Find Your Style
Women
Men
Accessories
Search for clothing, brands, styles...
×
Women
Men
Accessories
Arcmap Round Numbers In Label Expression
Search
Loading...
No suggestions found
Delicious blended whisky picks in India at price points under INR 1200
lifestyleasia.com
Learn Geogebra - Open Educational Resources
teacher-network.in
Learn Geogebra - Open Educational Resources
teacher-network.in
Learn Geogebra - Open Educational Resources
teacher-network.in
Theory of Computation: construct of Deterministic Finite Automata (DFA ...
gateoverflow.in
Equivalence of NFA and Regular Expression - Regular Expressions and ...
cse.poriyaan.in
Equivalence of NFA and Regular Expression - Regular Expressions and ...
cse.poriyaan.in
Regulation of Gene Expression - Botany Optional for UPSC PDF Download
edurev.in
Learn Geogebra - Open Educational Resources
teacher-network.in
Vincular | Indian Regulatory Compliance Consultancy
vincular.in
Equivalence of NFA and Regular Expression - Regular Expressions and ...
cse.poriyaan.in
using phasor diagram derive an expression for impedance of R-L-C series ...
brainly.in
Learn Geogebra - Open Educational Resources
teacher-network.in
Consider regular expression r, where r = (11 + 111)* over = {0, 1 ...
edurev.in
Class 7 Maths Ch-12 Algebraic Expressions Mind Map - Brainly.in
brainly.in
DealzEpic 2-Inch Blue Number Stickers: Self-Adhesive, India | Ubuy
ubuy.co.in
Using Rounding in Real Life Situations
twinkl.co.in
turning of car on level road
raiedu.in
Estimate the following sums and differences by rounding off to the ...
brainly.in
50+ Expressions worksheets for 7th Class on Quizizz | Free & Printable
wayground.com
Rounding to the Nearest 10, 100, 1000, 10,000, 100,000 Classroom ...
twinkl.co.in
Using Biot - savart's law, derive an expression magnetic field at the ...
brainly.in
Oddy Label Sheet - 24 Label Format - 64*34mm - 10 Sheets
thelittle.in
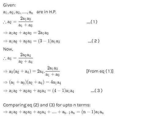
If a1,a2,a3.....,an are in hp then the expression a1a1+a2a3+....+a(n-1 ...
brainly.in
Using Rounding in Real-Life Situations Worksheet - Twinkl
twinkl.co.in
If a1,a2,a3.....,an are in hp then the expression a1a1+a2a3+....+a(n-1 ...
brainly.in
👉 Real-Life Rounding in Context Challenge Cards - Twinkl
twinkl.co.in
find the value of the following expression 4x-3y+5 - Brainly.in
brainly.in
Rounding to the Nearest Whole Number Activity
twinkl.co.in
50+ Multi-Step Equations worksheets on Quizizz | Free & Printable
quizizz.com
My Gesig Aktiwiteit (teacher made) - Twinkl
twinkl.co.in
Rounding Off to the Nearest 5,10,100 and 1000 Activity Sheet
twinkl.co.in
1-102 Round Number Stickers Labels 30 Sheets 3060 Self Adhesive Labels ...
amazon.in
Buy Pig Round Ear Tag, 001-100 Numbers Livestock Ear Tag Convenient ...
desertcart.in
Buy 25 Sheets, 1 to 100, Number Stickers Labels - 0.4" Round, Pack of ...
desertcart.in
Rounding Up and Down Numbers Rhyme Display Poster - Twinkl
twinkl.co.in
Human Brain Anatomy Regions Labeled Educational Chart Black Wood Framed ...
desertcart.in
Buy Holographic Warranty Protection Security Labels with Sequential ...
desertcart.in
mugup | revision rigorously
mugup.in
Grade R Subtraction Worksheets - Twinkl - South Africa
twinkl.co.in
Make up as many expressions with numbers (no variables) as you can from ...
ask.learncbse.in
Buy Downloadable PDF ICU Report Sheet/ Pharmacist Patient Icu Worksheet ...
etsy.com
Will mark brainliest Which expression is equivalent to mc016-1.jpg ...
brainly.in
Derive the expression for the electric field intensity at a point ...
edurev.in
Use Biot-Savart law to derive the expression for the magnetic field ...
ask.learncbse.in
True-Ally 50x25 Direct Thermal Barcode Label Sticker - 2 x 1 inch ...
amazon.in
Simplifying Algebraic Expressions With Parentheses Quiz
twinkl.co.in
Emotions - Class Chart Display Pack (teacher made) - Twinkl
twinkl.co.in
expression for acceleration due to gravity at depth d below earth's ...
brainly.in
Equivalent Equations Using Missing Numbers Activity Sheet
twinkl.co.in
Use Biot-Savart law to derive the expression for the magnetic field ...
ask.learncbse.in
Derive prism formula with labelled diagram - Brainly.in
brainly.in
Derive an expression for centripetal force 1 - Brainly.in
brainly.in
Derive an expression for the magnetic field at a point on the axis of a ...
brainly.in
👉 Curriculum for Excellence Subject Labels
twinkl.co.in
Derive an expression for terminal velocity of the sphere falling under ...
brainly.in
Oeko-Tex Label - ENJO
enjo.com
Using Gauss's law deduce the expression for the electric field due to a ...
ask.learncbse.in
Nobel prize in Physiology or Medicine awarded for discovery of ...
visionias.in
Derive expression for force of attraction between two bodies and then ...
ask.learncbse.in
Derive an expression for the electric field due to a dipole of dipole ...
brainly.in
Using Gauss's law deduce the expression for the electric field due to a ...
ask.learncbse.in
Rounding Poem Number Line Display Posters - Rounding Poem Number Line ...
twinkl.co.in
Activity 3.2 Underline the polite expressions in the following ...
brainly.in
Derive the expression for electric field intensity due to a uniformly ...
ask.learncbse.in
Matching Equivalent Addition and Subtraction Number Sentences
twinkl.co.in
Derive expression for centripetal acceleration 1 - Brainly.in
brainly.in
Using gauss law derive an expression for the electric field intensity ...
brainly.in
Number Sequencing Caterpillars (teacher made) - Twinkl
twinkl.co.in
find the values of a and b in 3-root5/3+2root5=aroot5-b/11 - Brainly.in
brainly.in
derive an expression for electric potential due to an isolated point ...
brainly.in
Draw a well labeled diagram of a roundworm - Brainly.in
brainly.in
Solve up to 2 decimal places: 3x² – x – 7 = 0. - Brainly.in
brainly.in
Buy Eilik - A Desktop Companion Robot with Emotional Intelligence Multi ...
ubuy.co.in
3Mâ„¢ Label Protection Tape 3565 | 3M India
3mindia.in
Derive an expression for work done against gravity? - CBSE Class 11 ...
ask.learncbse.in
Derive the expression for electric field intensity both inside and ...
brainly.in
Rounding to 10 poem number line Banner - Rounding to ten poem number line
twinkl.co.in
Ordinal Numbers Worksheet - Primary Resources (teacher made)
twinkl.co.in
tools.shop Price Labeler Printing Rate Colour Printer (MRP Rate Gun ...
amazon.in
Convert the following logic gate circuit into a Boolean expression ...
brainly.in
derive expression for electric field intensity due to an electric ...
brainly.in
UNIT 2 2019 - UNIT 2 – REGULAR EXPRESSIONS AND LANGUAGES Topics Covered ...
studocu.com
deduce an expression for potential energy of a system of two point ...
brainly.in
Hazmat Placards And UN Numbers: What You Need To Know, 60% OFF
elevate.in
Obtain the expression for the potential due to an electric dipole of ...
ask.learncbse.in
Numerology By Alphabet
blog.mangalbhawan.com
Derive an expression for maximum safe velocity of vehicle on a banked ...
brainly.in
3) using potentiometer derive an expression for internal resistance of ...
brainly.in
Heritage Day: South African Flag Colour by Number - Twinkl
twinkl.co.in
HP Desktop PCs - Removing and replacing the CMOS battery | HP® Support
support.hp.com
derive an expression for the centripetal force F acting on a particle ...
brainly.in
Maths Number Systems Word Cards | Counting In Zulu
twinkl.co.in
Buy 001-100 Numbers Pig Ear Tags Farm Animals Label Livestock Cow ...
desertcart.in
Tracing Numbers Worksheets - Number Formation 0 to 9
twinkl.co.in
'Incitement Of Insurrection' And The Brandenburg Test
livelaw.in
The quadratic equation x^2 - 4x + k = 0 has distinct real roots if ...
brainly.in
`15. What should be added to x^{2}+3x- 30 so that x-4 becomes a factor ...
brainly.in
Sample Question Regular Language - SIKSHA O ANUSANDHAN UNIVERSITY ...
studocu.com
Decimal Place Value, Charts, And Downloadable Exercises, 60% OFF
iiitl.ac.in
Girish - ruminating online: June 2013
blog.girishm.in
Yellow volume 3d render numbers party birthday celebrate anniversary ...
freepik.com
Number Shapes Rhyme
twinkl.co.in
9. Plot the following points on a coordinate plane: A (-3, 3), B (-1,0 ...
brainly.in
Shillong Teer result today 22.06.2022 first and second round numbers ...
indiatoday.in
The GCF of the numbers in the expression (32 + 16) is ?? . The numbers ...
brainly.in
Buy 25 Sheets 1 to 100 Vinyl Consecutive Number Stickers 0.4 Inch Small ...
desertcart.in
Shillong Teer result today 29.6.2022 first and second round numbers ...
indiatoday.in
Shillong Teer result today 25.03.2022 first and second round numbers ...
indiatoday.in
The shape below is formed from a rectangle measuring 13 cm by 16 cm ...
brainly.in
Q15. A box contains 200 tickets, each bearing one of the numbers from 1 ...
appliedmaths.in
derive an expression for electric potential due to a point charge ...
brainly.in
the measure of angle BCD in given figure is.....................in ...
brainly.in
Rounding to the nearest hundred - WORKSHEET by Dolphinshine | TPT
teacherspayteachers.com
Buy Wonder Bread Classic White Sandwich Bread, Sliced White Bread, 20 ...
desertcart.in
Marvel Entertainment Office Photos
glassdoor.co.in
7 Amazing Brahmi Expressions | Brahmanandam Comedy
yuvantech.in
the position vector of a particle is determined by the expression r= 3t ...
brainly.in
TERI School of Advanced Studies - UG, PG and Ph.D in Delhi
terisas.ac.in
The brands making the best impressions on women in Asia-Pacific ...
campaignindia.in
Search
×
Search
Loading...
No suggestions found