Find Your Style
Women
Men
Accessories
Search for clothing, brands, styles...
×
Women
Men
Accessories
Baye Baye Recipe
Search
Loading...
No suggestions found
Two to Tango: Indian Recipes under INR 99 : Spice Tales, Budget Feasts ...
amazon.in
Owners Of Roadside Eateries In Mumbai Declare INR 50 Crore Under Black ...
indiatimes.com
L&T Crescent Bay [Parel] 2BHK INR 1,05,000 S/furnished + 2Carpark ...
estateoption.com
Space Creattors Heights Good Earth Business Bay at INR 400/day ...
myhq.in
Space Creattors Heights Good Earth Business Bay at INR 400/day ...
myhq.in
Buy VEDAS Metal Bay Leaf Wall Accent from Vedas at just INR 1799.0
homecentre.in
WeWork Cinnabar Hills, EGL at INR 600/day - Coworking Space for a Day ...
myhq.in
Kerala Cuisine: Famous Food and Dishes
traveltriangle.com
40 Indian Snacks You Must Try to Feel Like a Local In 2025
traveltriangle.com
| Instant Pot India
instanthome.in
Art of Travel - From our Food Guide
sita.in
12 breakfast places at Hyderabad to give a kick start in the morning
mistay.in
8 Best Places for Authentic Bengali Thali in Kolkata
mistay.in
Pista House | LBB
lbb.in
Jackfruit recipe in hindi by aju - Indian Recipes 4 you
indian-recipes-4you.com
LE PETIT CHÂTEAU (Baye) - Hotel Reviews, Photos, Rate Comparison ...
tripadvisor.in
Buy Managerial Economics and Business Strategy Book Online at Low ...
amazon.in
Optimal Cooking: Perfecting The Time To Boil Crab Legs
gotango.iservice.co.in
8 Famous Restaurants In Murudeshwar For Foodies Holidaying In Uttar Kannada
traveltriangle.com
Recipe carrot Pickle
mymahanagar.com
8 Best Places for Authentic Bengali Thali in Kolkata
mistay.in
Baye's Theorem
ece.poriyaan.in
5 Healthy Oats Recipes – Sumeet Cookware
sumeetcookware.in
35 Things To Do In Jodhpur That You Should Not Miss Out On In 2023!
traveltriangle.com
Watch Sarang and Mukta Talk about Their Show | Behind The Scenes | Daar ...
zee5.com
Malabari Biryani, Mutton Stew & More: This Restaurant Has Got All Your ...
lbb.in
Check Out The Classic Bengali Video Song 'Megh-Chhaye Sajal Baye Mon ...
timesofindia.indiatimes.com
LE PETIT CHÂTEAU (Baye) - Hotel Reviews, Photos, Rate Comparison ...
tripadvisor.in
13 Restaurants In Rishikesh That Everyone Should Definitely Visit
traveltriangle.com
Watch Daar Ughad Baye TV Serial 18th August 2023 Full Episode 298 ...
zee5.com
दांया और बांया हाथ कौनसा होता है? चित्र सहित | Baya Hath & Daya Hath
thesimplehelp.com
Ayca | LBB
lbb.in
Daar Ughad Baye TV Serial - Watch Daar Ughad Baye Online All Episodes ...
zee5.com
80s simpson parody "we bay bay kids" sweat 小岩店 | What’z up
whatzup.thebase.in
Watch Marathi Drama TV Shows Online on ZEE5
zee5.com
Memorable 6 Days Port Blair, North Bay Island with Havelock Island Trip ...
hellotravel.com
Baye's Theorem
ece.poriyaan.in
LE PETIT CHÂTEAU (Baye) - Hotel Reviews, Photos, Rate Comparison ...
tripadvisor.in
Buy Englisi Farsi Persian Books The Persian Alphabet Alef Báye Fársí ...
desertcart.in
Backwater Front Premium Resorts in Alappuzha, Places to Stay in Alleppey
lakecanopy.com
DOMAINE DE GRAND BAIE (Mauritius) - Hotel Reviews, Photos, Rate ...
tripadvisor.in
Tour Package for 2 Days 1 Night from Halong Bay | Halong Bay Trip ...
hellotravel.com
Free agents | Transfermarkt
transfermarkt.co.in
Buy VEDAS Metal and Wood Bay Leaf Framed Wall Art from Vedas at just ...
homecentre.in
Buy Mgrl Econ & Bus Strat (Irwin Series in Economics) Book Online at ...
amazon.in
Pleasurable 5 Days Universal Studio Trip Package | universal studio ...
hellotravel.com
Food of Maharashtra in 3 International recipes | 2022 - Aazol: Home ...
aazol.in
Order Chapati Meals From Rotti Walla | LBB, Bangalore
lbb.in
Free Invoice Format | Download and Send Invoices Easily - Wise
wise.com
Mahek’s Atelier | LBB
lbb.in
Beautiful 2 Days Andaman and Ross Island North Bay Island Vacation ...
hellotravel.com
10 Best Restaurants Near Gardens By The Bay For Your 2025 Vacay
traveltriangle.com
Grab Affordable Breakfast At Pizza By The Bay | LBB, Mumbai
lbb.in
Authentic Sindhi Food Home Delivery In Lokhandwala | LBB, Mumbai
lbb.in
Baye Jet Nozzle 1 L Hose-end Sprayer Price in India - Buy Baye Jet ...
flipkart.com
Try Gulab Jamun Kulfi At Matunga's Dairy Don I LBB, Mumbai
lbb.in
10 Restaurants In Port Elizabeth For A Fine Dining Experience
traveltriangle.com
Top 11 Indian Restaurants In Munich Every Indian Must Visit
traveltriangle.com
8 Restaurants In Yercaud That Will Satisfy Your Palate In 2025
traveltriangle.com
Best 6 Days 5 Nights Port Blair, Havelock Island, North Bay And Ross ...
hellotravel.com
Kids, Attend A Fire-less Cookery Workshop I LBB, Mumbai
lbb.in
Gardens by the Bay - Singapore: Get the Detail of Gardens by the Bay on ...
timesofindia.indiatimes.com
TVH Ouranya Bay | Chennai properties | JLL Homes
jllhomes.co.in
Young Boys 3-2 Neuchatel Xamax (5 Apr, 2009) Final Score - ESPN (IN)
espn.in
List of Top 6 Largest Bays in the World
jagranjosh.com
Green Bay Packers NFL Roster - ESPN (IN)
espn.in
7 Days 6 Nights Port Blair to Neil Tour Package | Port Blair, Neil ...
hellotravel.com
Sattviko | LBB
lbb.in
Top 11 Indian Restaurants In Munich Every Indian Must Visit
traveltriangle.com
Visit These Best Bakeries In Pune | LBB, Pune
lbb.in
Riverbay Resort - Jollyday Tours
jollydaytours.com
Veganer Obazda · Eat this!
eat-this.org
SEDEMAC: The recipe for a smart auto-tech startup: an IIT professor ...
economictimes.indiatimes.com
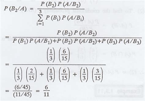
Total Probability and Baye's theorem
campusgate.in
Top 11 Indian Restaurants In Munich Every Indian Must Visit
traveltriangle.com
Biscuit Recipe Cards | Biscuit Recipe Activity | Twinkl
twinkl.co.in
Total Probability and Baye's theorem
campusgate.in
KiSS 100.5 North Bay listen live | North Bay 100.5 FM CHUR-FM
liveradioca.com
Manna - Natural Millet Based Health Foods | Buy Online – Manna Foods
mannafoods.in
Ecstatic 8 Days 7 Nights Kolkata, Port Blair with North Bay Island Trip ...
hellotravel.com
Heart-warming North Bay Island Tour Package for 8 Days 7 Nights ...
hellotravel.com
Lan Ha Bay, Ha Long Bay Overnight Cruise Tour by Doris Cruise - Klook India
klook.com
Order Modaks Online For Ganesh Chaturthi | LBB, Mumbai
lbb.in
13 Restaurants In Rishikesh That Everyone Should Definitely Visit
traveltriangle.com
Book Budget Luxury Holiday Packages in Andaman & Nicobar | TSG Hotels ...
tsgresorts.in
Easy Biscuit Recipe for Kids | Recipe Sheets (teacher made)
twinkl.co.in
Get Mini Fennal Candy 400 gms at ₹ 299 | LBB Shop
lbb.in
4 Days Hanoi and Halong Bay Trip Package | hanoi, halong bay Trip ...
hellotravel.com
Heart-warming 7 Days Havelock Island Holiday Package | Port Blair ...
hellotravel.com
Pleasurable 6 Days 5 Nights Port Blair, Havelock Island, Ross Island ...
hellotravel.com
Best 6 Days Delhi to Havelock Island Tour Package | port blair, north ...
hellotravel.com
Maithili Emerald Bay in Nerul by Maithili Group | Property Megamart
propertymegamart.in
Best 4 Days 3 Nights Port Blair, Enjoy Ross, North Bay Island with ...
hellotravel.com
Marina Bay Sands Expansion: Key Details Of The Ultra-Luxury Project
travelandleisureasia.com
Ecstatic 7 Days 6 Nights Port Blair, Havelock Island, Neil Island, Ross ...
hellotravel.com
Acti Security Surveillance 16-Channel 1-Bay S INR-100 | Zoro
zoro.com
12 Restaurants In Gangtok For A True Sikkimese Dining Experience
traveltriangle.com
Maya Bay Thailand: Your Complete Guide To The Surreal Spot
traveltriangle.com
Magens Bay Tourism (2024): All You Need to Know Before You Go
tripadvisor.in
20 Best Breweries In Gurgaon To Enjoy The Vibrant Nightlife
traveltriangle.com
Best port Blair Tour Package for 7 Days 6 Nights | port Blair, Havelock ...
hellotravel.com
Memorable Havelock Island Tour Package from Delhi | port blair, north ...
hellotravel.com
Family Getaway 8 Days Kolkata, Port Blair with North Bay Island Holiday ...
hellotravel.com
Memorable 8 Days 7 Nights Hochiminhcity Trip Package | hanoi, halong ...
hellotravel.com
Amazing 7 Days 6 Nights Singapore, Garden By The Bay, Marina Bay Sand ...
hellotravel.com
Buy ICY DOCK 6 Bay 2.5” SATA HDD / SSD Hot Swap Cage for External 5.25 ...
ubuy.co.in
Pune, Business Bay
matchoffice.in
How To Craft Smithing Templates In Minecraft 1.20
gurugamer.com
Top 14 Restaurants In Jammu Serving The Best Food In 2025
traveltriangle.com
Top 13 Beach Resorts In Port Blair, Andaman In 2025
traveltriangle.com
10 Best Taiwanese Restaurants: Know Why Foodies This City!
traveltriangle.com
Best Things to Do Near Me - Tripadvisor
tripadvisor.in
Now You Can Shop Using Indian Rupee At Dubai International Airport Duty ...
indiatimes.com
Portland, Maine Chef's Table: Extraordinary Recipes From Casco Bay ...
amazon.in
Ecstatic North Bay Island Tour Package for 6 Days 5 Nights | Port Blair ...
hellotravel.com
14 Best Beach Restaurants In Chennai For Scenic Dinner Dates
traveltriangle.com
Total Probability and Baye's theorem
campusgate.in
La Cabana Beach & Spa | Wedding Venues in Goa
e-vents.in
25 Best Restaurants In Jaipur In 2025 To Try Its Royal Cuisine!
traveltriangle.com
Best Seafood Restaurants In Pune | LBB Pune
lbb.in
Related Searches
Baye Baye Food
Baye Baye Iloilo
Baye Baye Delicacy
Baye Baye in Bayawan
Patotin Recipe
Baye Baye Kakanin
Making Baye Baye
Baye Baye Dumaguete
Baye Baye Ingredients
Kalamay Hati Recipe
How to Make Baye Baye
Bucaio
Filipino Coconut Dessert
Pinoy Kakanin
Filipino Dessert Recipes
Baye Baye Delicacies
Baye Light
Baye Baye Guimaras
Baye Plastic
Baye Baye Negros
Baybaye Food
Baye Berie
Baye Baye SA Bayawan
Bay Baye Espasol
Pinoy Sncak Food Baye Baye
Baye Babye Bayawan
Bacolod Delicacies
Maja Kalabasa Recipe
Iloilo Delicacies Pasalubong
Bong Bong Baye Baye
Baye Clan Jimmy
Filipino Kutsinta Dessert Recipes
Pata Tim Recipes
Baye Blanche
Baye Fall Cooking
Bisaya Kakanin Recipe
Healthy Filipino Desserts
Baye Baye Drawing in the Tupperware
Baye Baye Puto Tak Tak Food in Bacolod
Durian Boat Tart
Baye Baye Aklan
Palitaw Recipe
Antiquebaye Baye
Iloilo Baye Baye Creative Shot
Baye Niass
Espasol
Batchoy Recipe
Bisaya Food
Baye Baye Bayawan
List Recipe of Baye Baye
Search
×
Search
Loading...
No suggestions found