Find Your Style
Women
Men
Accessories
Search for clothing, brands, styles...
×
Women
Men
Accessories
Asked Yield Formula
Search
Loading...
No suggestions found
Bid-Ask Spread in Trading | Bid and Ask Prices for Options
truedata.in
Valuation of Shares
cleartax.in
Theoretical Yield Formula, Definition, Calculation in Chemistry
adda247.com
Repo Rate Vs Reverse Repo Rate: Definition, Significance & Effects
paisabazaar.com
Theoretical Yield Formula, Definition, Calculation in Chemistry
adda247.com
Percentage Yield Formula: Definition, Solved Examples
pw.live
Arithmetic growth rate formula. - Brainly.in
brainly.in
Percentage Yield Formula: Definition, Solved Examples
pw.live
The specific activity of an enzyme in a crude extract of e. coli is 9.5 ...
scoop.eduncle.com
GP Formula- Sum of n Terms, Sum of Infinite GP
adda247.com
Yield to Maturity (YTM) - Meaning, Formula and Examples
groww.in
'Tamil Nadu will never yield to Delhi's administration': MK Stalin's ...
msn.com
Walt Disney Stock: A Dividend Analysis - India Dictionary
1investing.in
Solved: The pharmacy's recipe book provides a formula that yields 100 g ...
gauthmath.com
Logarithm Formula- Explanation, Types, Properties, Examples
adda247.com
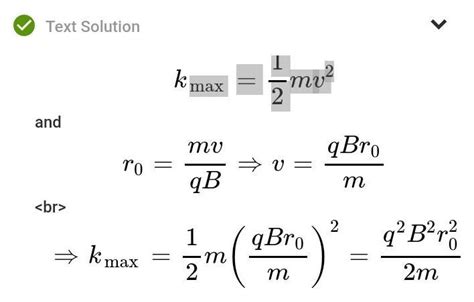
Maximum kinetic energy of the positive ion in the cyclotron,with usual ...
brainly.in
Understanding Spread Risk: Definition and Implications
shallbd.com
An alkene ‘A' (Mol. formula C5H10) on ozonolysis gives a mixture of two ...
tardigrade.in
Find the third proportion to 6 and 12 - Brainly.in
brainly.in
if r value is less than 1 then finding the sum of infinite geometric ...
brainly.in
TTM Yield Definition, Uses, Calculation: Mutual Funds - India Dictionary
1investing.in
Alligation Rule and Mixtures and Replacements Formulas
campusgate.in
Dimensional Analysis and Formulas - Physics Class 11 - NEET PDF Download
edurev.in
what is the formula of cot (A+B) - Brainly.in
brainly.in
Formula - INDEX FORMULA BOOKLET TARGET:JEE MAIN - 1. Unit and Dimension ...
studocu.com
Ask Morningstar: Time for Floating Rate or Dynamic Bond funds ...
morningstar.in
Binomial theorem formula sheet - B.tech CSE - Studocu
studocu.com
Design of Bolted Connections | Concept and Formulas with Example
apsed.in
How to Calculate Bond Yield | Charles Schwab
schwab.com
Passage IAn alkane (A) molecular formula C6H14 reacts with chlorine in ...
edurev.in
Derive lens maker formula? - EduRev Class 12 Question
edurev.in
Among the isomeric alkanes of molecular formula $C_{5}H_{12}$ - CBSE ...
ask.learncbse.in
an alkene with molecular formula c5h10 on ozonolysis - Brainly.in
brainly.in
Mind Map: Vedic Mathematics: Tricks for Fast Calculations - IBPS PO ...
edurev.in
Chemical Formula Table, Definition, Types, Example, All Names List
adda247.com
Below table gives information about traffic update of Asia Pacific ...
edurev.in
Buy Pantone Formula Guide Set 2022 Color of The Year, Two Fan Guides ...
desertcart.in
Zebu | Stock Market | Higher Yield Formula Kelly's Criterion
insider.in
Return on Equity - India Dictionary
1investing.in
Here's How To Calculate Your BMR For Fat Loss And Gains - Fitness ...
in.askmen.com
Note for ask,fsk,psk Principle Of Digital Communication - [ - Studocu
studocu.com
Calculate Dividend Yield | Formula, Example & Benefits
bajajfinserv.in
Deduce the dimensional formula for R, using ideal gas equation PV = nRT ...
ask.learncbse.in
Walt Disney Stock: A Dividend Analysis - India Dictionary
1investing.in
Dividend Yield: Formula, Calculation, Importance and Benefits
navi.com
BOND YIELD UPSC
iasgyan.in
Strength of Solution Formula, Units and Calculation - Chemistry ...
aakash.ac.in
Addition of HBr to propene yields 2-bromo propane, while in presence of ...
ask.learncbse.in
Mind Maps For Matrices - Class 12, JEE (Main + Advanced)
esaral.com
Write the formulae of the given salts as ‘ potassium sulphate, sodium ...
ask.learncbse.in
Decomposition Analysis for Impact of Backward Integration on Input Use ...
ndpublisher.in
NFPA 13 Plans AND Calculations 1658556759 - NFPA 13 (Standard for ...
studocu.com
Define modulation index.Why is its value kept,in practice less than one ...
ask.learncbse.in
√ Relation between circumradius and inradius in different triangle ...
sciencelaws.in
formula for mean,median and mode - Brainly.in
brainly.in
Effective Annual Yield - India Dictionary
1investing.in
sensitivity and specificity formula - Brainly.in
brainly.in
C.R Formula, History, Proposal, Significance & Failure of Rajaji Formula
studyiq.com
Formula of finding hybridisation of a compound?? - Brainly.in
brainly.in
What is the formula for the relative density of a liquid? - Brainly.in
brainly.in
Solved: Drag each tile to the correct box Each tile shows an investor's ...
gauthmath.com
Day 36: Ugadi and Accounting: Not a good mix ! - The Executive Saga
theexecutivesaga.in
how to calculate the prime number by simple formula - Brainly.in
brainly.in
Determine dimensional formula for permittivity of free space - Brainly.in
brainly.in
15 highest paying dividend stocks of 2020 | Articles | Morningstar India
morningstar.in
what is perimeter formula - Brainly.in
brainly.in
Shear Strain: Definition, Formula & Torsion of cylinder | AESL
aakash.ac.in
Buy RootMax - Mycorrhizal Fungi Rooting Powder for s cuttings | 50x ...
desertcart.in
Calculations
evalidate.in
Madhya madhika bahulak ka formula - Brainly.in
brainly.in
8 Important Techniques to Improve Crop Productivity in Agriculture
jaihokisan.in
C R Formula 1944, Proposals, Reactions, Failure, UPSC Notes
vajiramandravi.com
Formula 15+ Organic biostimulant that increases crop yield
plagro.in
Summation Formula, Definition, Solved Examples
pw.live
Shortest distance between two lines in 3d formula derivation - Brainly.in
brainly.in
Buy The Evolution of Yield Management in the Airline Industry: Origins ...
desertcart.in
R Ashwin Told By Fan To Leave CSK In Live Chat; IPL Legend Replies ...
msn.com
C.R Formula, History, Proposal, Significance & Failure of Rajaji Formula
studyiq.com
What is dividend yield? - The Economic Times
economictimes.indiatimes.com
Formula for refractive index and velocity of light - Brainly.in
brainly.in
Fillable Online Sample Accident Investigation Questions Fax Email Print ...
pdffiller.com
Formula r1 on sale brake pads
metrorailnews.in
C.R Formula, History, Proposal, Significance & Failure of Rajaji Formula
studyiq.com
Formula for calculating exact median of grouped frequency data - Brainly.in
brainly.in
Lower your return expectations from debt funds | Articles | Morningstar ...
morningstar.in
Elevation in Boiling Point: Definition, Formula, Graphical ...
aakash.ac.in
Calculations
evalidate.in
10 Yr Gsec yield v2 - InsightsInsights
fundsindia.com
SIMILAC Stage 1 Infant Formula (Up to 6 months) Price in India - Buy ...
flipkart.com
Comprehensive Straight Line Formula Guide 2025 | CollegeSearch
collegesearch.in
derive the formula of volume of frustum of cone - Brainly.in
brainly.in
Donald Trump’s new tariff rate formula – What do we see?
cryptopanic.com
isentropic flow equations betweem pressure and density - Brainly.in
brainly.in
Increase Rice Yield Using Drip Irrigation | Netafim India
netafimindia.com
chemical formula of 50 compounds - Brainly.in
brainly.in
How to increase wheat yield with nutrition | Yara India
yara.in
Glucose+oxygen=carbon dioxide+water+energy equation - Brainly.in
brainly.in
dimensional formula of density with explanation - Brainly.in
brainly.in
why is sodium bisulphate used for the purification of aldehyde and ...
brainly.in
Yield Yard
yieldyard.in
Formula for a long healthy life? We asked these 90-year-olds | India ...
timesofindia.indiatimes.com
C.R Formula, History, Proposal, Significance & Failure of Rajaji Formula
studyiq.com
PCB asked to 'put pressure and give some incentive' to Shaheen Afridi ...
msn.com
Calculations
evalidate.in
Gauss Law or Gauss Theorem : Solid Angle and Electric Flux|Chemistry Page
chemistrypage.in
Personal Finance: Wealth News, Money Tips, Personal Finance News, Money ...
economictimes.indiatimes.com
C.R Formula, History, Proposal, Significance & Failure of Rajaji Formula
studyiq.com
mean all formula of statistics - Brainly.in
brainly.in
Calculations
evalidate.in
differentiate between elastic limit, yield point and UTS!plz give ...
brainly.in
Elevation in Boiling Point: Definition, Formula, Graphical ...
aakash.ac.in
48. Four identical cells each having emf E and internal resistance r ...
brainly.in
what is strength of of hit v with Re500 anchor in shear. also ...
hilti.in
Why is copper vessel covered with a green coating in rainy season write ...
brainly.in
Which floral formula is most asked in neet exam - Brainly.in
brainly.in
Moss Adams LLP Reviews in Bangalore | Glassdoor
glassdoor.co.in
Top 25 Most Commonly Asked Questions About Niacinamide ...
foxtale.in
Partial fraction method for multiple poles derivative formula - Brainly.in
brainly.in
Heat Stress Affect Wheat | Encyclopedia MDPI
encyclopedia.pub
KTR summoned again by ACB in Formula E case, asked to appear on Jan 9
msn.com
Related Searches
Current Yield Formula
Investment Yield Formula
Simple Yield Formula
Earnings Yield Formula
Specific Yield Formula
Current Yield Formula Bond
Interest Yield Formula
Percentage Yield Fórmula
Annual Yield Formula
True Yield Formula
Percent Yield Formula
Overall Yield Formula
Yield to Call Formula
Running Yield Formula
Yield Formula Aviation
T-Bill Yield Formula
Basic Yield Formula
Theoretial Yield Formula
Bond Price Yield Formula
Discount Yield Formula
Bond Equivalent Yield Formula
Dividend Yield Formula
Actually Yield Formula
Theotreical Yield Formula
Yield to Call Equation
Yield Formula Property
Yield Calculator
Implied Yield Formula
Fractional Yield Formula
Effective Yield Formula
Theoretical Yield Formula
Formula of New Standard Yield
T-Bill Rates
Yield Formula Excel
Convenience Yield Formula
Realized Compound Yield Formula
Yield Ratio Formula
Approximate Yield Formula
Yield Calculation Formula
Yield Formul
Thepritical Yield Formula
Money Market Yield Formula
Roll Yield Formula CFA
Simple Yield to Maturity Formula
Operating Earnings Yield Formula
Yield Formula Chemistry
Percent Yield Formula Chem
Passenger Yield Formula
Equivalent Rate Formula
Yield Meaning
Search
×
Search
Loading...
No suggestions found