Find Your Style
Women
Men
Accessories
Search for clothing, brands, styles...
×
Women
Men
Accessories
Axo Sun Path Vector
Search
Loading...
No suggestions found
Indian M&E sector crossed INR 2.3 trillion in 2023, expected to reach ...
ey.com
Step by step guide to deposit INR with UTR Referencing Number
help.suncrypto.in
GRASS Live Price Chart, GRASS to INR live price and Market cap
suncrypto.in
SUPRA Token Live Price Chart, SUPRA to INR live price and Market cap
suncrypto.in
Bharti Enterprises Sells ICICI Lombard Shares for INR 663 Crore ...
goodreturns.in
(Call: 9820417230) | PT INR in Dombivli - Eureka Pathology Laboratory
eurekapathlab.com
Bitgert price today, BRISE to INR live price, marketcap and chart ...
suncrypto.in
Pi Coin Price Today, Pi Coin to INR live price, marketcap and chart
suncrypto.in
SC 340 Sun-Max Note Counting Machines and New INR Detections : Amazon ...
amazon.in
Understanding the Centre of Gravity: Key Concepts and Applications
allen.in
Grating Lobes in Higher-Order Correlation Functions of Arrays of ...
mdpi.com
In illustrations: Here’s how we can design homes to stay cool in India ...
scroll.in
Potential due to Point Charge
eee.poriyaan.in
Potential due to Point Charge
eee.poriyaan.in
Passive Design Strategies for Composite Climate
novatr.com
3 Kinematics
archive.nptel.ac.in
What is tha radial and transverse acceleration? - Brainly.in
brainly.in
3) Path Vector Routing - In distance vector routing each node will say ...
cse.iitb.ac.in
3 Kinematics
archive.nptel.ac.in
Distance Formula, Displacement & Position Vector | AESL
aakash.ac.in
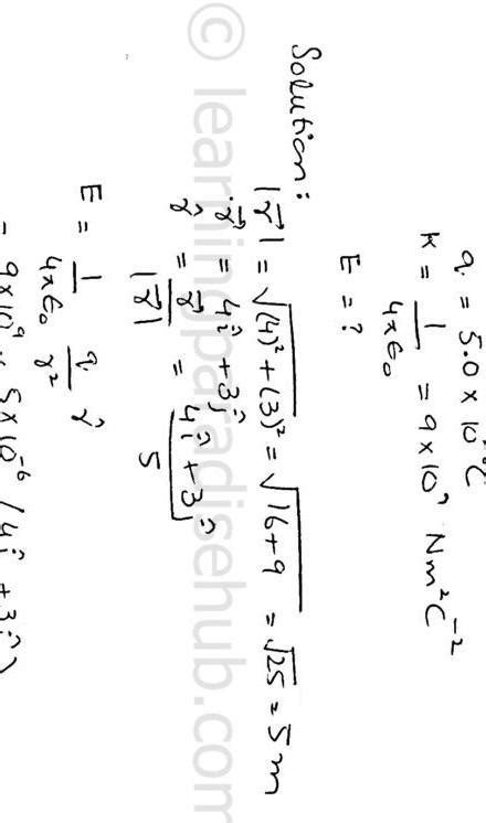
15Electric field strength at position vector r= (4i+ 3j) m caused by ...
brainly.in
The position vector ⃗r of a particle P located in an x-y plane is shown ...
brainly.in
Solving Equations of Motion for Systems of Particles with MATLAB (Part ...
edurev.in
Electrical potential in an electric field is given by V = K/r (K being ...
brainly.in
Distance Formula, Displacement & Position Vector | AESL
aakash.ac.in
Circular Motion - Definition, Formula and Examples - JEE PDF Download
edurev.in
Sunrays Vectors - Download Free High-Quality Vectors from Freepik | Freepik
freepik.com
Sun vector illustration | Premium Vector
freepik.com
A=2i+3j+7k and B= i + 2j - mk are orthogonal vectors find m? - Brainly.in
brainly.in
(a) Position Vector in Two Dimensional Plane - fiziks Institute for NET ...
studocu.com
Physics Class 12 System of Particles and Rotational Motion - Check ...
collegedekho.com
Motion in Two Dimensions in Polar Coordinates - Mechanics and General ...
edurev.in
Two particles having position vectors vec r 1=(3 hat i +5 hat j ) m and ...
tardigrade.in
Position Vector in Two Dimensional Plane - r r r r ˆ ˆ j r ˆ i ˆ r → ˆ ...
studocu.com
The position vector of a particle R vector is as a function of time t ...
brainly.in
The position vector ⃗r of a particle P located in an x-y plane is shown ...
brainly.in
The position vector ⃗r of a particle P located in an x-y plane is shown ...
brainly.in
(i) State Biot-Savart law in vector form expressing the magnetic field ...
ask.learncbse.in
Parker Gift Set | Vector Matte Black Gold Trim Roller Ball Pen Grey ...
amazon.in
The position vector →r of a particle of mass m is given by the ...
brainly.in
பயிற்சி 8.1: நிலை வெக்டர்கள் (Position vectors) - புத்தக கணக்குகளுக்கான ...
brainkart.in
5. The resultant of the three coplanar vectors a, band c is a Zero ...
brainly.in
If are the position vectors of the vertices of a triangle, then write ...
philoid.in
Important Questions of Gravitation Class 11 Physics: Fully Solved
esaral.com
Important Questions of Gravitation Class 11 Physics: Fully Solved
esaral.com
findfind the vector perpendicular to plane of a=2î - 2j^+k^ and b= i ...
brainly.in
The position vectors of the vertices P, Q and R of triangle PQR are -î ...
brainly.in
Axo Logo Maker Afbeeldingen - Gratis downloaden op Freepik
nl.freepik.com
Indian economic growth Images - Free Download on Freepik
freepik.com
Solving Equations of Motion for Systems of Particles with MATLAB (Part ...
edurev.in
What is the linear velocity, if angular velocity vector w = 3î-j+k and ...
brainly.in
The position vector →r of a particle of mass m is given by the ...
brainly.in
Sun Pharma Roars Back To Growth Path After Sluggish Growth.
businesstoday.in
29. Ifmoment of a force F passing through a point with position vector ...
brainly.in
Block of mass 'm' is lowered from natural length position of spring ...
brainly.in
Circular Motion - a 2 a 2 r ñ v a a a a v ñ ø ù (c) Circular Motion For ...
studocu.com
(i) State Biot-Savart law in vector form expressing the magnetic field ...
ask.learncbse.in
what is position vector ?A vector which gives the position of a ...
brainly.in
MoonSwatch Collection: Omega and Swatch's first-ever collab is sick!
lifestyleasia.com
Write the position vector of the point which divides the join of ...
brainly.in
Two particles having position vectors vecr1=(3 hati+5 hatj) m and vecr2 ...
tardigrade.in
Torque: Meaning, Formula, Directions & Applications | AESL
aakash.ac.in
SunCrypto - Cryptocurrency exchange india
suncrypto.in
Buy Capri Sun | Fruit Punch, Strawberry Kiwi & Pacific Cooler Variety ...
ubuy.co.in
Motion in Two Dimensions in Polar Coordinates - Mechanics and General ...
edurev.in
Bharti AXA General Insurance launches 'Krishi Sakha' App for farmers
currentaffairs.adda247.com
Torque: Meaning, Formula, Directions & Applications | AESL
aakash.ac.in
Gauss Law or Gauss Theorem : Solid Angle and Electric Flux|Chemistry Page
chemistrypage.in
Write the position vector 3a-2b and a+b divides 2:1 externally - Brainly.in
brainly.in
Practice-paper-mechanics - Questions Q1. The position vector, r metres ...
studocu.com
The position vector →r of a particle of mass m is given by the ...
brainly.in
In an electric filed, potential at a point with position vector r is ...
brainly.in
The orbital angular momentum of an electron in 25 orbital is : - Brainly.in
brainly.in
What is state of motion options (a) position of rest (b) position of ...
brainly.in
Buy FORD RAPTOR Svg Raptor Logo Raptor Png Download Logo Vector Emblem ...
etsy.com
Draw a diagram showing the refraction of light rays traveling from ...
brainly.in
Top 12 Architecture Portfolios Examples 2025
novatr.com
Image not loaded
math.animations.fossee.in
Two particles A and B, move with constant-velocities V1 and V2. At the ...
brainly.in
A non-conducting sphere of radius R is filled with uniform volume ...
tardigrade.in
22.In vector diagram shown in figure where (R) is theresultant of ...
brainly.in
The force, F vector =(2i + 3j - 4k) N and position vector, r vector ...
brainly.in
answer the question - Brainly.in
brainly.in
find the position vectors of the point M and n which trisect the line ...
brainly.in
IF A =√2i^ +√2j^ and and B = i^ + j^, the vector parallel to A and ...
brainly.in
Non-Declaration Of “Revital Contest Results” Amounts To Unfair Trade ...
livelaw.in
Axo Bar & Kitchen, Andheri Lokhandwala, Andheri West, Mumbai | Zomato
zomato.com
A non-conducting sphere of radius R is filled with uniform volume ...
tardigrade.in
A ponit P is moving in uniform circular motion with radius 3 m. Let at ...
tardigrade.in
Two bodies of mass 2g and 10g have position vectors 3i + 2j + 2u and 3i ...
ask.learncbse.in
derive expression for electric field intensity due to an electric ...
brainly.in
AXA XL expands Casualty Risk Consulting Team with Fleet Management ...
aninews.in
Convert the vector r vector = 3 i cap +2 j cap into a unit vector ...
brainly.in
Everything You Should Know About Isometric Drawings 2026
novatr.com
Three 50Ω resistors are connected in STAR across 400V, 3 phase supply ...
brainly.in
Directions in Crystal
ece.poriyaan.in
Axa Erstattungsantrag Formular - Online ausfüllen, ausdrucken ...
pdffiller.com
A , B, C and D, are four points in a plane with position vectors a,b, c ...
tardigrade.in
Garnier Super UV Invisible Serum Sunscreen SPF 50 PA++++ UVA/B for ...
amazon.in
please give observation and inference - Brainly.in
brainly.in
AXA Logo - Pngsource
pngsource.in
A photon whose energy equals the rest energy of the electron undergoes ...
brainly.in
Position of a particle in a rectangular-co-ordinate system is (3, 2, 5 ...
brainly.in
049 Seven horses with rising sun real vastu prosperity Best of21
crafttrip.in
(1) The p-V indicator diagram for a gas undergoing a cyclic process is ...
brainly.in
The temperature gradient of a rod 0.5m long is 80c. - Brainly.in
brainly.in
The extent of bending of light when it enters from medium to another ...
brainly.in
Types of Winds, Planetary, Trade, Periodic, Westerlies & Diagrams
studyiq.com
The position vectors of three particles ofmasses m1 = 1kg, m2 = 2kg and ...
brainly.in
Theory & Procedure, Parallelogram Law of Vectors Class 11 Notes | EduRev
edurev.in
SUN HOTEL & RESORT (Abu Road) - Hotel Reviews, Photos, Rate Comparison ...
tripadvisor.in
A ball is thrown horizontally with a velocity of 5 m/sec from the top ...
brainly.in
Buy Schaum's Outline of Vector Analysis, 2ed: Your Complete ...
amazon.in
What is the half life of a radioactive substance if it has a count rate ...
brainly.in
Ordershock Classroom Rules Sign Board Sun Board For School, Colleges ...
flipkart.com
A body moving with a velocity of 10 m/s. If it starts accelerating with ...
brainly.in
Answer this question kfkrfx - Brainly.in
brainly.in
when bohr's quantisation condition for the angular momentum of an ...
brainly.in
example of vt graph - Brainly.in
brainly.in
Related Searches
Sun Path Template
Axo Sun Path Diagram
Sun Path Arrow Free Vector
Sun Path Design
Sun Path Arrow Symbol
Sun Path Drawing
Sun Path Vector Art
Sun Path Clip Art
Sun Path Cartoon
Sun Path Overlay
Sun Path Logo
Vektor Sun Path
Sun Path Shape Vector
Technical Sun Path Vector
Sun Path Map
Sun Path Vector Graphics
Sun Path Illustration
Sun Path Arrow Icon
Sun Path Symbol Sticker
Sun Path No Background
Sun Path Vector Architecture
Sun Path Floor Plan
3D Sun Path
Architectural Sun Path
Sun Path Jpg
Sun Path Direction
Sun Path Clip Art Architecture
Sun Path Sketches
Hand Drawn Sun Path
Sun Path Animation
Sun Path Vector File
Un Studio Sun Path Axo Diagram
Sun Path Symbol Silhouette
Sun Path SVG
Sun Path Vector JPEG-image
Sun Path Southern
Axonometric Sun Path
Sun Path Revit
Sun Path Northern Hemisphere
Sun Path Labelled
Blank Sun Path
Melbourne Sun Path Diagram Axo
Sun Path Vector HD
Sun Path Without Background
Sun Path Chart Template
Sunlight Path Vector
Axo Sun Arch
Sun Path PNG
Wavy Path Vector
Sun Path Symbol Architecture Pinterest
Search
×
Search
Loading...
No suggestions found