Find Your Style
Women
Men
Accessories
Search for clothing, brands, styles...
×
Women
Men
Accessories
Arduino Input Pull Down
Search
Loading...
No suggestions found
Buy Buddy Pull Out Storage from Home Centre at just INR 8400.0
homecentre.in
INR Full Form: What is full form of INR?
bankersadda.com
Pull-up vs Pull-down resistors – Robocraze
robocraze.com
Pull-Up vs. Pull-Down Widerstand
aeq-web.com
Pull-Up vs. Pull-Down Widerstand
aeq-web.com
Arduino Tutorials – RoboHUB
robohub.in
Getting Started with Input Output Devices on Arduino
digikey.in
Buy ThinkRobotics Arduino Mega2560 R3 Online – ThinkRobotics.com
thinkrobotics.com
Control DC Motors With Arduino And L293D Motor Driver IC, 54% OFF
iiitl.ac.in
Pull-Up vs. Pull-Down Widerstand
aeq-web.com
Buy ELEGOO Mega R3 Project The Most Complete Ultimate Starter Kit w ...
ubuy.co.in
Pull-Up vs. Pull-Down Widerstand
aeq-web.com
Getting Started with Input Output Devices on Arduino
digikey.in
Arduino Pin Configuration: A Detailed Guide 2022 – Robocraze
robocraze.com
Buy ThinkRobotics Arduino Nano V3.0 ATMEGA 328P Online – ThinkRobotics.com
thinkrobotics.com
Buy STM32F103C8T6 ARM STM32 Minimum Development Board Module for ...
ubuy.co.in
Détourner Saleté Montagnes raspberry pi pico arduino pinout Amuser Aube ...
collegeofartsandcraftspu.in
Buy Freenove ESP32-WROVER CAM Board (Compatible with Arduino IDE ...
ubuy.co.in
Virtual lab
vlsi-iitg.vlabs.ac.in
Build a Motion sensor using Arduino
flyrobo.in
Arduino Tutorial #2 - Analog Inputs and Pulse Width Modulation (PWM ...
edurev.in
Arduino Tutorial #1 - Digital Inputs and Outputs - Button and LED Video ...
edurev.in
Limit Switch module 16A 250V ( Push Type ) in Electro Boat - Online ...
electroboat.in
ARDUINO ARDUINO UNO R3 Input/Output Processor Price in India - Buy ...
flipkart.com
Build a Motion sensor using Arduino
flyrobo.in
Understanding Pull-Up and Pull-Down Resistors in Electronics ...
thinkrobotics.com
Rain Drop Sensor Interfacing with Arduino – QuartzComponents
quartzcomponents.com
Total number of Analog pins in Arduino
scikn.in
Buy Arduino Industrial ESP32 ESP8266 WiFi 24V Digital Inputs PLC IOT ...
ubuy.co.in
Buy Arduino Uno R3 ATmega328P CH340G Compatible - SunRobotics
sunrobotics.in
Buy Arduino Industrial ESP32 ESP8266 WiFi 24V Digital Inputs PLC IOT ...
ubuy.co.in
Deurbel -> Raspberry GPIO - Modding, mechanica en elektronica - GoT
gathering.tweakers.net
Project
web.iitd.ac.in
How to Use Arduino Interrupts to Detect User Inputs
digikey.in
AFX00002 Arduino | Arduino Opta WiFi Series Logic Controller, 12 → 24 V ...
in.rsdelivers.com
Automatic Rain-Sensing Clothesline Using Arduino Nano (DIY IoT Project)
hackingtruth.in
Buy IS Icstation 24V to 5V 8 Channel PLC-PNP Signal Converter ...
desertcart.in
Optimization of Biotinylated RNA or DNA Pull-Down Assays for Detection ...
mdpi.com
Pull-down assays
sigmaaldrich.com
Arduino Nano-Based Auto Rain Shield for Clothes | Kitkraft DIY Home Au
kitkraft.in
Buy 34 in. Orion Gray Pull Down Shelf Online at Lowest Price in India ...
ubuy.co.in
Arduino Smartmeter
aeq-web.com
AFX00003 Arduino | Arduino Opta Lite Series Logic Controller, 12 → 24 V ...
in.rsdelivers.com
Arduino Uno एनालॉग पिन के इनपुट प्रतिबाधा?
qastack.co.in
Inforbits UNO R3 SMD Board Compatible with Arduino | Development Board ...
flipkart.com
Due Board - Arduino | DigiKey Electronics
digikey.in
What is IR Drop in VLSI ? ~ Learn and Design Semiconductors .......
techsimplifiedtv.in
USB Cable for arduino UNO MEGA 2560
flyrobo.in
Raindrops Detection Sensor Module in Sensors & Modules | Electro Boat ...
electroboat.in
How to Control Servo Motor with Arduino Uno? – QuartzComponents
quartzcomponents.com
Buy Official Arduino Nano 33 BLE Sense Rev2 With Headers, IMU & BLE ...
rees52.com
Pull -Up to Pull-Down ratio for an n MOS Inverter - Pull -Up to Pull ...
studocu.com
Push Pull Class B Power Amplifier - Operation of the circuit ...
eee.poriyaan.in
Push Pull Class B Power Amplifier - Operation of the circuit ...
eee.poriyaan.in
arduino LM2596 4.2V to 40V Adjustable Step Down DC-DC Buck Module ...
flipkart.com
Voltage Detection Sensor Module 25V
makerbazar.in
Buy Arduino Nano 33 BLE Sense with Headers [ABX00035] Online at Lowest ...
ubuy.co.in
Tree-style Multi Select Dropdown Plugin For Bootstrap - DropdownTree ...
p.bdir.in
AFX00002 Arduino | Arduino Opta WiFi Series Logic Controller, 12 → 24 V ...
in.rsdelivers.com
Buy Mechatron Robotics 35+ Arduino Project Kit (AP4V2) with Free Step ...
amazon.in
Buy 4 Channel Opto-Isolated Board Input 24V to 5V Din Rail Opto ...
desertcart.in
Arduino Motor Steuerung (H-Brücke)
aeq-web.com
Input Shield for Arduino at MG Super Labs India
mgsuperlabs.co.in
Op-amp Ideal Non-inverting Amplifier - Working Principle, Derivation ...
eee.poriyaan.in
Buy BITE KITE 2 Jack 2 pin AC 230 V Input DC Power Adapter/Charger ...
desertcart.in
Buy ANGEEK LCD Keypad Shield of the LCD1602 character LCD input and ...
desertcart.in
Input Shield for Arduino at MG Super Labs India
mgsuperlabs.co.in
How to Use Pushbutton: Pinouts, Specs, and Examples | Cirkit Designer
docs.cirkitdesigner.com
Proto Pedal Example: Analog Equalizer Project
sechub.in
Inforbits Board SMD ATmega328P Compatible with Arduino Input/Output ...
flipkart.com
5V Single Channel Relay Module Pinout, Working,, 56% OFF
iiitl.ac.in
How to Create Drop-Down Menus in Excel - Blog
appsmanager.in
SIK Experiment Guide for Arduino - V3.3
sechub.in
Arduino PWM Remote Control
aeq-web.com
Arduino Nano 33 IOT at MG Super Labs India
mgsuperlabs.co.in
Arduino – MAJESTRONICZ
majestronicz.in
Push-Pull Class B Amplifier Free MCQ Practice Test with Solutions ...
edurev.in
Buy AC/AC Power Transformer Input 110V 50/60HZ Output AC 12V 10VA ...
desertcart.in
Original Arduino UNO R3 Original | Genuine Arduino UNO Board with DIP ...
amazon.in
Input Shield for Arduino at MG Super Labs India
mgsuperlabs.co.in
Ripple/Asynchronous Counters - Counters - Digital Principles and ...
cse.poriyaan.in
Probots Raindrops Detection Module Water Sensor Analog Output Buy ...
probots.co.in
Virtual lab
vlsi-iitg.vlabs.ac.in
Kohler Atom Pull Down Kitchen Sink Facuet | Kitchen Mixer Tap ...
amazon.in
Arduino UNO R3 Compatible Development Board CP2102
flyrobo.in
Optimization of Biotinylated RNA or DNA Pull-Down Assays for Detection ...
mdpi.com
Arduino Sinhala 08 - Digital Inputs / Toggle Button / Pressed Time ...
edurev.in
Buy ICQUANZX 5pcs SG90 9G Micro Servo Motor Kit with RC Robot Arm/Hand ...
ubuy.co.in
Buy ALAMSCN Digital Load Cell Weight Sensor + HX711 Weighing Breakout ...
desertcart.in
HDHRBH 24 Inch Pull Down Shelf, 2-Tier Kitchen Cabinet Organizer ...
amazon.in
Rain Drop Sensor Module for Arduino Raspberry PI
sumeetinstruments.com
Minimal Dropdown Year Selector With jQuery - year-select | jQuery Plugin
p.bdir.in
Protecting Inputs in Digital Electronics | DigiKey
digikey.in
Buy Comimark 3Pcs PCF8574 PCF8574T I2C 8 Bit IO GPIO Expander Module ...
ubuy.co.in
Optimization of Biotinylated RNA or DNA Pull-Down Assays for Detection ...
mdpi.com
Care N Touch Rain Drop Detection Sensor Module/Raindrops Humidity ...
flipkart.com
Raindrop Detection Sensor Module
flyrobo.in
JF-0530B DC 12V 1A 10mm 5N Push Pull Solenoid Electromagnet
flyrobo.in
50+ Alphabetical Order worksheets for 7th Class on Quizizz | Free ...
wayground.com
DBR Satin Soft Pull Down Lift Up Basket Elevator For Modular Kitchen ...
amazon.in
Modbus RS485 I/O | Modbus Legency Converter
uniconvergetech.in
SEELab - 3.0
csparkresearch.in
Build Fire Fighting Robot using Arduino – QuartzComponents
quartzcomponents.com
Buy Temperature Controlled Fan Using Arduino : ElementzOnline ...
elementzonline.com
Buy POWER GUIDANCE Triceps Pull Down Attachment, Cable Machine ...
desertcart.in
Teal Green Button Down Tunic
kapraaha.com
How to activate or deactivate the Smart Hub on your Samsung TV ...
samsung.com
AC Output Power - Class B Complementary Symmetry Amplifiers, Comparison ...
ece.poriyaan.in
Cole-Parmer Muffle Furnace, 24 L, 1200°C, Drop down and side swing door ...
coleparmer.in
Buy OLatus Expansion Testing Interface Board with Relay, LED, Switch ...
desertcart.in
Buy Gikfun 12V DC Dosing Pump Peristaltic Dosing Head with Connector ...
desertcart.in
Buy 150259 Pull Down Hose Kit For Moen Faucet Replacement Part 150259 ...
ubuy.co.in
Teal Green Button Down Tunic
kapraaha.com
Buy LAT Pull Down Bar Online at desertcartINDIA
desertcart.in
Buy YAFITYES Adjustable LAT Pulldown Attachments, Fitness Handle, Home ...
ubuy.co.in
Pull It Down APK Download for Android Free
malavida.com
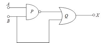
Write down the output at X for the inputs A = 0, B = 0 and A = 1, B = 1.
tardigrade.in
Ils Modbus Rtu 4 Channel Relay Module 4ch Input Optocoupler ...
desertcart.in
Buy Rosemary Stainless Steel Manual Pull Chopper from Home Centre at ...
homecentre.in
Related Searches
Arduino Pull Up Input
Pull Down Resistor Arduino
pinMode Arduino
Arduino Switch
Pull Up Arduino
Arduino Output Pin
Arduino Uno Map
Digital Input Arduino
Arduino Nano
Arduino Board
Arduino Motor
Arduino Hardware
Thermistor Arduino
DC Motor for Arduino
DigitalRead Arduino
Micro Switch Arduino
Resistencia Pull Down Arduino
External Pull Down Resistor Arduino
Arduino CAD
Arduino Pull Down Code Example
Pull Down Resistro Arduino
Thermistor Sensor Arduino
Pulsein Arduino
10K Thermistor Arduino
Arduino Mapping
Internal Pull-Up Resistor
Arduino Pull Up or Pull Down
Setting Up Pull Down Resistor in Arduino
digitalWrite Arduino
S1 Arduino
MPU-6050 Arduino
Arduino T+
Photoresistor Arduino Circuit
Water Level Sensor Arduino
Pull Up vs Pull Down Resistor
Boton Pull Up Arduino
Arduino Transistor Pull Down Circuit
Motor Module Arduino
Input PullDown Arduino
Pull Up Resistance
Tinkercad Arduino
Nir Sensor Arduino
Pull Up Widerstand
Pull Down Trunk DIY Arduino
Pull Up Dan Pull Down
Arduino Pull Down Buton
Rangkaian Pull Up Dan Pull Down Arduino
Toggle Switch Pull Down Resistor Arduino Two Position
What Is Pull Up and Pull Down in Arduino
Arduino LED Resistor
Search
×
Search
Loading...
No suggestions found