com
Gaurs Group Invests INR 7 billion in Noida and Jaypee Greens
constructionworld.in
Ethnic Fashion Brand Libas Gains INR 150 Cr Maiden Funding from ICICI ...
shoplibas.com
SLCM agriĀ financing arm raises INR 29 Crores through Symbiotics Group
agritimes.co.in
INR (Indian Rupee) - Definition, What is INR (Indian Rupee), Advantages ...
cleartax.in
Godrej Group to Invest INR 300 Cr in Telangana | Hyderabad ...
hitex.co.in
INR (Indian Rupee) - Definition, What is INR (Indian Rupee), Advantages ...
cleartax.in
IAN Group Backs Chargeup with INR 22 Cr Funding | Entrepreneur
entrepreneur.com
Harshdeep Hortico Ltd Secures Major Orders Worth INR 1.39 Crore from L ...
aninews.in
Redevelopment Project Worth INR 36,000 Crore of Motilal Nagar, Mumbai ...
magicbricks.com
Aavishkaar Capital and Rajiv Dadlani Group Lead INR 400 Million Pre ...
aninews.in
6N/7D Manali Adventure Itinerary for Friends ā Budget INR 30kā35k ...
plantrip.io
Andheri Eatery Is Giving Tikkas Only For INR 1 Today | LBB Mumbai
lbb.in
Luthra And Luthra Leads INR 70 Billion Reverse Merger For Ujjivan Group ...
livelaw.in
APPLETON AXE (2026) All You Need to Know BEFORE You Go (with Photos ...
tripadvisor.in
Placement 2021 22, TKIET, Warana
tkietwarana.ac.in
APPLETON CPS RECEPTACLES PLUG 20AMP CPP-2023 | United Marine Services
unitedmarineservices.in
Appleton - 2025 UnitedHealthcare Product Meeting - 10/23 - 10:30 AM, 5 ...
allevents.in
Thrivent Office Photos
glassdoor.co.in
APPLETON CPS RECEPTACLES PLUG 20AMP CPP-2023 | United Marine Services
unitedmarineservices.in
APPLETON CPS RECEPTACLES PLUG 20AMP CPP-2023 | United Marine Services
unitedmarineservices.in
Sharing Circles ā SoulUp
soulup.in
ICC announces Champions Trophy 2025 prize money: Check cash prize for ...
msn.com
136 individuals earn more than Rs 100 crore, with a combined income of ...
businesstoday.in
Appleton Sons of Norway celebrates 50th Anniversary
wbay.com
Fox Valley health groups plan mass COVID-19 vaccination clinic in Appleton
wbay.com
Gujarat Titans | GT | IPLT20
iplt20-dev.epicon.in
PNC Menon, Founder Sobha Group and Mohammed bin Rashid Al Maktoum ...
businesstoday.in
Rennes Group Office Photos
glassdoor.co.in
Journey of Rohan Shah: Founder of Revo International-TRUEREVO & Navin Group
werisebyliftingothers.in
CMA Course Fees: Exam & Certification Costs Explained
toplad.in
APPLETON LITTLE PARADISE BEACH RESORT (Real) - Specialty Resort Reviews ...
tripadvisor.in
Agritech Innovation Recognised at Startup Mahakumbh: Aavishkaar Group ...
aninews.in
Newsroom | Emerson IN
emerson.com
R2dk Group
r2dkgroup.in
U.S. Venture exploring new headquarters at 222 Building in downtown ...
wbay.com
Christmas Past, Present and Future Light Tour in Milwaukee | WI
tripadvisor.in
Corporate Groups Package | Pawna Lake Camping for Corporate Groups
wildlakecamping.in
Newsroom | Emerson IN
emerson.com
CSR @OIL | Oil India Limited
oil-india.com
CSR @OIL | Oil India Limited
oil-india.com
Placement 2021 22, TKIET, Warana
tkietwarana.ac.in
IIG
investindia.gov.in
Breaking down revenue streams of Reliance Industries
finshots.in
U.S. Venture exploring new headquarters at 222 Building in downtown ...
wbay.com
L&T Finance: How KKR India, L&T Finance, Shapoorji groupās INR270 crore ...
economictimes.indiatimes.com
CSR @OIL | Oil India Limited
oil-india.com
PARTH RESIDENCY in Jaipur
parthresidency.in
Fees Structure of CMA Course | SJC Institute
sjcinstitute.com
19 bands to perform at Appletonās Octoberfest
wbay.com
U.S. Venture exploring new headquarters at 222 Building in downtown ...
wbay.com
Q. Write the names of the functional groups in: R\ R\ (a) C =O (b). C=O ...
brainly.in
How to Make Boxplots and Boxplots With Groups in R (R Tutorial 2.2 ...
edurev.in
Health insurance policy for 60-plus: Everything you need to know
indiatoday.in
B1.2- Proteins Flashcards | Quizlet
quizlet.com
Appleton spending, taxes increase in 2017 budget
fightingirishwire.usatoday.com
LoginView
tms.totalgroup.in
DiPiro's Pharmacotherapy: A Pathophysiologic Approach, 12th Edition ...
amazon.in
image
investindia.gov.in
Addison Group Office Photos
glassdoor.co.in
Denovo Group
denovogroups.in
All Manufacturer from PAT IMPEX INDIA in Vadodara
patimpex.in
TIDC India - About Us
tidcindia.in
APPLETON CPS RECEPTACLES PLUG 20AMP CPP-2023 | United Marine Services
unitedmarineservices.in
Placement 2021 22, TKIET, Warana
tkietwarana.ac.in
Paper industry thriving, despite Appvion and Appleton Coated issues
touchdownwire.usatoday.com
Ketone Functional Group || How Ketone Bodies are Produced|Chemistry Page
chemistrypage.in
Placement 2021 22, TKIET, Warana
tkietwarana.ac.in
Veterans Day 2023: History, Activities, Dates, FAQs, and Facts About ...
newsd.in
Kerala Lottery Result: December 16, 2025 - Sthree Sakthi SS-498 Results ...
freepressjournal.in
Indorient Financial Services Limited | Indorient
indorient.in
Circle Internet Group (CRCL) - Total assets
companiesmarketcap.com
Invest India
investindia.gov.in
Euro 2024 group stage draw: Complete list of groups, teams, schedule ...
sportingnews.com
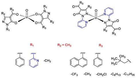
On the Capability of Oxidovanadium(IV) Derivatives to Act as All-Around ...
mdpi.com
Patna: A traveller's guide to the capital of Bihar
theceo.in
Indorient Financial Services Limited | Indorient
indorient.in
दबाव ą¤øą¤®ą„ą¤¹ (Pressure Groups)
hindiarise.com
Pressure Group, Meaning, Types, Function & Importance
studyiq.com
PLI scheme: Road ahead for OEMs, suppliers is investment-centric ...
grantthornton.in
Now experience cycle safaris at Pench Tiger Reserve, Maharashtra ...
timesofindia.indiatimes.com
On the Capability of Oxidovanadium(IV) Derivatives to Act as All-Around ...
mdpi.com
PARTH RESIDENCY in Jaipur, India
parthresidency.in
A to Z: All About Russell Group Universities - Education Republic
myeducationrepublic.com
š Equal Groups Maths Year 1 Multiplication Activity Sheets
twinkl.co.in
LoginView
tms.totalgroup.in
Placement 2021 22, TKIET, Warana
tkietwarana.ac.in
BigBasket Competitorsdf7a9973-a5d4-4bc0-b668-2b66da710158.JPG
investyadnya.in
Mitchell Marsh follows Riyan Parag - LSG opener's six smashes Curvv Car ...
sportingnews.com
Corporate Groups Package | Pawna Lake Camping for Corporate Groups
wildlakecamping.in
Press Release:Press Information Bureau
pib.gov.in
Placement 2021 22, TKIET, Warana
tkietwarana.ac.in
Check out these 7 upcoming cultural events in Bengaluru
msn.com
CA Course Guide 2025: Duration, Eligibility, and Exam Overview
vsijaipur.com
Hurun Rich List 2024: Gautam Adani to Azim Premji, India's 10 wealthy ...
theweek.in
R. S. Groups
rsgroups.co.in
Software Engineer Salary in India 2025
collegesearch.in
On the Capability of Oxidovanadium(IV) Derivatives to Act as All-Around ...
mdpi.com
B20 engagement group membership to enable Chitkara to influence policy ...
chitkara.edu.in
2 Days 1 Nights Haridwar Pick Up Tour Package by Shri Narmada group ...
hellotravel.com
5 Food Groups | Food Group Facts for Kids | Teaching Wiki
twinkl.co.in
Buy Mechatron RoboticsĀ® 30+ DIY Electronics & Science Project Kit ...
amazon.in
R2dk Group
r2dkgroup.in
Related Searches
Variable R Group
R Group Amino Acid
R Group Function
Unique R Group
Group by Other R
Group by INR Formatting
R Group Solws
R Group Meaning
R Group Enumeration
Means by Group in R Table
Group by Summary in Base R
Get Group Number R
20 Amino Acids List
Group by R Programming
R Group Formuula
Transpose Data in R by Group
Average of Group Command INR Studio
Simple R Group Example
GT Group by in Columns INR
R Aggregate by Group
Is Better Distinct or Group by INR
Group by All Events That Fall within Month Intervals R
R Table Listing Observations per Group
What Can Be in an R Group
Group Together Columns RGT Table
Group by Events That Span Multiple Dates R
Descriptive Statistics by Group R
Group by Multiple Variables INR
Illustrative Example Using Summarize and Group by INR
Counting by Groups
R Reporter Group-Level Statistic When Using Stub
Examples of R Groups
Table R Group Data for Classes
How to Use Group by INR
R Group Struture to Name Converter
R Group Exampple
What Does the R Mean in R Group
Summary Statistics INR
How to Find the R Group
Statistical Graphical Summary by Group R
How to Finthe R Group On A
Summarize by Group and Month in R
How to Make per Group without Separating INR
Grade R Group Table Pictures
Group Map in R
Does O Count as an R Group
Grade R Group Table Pictures Printable
How Would You Group Certain Values in R
What Does Group by Function Do in R
What Are the Three Options for the R Group
Search
×
Search
Loading...
No suggestions found