Find Your Style
Women
Men
Accessories
Search for clothing, brands, styles...
×
Women
Men
Accessories
Aub System 2 Image
Search
Loading...
No suggestions found
Draw venn diagrams represent. I) (AUB)' II)A'nB' - Brainly.in
brainly.in
Abnormal Uterine Bleeding - Abnormal Uterine Bleeding - MSD Manual ...
msdmanuals.com
ITY1773 - Star Alliance Virtual
staralliancevirtual.org
(3) n (AUB) = n(A) + n(B)-n (AB)Verify the above rule for the given ...
brainly.in
Draw the venn diagrams for the following : (i) AUB (ii) A∩B (iii) (AUB ...
brainly.in
23. If A = (x:x is a factor of 6}, B = {x:x is a positive even number ...
brainly.in
If A{0, 1,2}and B={2, 4}then find (AuB) - Brainly.in
brainly.in
3. Draw three diagrams similar to the given figure and shade the ...
brainly.in
YUHANUS RFID Keypad Door Access Control System with 600lb India | Ubuy
ubuy.co.in
Acoustic Wave® music system II - Bose® Product Support
boseapac.com
OM-1 Mark II – Camera for nature photography | OM SYSTEM
explore.omsystem.com
Biology 2 Q4 Module 1: Plant and Animal Organ Systems & Their Functions ...
studocu.com
draw appropriate venn diagram (AUB) 'A' UB' - Brainly.in
brainly.in
Type II Toxin–Antitoxin Systems in Pseudomonas aeruginosa
mdpi.com
23. If A = (x:x is a factor of 6}, B = {x:x is a positive even number ...
brainly.in
Fundamentals of Database Systems (Fifth Edition)
bookforest.in
What are 'Fatah-II' rockets? Guided Multiple Launch Rocket System that ...
theweek.in
Hidesign womens EE VIRGO II Large Red Aub I Tote Bag : Amazon.in: Bags ...
amazon.in
Artemis II Core Stage Vertical Integration Begins at NASA Kennedy ...
news.sciencex.in
Draw Venn diagram to represent. ii) An B vi) AnB = o i) AUB v) AC B iii ...
brainly.in
Using venn diagram, show that AU(A౧B)=A - Brainly.in
brainly.in
M.M. (3) (c) From the given venn diagram, find: (i) AUB (ii) A' (iii) B ...
brainly.in
USE THE GIVEN VENN DIAGRAM TO FIND THE FOLLOWING: find the 1)AUB(A¹). 2 ...
brainly.in
a) A= [1,10) fine, 117 A', À, A' B = (-00, 3) U (-2,2) ; ( = [-2, 11) B ...
brainly.in
If A = {1,2,3,4,5} B = {1, 2,5} C = {3,4,6} D = {3,6} then find i) AUB ...
brainly.in
write A = {2, 4, 6, 8) B={1,2,3,4,5} find AUB, AnB and A-B using Venn ...
brainly.in
a={1.2,3,4,5},b={3,4,5,6} prove that n(AUB)=n(A)+n(B)-n(AnB) - Brainly.in
brainly.in
List Of The Radar Systems Used By Indian Armed Forces
adda247.com
Check Your Understanding Class Work A. Given U - {x|x is a digit in the ...
brainly.in
P(A)= 1/4 , P(B)= 1/2, P(AUB)= 5/8 then p(AB) is equal to? - CBSE Class ...
ask.learncbse.in
OM-1 Mark II – Camara fotografía de naturaleza | OM SYSTEM
explore.omsystem.com
Amazon.in: Buy Power System- II for GTU 18 Course (V - Electrical ...
amazon.in
Plz reply fast; evaluate P(AUB) if; 2P(A)=P(B)=5/13 AND P(A/B)=2/5 ...
brainly.in
If A = {2, 3, 5, 7, 8}, B = {1, 5,9} and A' = {1, 4, 6, 9} verify that ...
brainly.in
Control Systems : Kumar A A: Amazon.in: Fashion
amazon.in
List Of The Radar Systems Used By Indian Armed Forces
adda247.com
Digital Services for Business and Institutions | T-Systems
t-systems.com
Verify AU(BnC)=(AUB)n(AUC) using Venn diagrams - Brainly.in
brainly.in
[Expert Verified] If given p(a) = 1/4, p(b)=1/3 and p(aub)= 1/2. value ...
brainly.in
Fill in the blanks If n(A)=7,n(B)=13,n(AΠB) =4 then n (AUB) =? solution ...
brainly.in
Organ Systems Poster Bundle
twinkl.co.in
If A=(-7,3], B= [ 2,6] and c= [ 4,9] then find 1. AUB 2.A-B - Brainly.in
brainly.in
Given A ={1,2,3,4,5,6,7,8,9} and B = {2,4,6,8}, what is AUB - Brainly.in
brainly.in
From the following Venn diagram,write the elements of sets A and B. And ...
brainly.in
Hypermenorrhö: Ausführliche Diagnostik ist essenziell - Gynäkologie ...
universimed.com
ER Diagram for E-Learning Management System for You
edrawmax.wondershare.com
Express each of the following by means of Venn Diagrams (i) (AUB)∩C (ii ...
brainly.in
Managing Disruptions in a Flow-Shop Manufacturing System
mdpi.com
If n (A) = 20, n (B) = 28 and n (AUB) =36 then n(ANB) = ? * - Brainly.in
brainly.in
4.IfA= (1,2,3,4), B=(3,4,5,6), C = (5.6.7.8) and D = (7,8,9,10): find(i ...
brainly.in
Who is at risk?
en.vikaspedia.in
AUB'=A'nB' USING VENN DIAGRAM - Brainly.in
brainly.in
Draw Venn diagrams for the following sets : (i)A∩(BUC)′ (ii) (AUBUC ...
brainly.in
Wagon R Car Music System - Wagon R Android Stereo | Woodman
hiwoodman.com
A=(0,1,2,3,4) B=(2,4,6,8) then find (AuB) - Brainly.in
brainly.in
Given P(A) = 1/4, P(B)=1/3 and P(AUB)= 1/2. Value of P(A/B) is - Brainly.in
brainly.in
(AUB'UC)n(AnB'nC')U(AUBUC)'n(B'nC')=B'nC' - Brainly.in
brainly.in
Decode- Power System-II for JNTU-H 18 Course (III - I - EEE - EE502PE ...
amazon.in
Venn Diagram for (AUB)'UC - Brainly.in
brainly.in
If n(AUB) = 8, n(A) = 6, n(B) = 4,then find n(A n B). - Brainly.in
brainly.in
Let A and B be two sets such that n (A) = 24, natN(AUB) = 46 and n ...
brainly.in
If A={0,1/2,1/3},B=[0,1].then find (AUB),(A intersection B)and(A-B ...
brainly.in
Verify AU(BnC)=(AUB)n(AUC) using Venn diagrams - Brainly.in
brainly.in
A and B are two sets such that n(A-B)=14+x , n(B-A) = 3x and n(A∩B) = x ...
brainly.in
POWER SYSTEMS - ELECTRICAL ENGINEERING: QUICK REVISION HANDWRITTEN ...
amazon.in
If P(A)=1/4,P(B)=2/5and P(AUB)=1/2then find.P(ANB),P(ANB,),P(AUB'),P(A ...
brainly.in
Verify AU(BnC)=(AUB)n(AUC) using Venn diagrams - Brainly.in
brainly.in
Entropy | Special Issue : Entropies, Information Geometry and ...
mdpi.com
If n(A)=20, n(B)=30 and n(AUB)=45, then find n(AnB) - Brainly.in
brainly.in
If n (S) = 70, n (A(c)ΠB) = 30 n (A) = 30 then find (i) n (AUB) (ii) n ...
brainly.in
Amazon.in: Buy Genius SW-G2.1 1250 2.1 Speaker System Online at Low ...
amazon.in
Recommended Tools for 15 Measurements in Solar Installation and ...
hioki.com
Buy Thinking in Systems: International Bestseller Book Online at Low ...
amazon.in
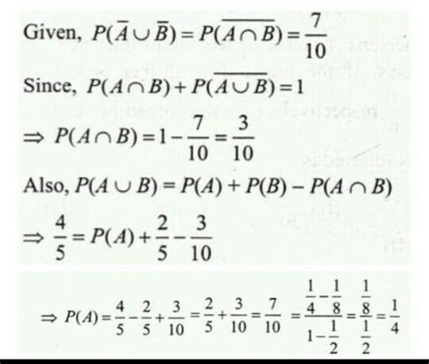
If A and B are events of a random experiment such that P(AUB) = 4/5 , P ...
brainly.in
Planets of the Solar System Fact Cards | Planet Notes
twinkl.co.in
Buy Power Probe OBD-II Breakout Box PPECB, CAN Bus Circuit r with 12V ...
desertcart.in
Polynomials - Class 10 Chapter 2 Short Notes (Mind Maps)
esaral.com
Buy Building Construction: Principles, Materials, & Systems Book Online ...
amazon.in
Drainage System - Geography for UPSC CSE PDF Download
edurev.in
Assignment Power System II 2022-2023 - Power Systems-II (BEE-C 611 ...
studocu.com
ER Diagram for E-Learning Management System for You
edrawmax.wondershare.com
Center of mass | center of mass of two particle system | conservation ...
raiedu.in
Deep Learning-Based Leaf Disease Detection in Crops Using Images for ...
mdpi.com
A Self-Powered FBRJT AC-DC Conversion Circuit for Piezoelectric Energy ...
mdpi.com
Organ Function Matching Cards
twinkl.co.in
36. (ix) 2x + 3y = 7 2ax + ay = 28 - byfind the values of a and b for ...
brainly.in
. If A = {x/xEW, x
brainly.in
If n(U) = 25, n(A) = 15, n(A∩B) = 6 and n(AUB) = 8, then find i) n(B ...
brainly.in
Pressurized Water & Heavy Water Reactors (PWR & PHWR) | Pall Corporation
pall.co.in
Fundamentals of Database Systems : Elmasri, Ramez, Navathe, Shamkant B ...
amazon.in
Let U= {1,2,3,4,5,6,7,8,9}, A= {1,2,3,4}, B= {2,4,6,8}, c= {2,3,7 ...
brainly.in
Solar System Planets, Definition, Diagram, Names, Facts
studyiq.com
APS-5 partners with 3-43 ADA for Patriot Missile System test | Article ...
army.mil
Buy Working Model of Human Respiratory System, Regular Size, Multi ...
amazon.in
N(U) = 70 n(A) = 58 n(B) = 32 n(AUB)’ = 6. Find :- a) n(A∩B) b) n(A – B ...
brainly.in
SVS LIfe Saftey
svslifesafety.co.in
find AUB,AnB,A-B,B-A ofA={2,6,10,14} and B={2,5,14,16} - Brainly.in
brainly.in
if n(u)=50,n(A)=30,n(AnB)=12and n(AuB)'=15 find 1.n(B) 2.n(B-A ...
brainly.in
Klipsch ProMedia 2.1 THX Certified Computer Speaker System (Black ...
desertcart.in
ER Diagram for University Management
edrawmax.wondershare.com
Bose® Wave® BLUETOOTH® Music Adapter
boseapac.com
10 plantillas de diagramas ER para agilizar los sistemas de gestión ...
edrawsoft.com
If A=(1,2,3) B=(4,5,6) C=(7,8,9) verify that AU(BnC)=(AUB)n(AUC ...
brainly.in
Street Triple 765 R Model | For the Ride
triumphmotorcycles.in
Fill in the blanks If n(A)=7,n(B)=13,n(AΠB) =4 then n (AUB) =? solution ...
brainly.in
CBA - Chemical Bond Approach Project, Chemical Systems : Bereit, Arnold ...
amazon.in
What is light harvesting complex? What are the different types of photo ...
brainly.in
Uttrakhand Excise Management System
uttrakhandexcise.org.in
MASCOM Lift and Talk 2 Line Intercom System - 2 Line Intercom Extension ...
amazon.in
Pilot V7 Hi-Tecpoint Cartridge System Rollerball Pen Medium Point ...
amazon.in
A U (B U C) =(A U B) U C Prove Thst - Brainly.in
brainly.in
A Self-Powered FBRJT AC-DC Conversion Circuit for Piezoelectric Energy ...
mdpi.com
From the given Venn diagram , verify n(AUB) + n(AUB) = n( A) + n(B ...
brainly.in
Given P(A) = 0.4, P(B) = 0.5 andP(AUB)=0.9,then: * - Brainly.in
brainly.in
Bosniak classification system of renal cystic masses
openmed.co.in
Intel Core i5-10310U - Specs, Benchmark Tests, Comparisons, and Laptop ...
laptopmedia.com
Courtyard as cold island
downtoearth.org.in
For any sets a and b , prove that : p(a) u p(b) is subset p(aub ...
brainly.in
SIGNALS AND SYSTEMS, 2ND EDN : Oppenheim/Willsky/Hamid: Amazon.in: Books
amazon.in
ER Diagram for University Management
edrawmax.wondershare.com
Related Searches
Normal INR
PT/INR Test
INR Ratio
INR Blood Test
INR Scale
INR Range
INR Levels
What Is INR
Blood INR Chart
Therapeutic INR
Printable INR Chart
فحص INR
INR Form
INR Goals
INR Pathway
INR Sample
INR Calculator
INR 2-Unit
INR Dosing
INR vs Isi
INR Units
Coumadin INR Dosing Chart
Self INR
Prolonged INR
Reporting INR
Warfarin Inr Goals
INR Meaning Medical
INR Full Form
INR Numbers
Warfarin INR. Check
INR Calculation
INR Equation
Af INR Target
Warfarin Inr Guidelines
High INR Treatment
INR Quick
INR Correction
Inratio 2
Warfarin 1Mg Tablets
INR Vaules
INR Blood Clot
Normal INR Neonate
Thromboplastine
INR Adjust
INR Holiday PDF
INR Calculation Formula
INR Out of Range
International Normalized Ratio INR
INR Testing Frequency
INR Ro MYR
Search
×
Search
Loading...
No suggestions found