Find Your Style
Women
Men
Accessories
Search for clothing, brands, styles...
×
Women
Men
Accessories
Bernoulli F Rmula
Search
Loading...
No suggestions found
INR Frequently Asked Questions | RCS
remotecardiacservices.com
ValueQuest Enters PE Segment With INR 1,000 Cr Fund
businessoutreach.in
INR Calculator Guide: PT/ISI Formula, Ranges & Tips
bilalmd.com
Philips Remote Inr Order Form - Fill Online, Printable, Fillable, Blank ...
pdffiller.com
Best Women Watches Under INR 15K | LBB
lbb.in
Ugro Capital Crosses Inr 10000 crore aum milestone launches 10k ...
psuconnect.in
WPL: Mandhana, Sciver-Brunt, Gardner retained for INR 3.5 crore ...
espn.in
Bernoulli’s Principle: Derivation, Applications and Solved Questions
allen.in
Bernoulli's Theorem- Statement, Equation, Derivation, Applications
adda247.com
Bernoulli's Theorem- Statement, Equation, Derivation, Applications
adda247.com
state and prove Bernoulli's equation - Brainly.in
brainly.in
Bernoulli's Equation - Derivation - Assumptions - Bernoulli's theorem ...
edurev.in
1 million dong in indian rupees - Brainly.in
brainly.in
Understanding Bernoulli's Equation Video Lecture - Physics for EmSAT ...
edurev.in
Anticoagulation in Acute Pulmonary Embolism: Which Drug? How Long ...
universimed.com
Bernoulli's Equation for Ideal Fluid - Statement, Proof, Formula ...
mech.poriyaan.in
Warfarin: Structure | Mode of Action | Uses | Synthesis
firsthope.co.in
பெர்னோலி சூத்திரம் (Bernoulli's Formula) - தொகை நுண்கணிதத்தின் ...
brainkart.in
பெர்னோலி சூத்திரம் (Bernoulli's Formula) - தொகை நுண்கணிதத்தின் ...
brainkart.in
Bernoulli's Equation for Ideal Fluid - Statement, Proof, Formula ...
mech.poriyaan.in
பெர்னோலி சூத்திரம் (Bernoulli's Formula) - தொகை நுண்கணிதத்தின் ...
brainkart.in
Bernoulli's Equation for Ideal Fluid - Statement, Proof, Formula ...
mech.poriyaan.in
Bernoulli's Equation for Ideal Fluid - Statement, Proof, Formula ...
mech.poriyaan.in
IRR - Definitions, Uses, Formulas with Examples
financiallearning.co.in
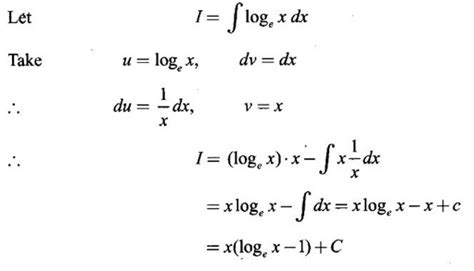
Integration by Parts - Worked Examples, Exercise with Answers ...
mech.poriyaan.in
Bernoulli's Theorem- Statement, Equation, Derivation, Applications
adda247.com
Bernoulli's Equation for Ideal Fluid - Statement, Proof, Formula ...
mech.poriyaan.in
Bernoulli's principle - Bernoulli's equation can be used to approximate ...
studocu.com
Bernoulli's equation derivation from Euler's equation of motion Video ...
edurev.in
Bernoulli's Equation for Ideal Fluid - Statement, Proof, Formula ...
mech.poriyaan.in
Bernoulli's Equation for Ideal Fluid - Statement, Proof, Formula ...
mech.poriyaan.in
Bernoulli's Equation for Ideal Fluid - Statement, Proof, Formula ...
mech.poriyaan.in
Bernoulli's Theorem- Statement, Equation, Derivation, Applications
adda247.com
பெர்னோலி சூத்திரம் (Bernoulli's Formula) - தொகை நுண்கணிதத்தின் ...
brainkart.in
Integration by Parts - Worked Examples, Exercise with Answers ...
mech.poriyaan.in
Bernoulli's Equation for Ideal Fluid - Statement, Proof, Formula ...
mech.poriyaan.in
பெர்னோலி சூத்திரம் (Bernoulli's Formula) - தொகை நுண்கணிதத்தின் ...
brainkart.in
Does it matter if one uses gauge instead of absolute pressures in ...
brainly.in
Bernoulli's Equation for Ideal Fluid - Statement, Proof, Formula ...
mech.poriyaan.in
Bernoulli’s Principle & Bernoulli Equation - Definition, Derivation ...
mygurukulacademy.in
Bernoulli's Theorem- Statement, Equation, Derivation, Applications
adda247.com
Bernoulli's Equation for Ideal Fluid - Statement, Proof, Formula ...
mech.poriyaan.in
Integration by Parts - Worked Examples, Exercise with Answers ...
mech.poriyaan.in
Bernoulli's Equation for Ideal Fluid - Statement, Proof, Formula ...
mech.poriyaan.in
Bernoulli's Equation for Ideal Fluid - Statement, Proof, Formula ...
mech.poriyaan.in
Bernoulli's Equation for Ideal Fluid - Statement, Proof, Formula ...
mech.poriyaan.in
Deduce the dimensional formula for R, using ideal gas equation PV = nRT ...
ask.learncbse.in
Integration by Parts - Worked Examples, Exercise with Answers ...
mech.poriyaan.in
Factor XI/XIa Inhibition: The Arsenal in Development for a New ...
mdpi.com
Integration by Parts - Worked Examples, Exercise with Answers ...
mech.poriyaan.in
Bernoulli's Equation for Ideal Fluid - Statement, Proof, Formula ...
mech.poriyaan.in
FLUID KINEMATICS with Bernoulli's Equation: FUNDAMENTALS AND ...
amazon.in
Warfarin Overview - Active Ingredient - RxReasoner
rxreasoner.com
Full Wave Rectifier all Formulas with Derivation - Mango Engineer
mangoengineer.in
Integration by Parts - Worked Examples, Exercise with Answers ...
mech.poriyaan.in
Bernoulli's Equation for Ideal Fluid - Statement, Proof, Formula ...
mech.poriyaan.in
Integration by Parts - Worked Examples, Exercise with Answers ...
mech.poriyaan.in
FLUIDS - CONTINUITY + BERNOULLI'S EQUATIONS MADE EASY! (Engineering ...
amazon.in
Application Of Bernoulli's Theorem - Physics - Studocu
studocu.com
Bernoulli's Equation for Ideal Fluid - Statement, Proof, Formula ...
mech.poriyaan.in
Integration by Parts - Worked Examples, Exercise with Answers ...
mech.poriyaan.in
How Indian Rupee Stands Against Other Major Currencies
indiatimes.com
பயிற்சி 9.4 : பெர்னோலி சூத்திரம் (Bernoulli's Formula) - கேள்விகளுக்கான ...
brainkart.in
Integration by Parts - Worked Examples, Exercise with Answers ...
mech.poriyaan.in
Integration by Parts - Worked Examples, Exercise with Answers ...
mech.poriyaan.in
if r value is less than 1 then finding the sum of infinite geometric ...
brainly.in
Integration by Parts - Worked Examples, Exercise with Answers ...
mech.poriyaan.in
Integration by Parts - Worked Examples, Exercise with Answers ...
mech.poriyaan.in
Orbital Velocity Formula: Definitions, Examples, Derivations ...
collegesearch.in
Sri Lanka and Russia in talks to use the rupee in foreign trade
currentaffairs.adda247.com
Integration by Parts - Worked Examples, Exercise with Answers ...
mech.poriyaan.in
Bernoulli’s Equation : Problems Solving on Black Board Video Lecture ...
edurev.in
Integration by Parts - Worked Examples, Exercise with Answers ...
mech.poriyaan.in
8 Obat Stroke yang Efektif dan Tersedia di Apotik - Alodokter
alodokter.com
Warfarin Impurity 6 | CAS No- NA | NA
chemicea.com
Skewness kurtosis R - Skewness and Kurtosis. ; ; γ 2 = β 2 − 3 Series ...
studocu.com
Integration by Parts - Worked Examples, Exercise with Answers ...
mech.poriyaan.in
பயிற்சி 9.4 : பெர்னோலி சூத்திரம் (Bernoulli's Formula) - கேள்விகளுக்கான ...
brainkart.in
Buy Qwasdfg Products Online at Best Prices in India | Ubuy
ubuy.co.in
write down the bernoulli formula for intergation - Brainly.in
brainly.in
Acceleration- Formula, Unit, Definition and Meaning
adda247.com
Integration by Parts - Worked Examples, Exercise with Answers ...
mech.poriyaan.in
Bernoulli's Theorem- Statement, Equation, Derivation, Applications
adda247.com
International Trade Settlement in Indian Rupee (INR)
taxguru.in
Integration by Parts - Worked Examples, Exercise with Answers ...
mech.poriyaan.in
Trigonometry Formulas and Identities, All Formula List
careerpower.in
write down the bernoulli formula for intergation - Brainly.in
brainly.in
Daniel Bernoulli Kimdir, Hayatı ve Resimleri
msxlabs.org
Integration by Parts - Worked Examples, Exercise with Answers ...
mech.poriyaan.in
Integration by Parts - Worked Examples, Exercise with Answers ...
mech.poriyaan.in
Transformer Project - SHREE DEVI AHILYA SHISHU VIHAR off 2RC adi BANK ...
studocu.com
Warfarin Sodium | CAS No- 129-06-6 | NA
chemicea.com
Van't hoff factor formula - Brainly.in
brainly.in
Frases de Jakob Bernoulli | Frases de famosos
citas.in
Bernoulli’s Principle & Bernoulli Equation - Definition, Derivation ...
mygurukulacademy.in
பயிற்சி 11.7: பகுதித் தொகையிடலுக்கான பெர்னோலியின் சூத்திரம் - புத்தக ...
brainkart.in
பயிற்சி 11.7: பகுதித் தொகையிடலுக்கான பெர்னோலியின் சூத்திரம் - புத்தக ...
brainkart.in
Integration by Parts - Worked Examples, Exercise with Answers ...
mech.poriyaan.in
GP Formula- Sum of n Terms, Sum of Infinite GP
adda247.com
Integration by Parts - Worked Examples, Exercise with Answers ...
mech.poriyaan.in
Integration by Parts - Worked Examples, Exercise with Answers ...
mech.poriyaan.in
Integration by Parts - Worked Examples, Exercise with Answers ...
mech.poriyaan.in
Integration by Parts - Worked Examples, Exercise with Answers ...
mech.poriyaan.in
பயிற்சி 9.4 : பெர்னோலி சூத்திரம் (Bernoulli's Formula) - கேள்விகளுக்கான ...
brainkart.in
Onderzoek: ESA-Marslander stortte neer door verkeerde inschatting ...
tweakers.net
பயிற்சி 11.7: பகுதித் தொகையிடலுக்கான பெர்னோலியின் சூத்திரம் - புத்தக ...
brainkart.in
Volume of Hemisphere Formula, Definition, Examples
adda247.com
Integration by Parts - Worked Examples, Exercise with Answers ...
mech.poriyaan.in
Gauss Law or Gauss Theorem : Solid Angle and Electric Flux|Chemistry Page
chemistrypage.in
World Currency to Indian Rupee Exchange Rates,Foreign Currency Value in ...
goodreturns.in
chemical formula list of class 9 - Brainly.in
brainly.in
isentropic flow equations betweem pressure and density - Brainly.in
brainly.in
COLLECT to INR: Convert Collect on Fanable to Indian Rupee | Live ...
mexc.co
Buy Wahrscheinlichkeitsrechnung (Ars Conjectandi) Von Jakob Bernoulli ...
amazon.in
Buy Nu Skin Skincare Products Online | Ubuy India
ubuy.co.in
Technocamps Bernoulli's Principle Powerpoint
twinkl.co.in
Indian Rupee against US Dollar since 1947 - Insights
news.faltupana.in
Warfarin: View Uses, Side Effects and Medicines
truemeds.in
பயிற்சி 11.7: பகுதித் தொகையிடலுக்கான பெர்னோலியின் சூத்திரம் - புத்தக ...
brainkart.in
Trigonometry Formula Tricks, Identities, Trigonometric Ratio
sscadda.com
Related Searches
Bernoulli's Principle Formula
Bernoulli's Equation Formula
Bernoulli's Law
Bernoulli Equaton
Full Bernoulli Equation
Bernoulli Equation Calculus
Bernoulli's Principle for Kids
Fluid Dynamics Bernoulli Equation
Bernoulli Effect
Bernoulli Head Equation
Prinsip Bernoulli
Bernoulli Theorem
Bernoulli's Theorem Diagram
Bernoulli Constant
Bernoulli Drive
Bernoulli Equation Fluid Flow
Simplified Bernoulli Equation
Bernoulli's Theorem Derivation
Bernoulli's EQ
Bernoulli Equation Pipe Flow
Daniel Bernoulli Principle
Simple Bernoulli Equation
Modified Bernoulli Equation
Extended Bernoulli Equation
Bernoulli Equation Pump
Bernoulli Continuity Equation
Bernoulli Equation Problems
Bernoulli's Principle Example
Bernoulli's Principle of Flight
Bernoulli Equation Velocity
Bernoulli Equation with Head Loss
Bernoulli Energy Equation
Compressible Bernoulli Equation
Application of Bernoulli Equation
Bernoulli Equation Units
Ecuacion Bernoulli Formula
Bernoulli Convergenator
Bernoulli Lift Equation
Bernoulli Equation Pressure
Bernoulli Eqyuation
Effet Bernoulli
Bernoulli's Theorem Prove
Teorema De Bernoulli
Loi De Bernoulli
Bernoulli Equation Fluid Mechanics
Bernoulli Equation for Fluids
Bernoulli's Eqn
Ecuatia Lui Bernoulli
Bernoulli Equation Echo
What Is Bernoulli Equation
Search
×
Search
Loading...
No suggestions found