Find Your Style
Women
Men
Accessories
Search for clothing, brands, styles...
×
Women
Men
Accessories
Bfp Response To War
Search
Loading...
No suggestions found
India Saves INR 35,000 Crore By Buying Discounted Oil from Russia » Car ...
carblogindia.com
Annabel Sutherland sold to DC for whopping INR 2 crore after tense ...
sportskeeda.com
Gerald Coetzee sold to MI in IPL 2024 auction for INR 5 crore after ...
sportskeeda.com
Delhi to Bhubaneswar Flights, Ticket Price from INR 6,049 | Air India
airindia.com
Currency Converter - Convert USD to INR, INR to EUR | Currency ...
economictimes.indiatimes.com
Kerala’s Caravan Tourism project getting good response; INR 97 L ...
traveltrendstoday.in
Pahalgam Attack To Operation Sindoor, How India Tackled Pakistan-Based ...
thedailyjagran.com
Predicting the Kinetic Coordination of Immune Response Dynamics in SARS ...
mdpi.com
Donald Trump's Tariffs: India May Lose Rs 8.57 Lakh Crore Worth Exports ...
msn.com
Jr NTR Is Touched By Response To War 2 Teaser And Fans’ Wishes On His ...
thedailyjagran.com
Emergency Evacuation Plan Suppliers & Manufacturer - Emergency ...
sdcorporation.co.in
Operation Sindoor Highlights Updates: Explosions heard near Line of ...
economictimes.indiatimes.com
Another Dance-Off In Spy Universe? Alia's Alpha To Follow War 2 Suit ...
msn.com
'The Response To War 2 Teaser Has Been Incredible': Birthday Boy Jr NTR ...
msn.com
Russian attacks kills 2 in Kyiv as diplomatic efforts to end war in ...
dtnext.in
India cuts Russian arms imports but still depends on spare parts, says ...
msn.com
Hrithik Roshan Reacts To Initial Reactions To War 2 Teaser: "It Is Not ...
msn.com
UNHCR launches global campaign to protect refugees | Meer
meer.com
Russia To Help Iran In Attack On Israel? 'Tehran Deploys Moscow's Most ...
timesofindia.indiatimes.com
'Thanks, but no need for third-party help': This country denies ...
india.com
Russia-Ukraine War: Putin orders nuclear drills in response to western ...
msn.com
Multinational NATO CBRN Defense Battalion live-agent exercise concludes ...
army.mil
Individual Behaviour Concept and Mode - Simplynotes
simplynotes.in
Israel-Palestine War: Impact on Global & Indian Stock Market | Wright Blogs
wrightresearch.in
NTR Shares Why His Role In Hrithik Roshan's War 2 Means So Much To Him
msn.com
Iran Army General Warns Netanyahu Over Israel-Hezbollah War Plan ...
timesofindia.indiatimes.com
India's strategic preparedness, response to war in Ukraine under ...
economictimes.indiatimes.com
Contrary responses to the Sri Lankan Civil War
caravanmagazine.in
"You may be thinking the war finished on May 10, NO...": COAS Gen ...
aninews.in
Buy Rupturing Architecture: Spatial Practices of Refuge in Response to ...
amazon.in
US-based Korean activists call for peace after 70 years of war | NewsClick
newsclick.in
Spectrum Summary: First World War and Nationalist Response - History ...
edurev.in
Toh Main England Chala Jaunga': Pak Politian Sher Afzal Khan Marwat's ...
freepressjournal.in
Killed While Leading From The Front, Australian Peter Badcoe Was ...
warhistoryonline.com
Disappearing bfp with first response - Page 2 | BabyCenter
community.babycenter.com
'No meaningful response shows Russia seeks to prolong war': Zelensky ...
msn.com
Of All the Responses Modi Can Come Up With to Pahalgam, Plunging India ...
thewire.in
Disappearing bfp with first response - Page 2 | BabyCenter
community.babycenter.com
Disappearing bfp with first response - Page 2 | BabyCenter
community.babycenter.com
Buy Social Work During War: Humanitarian Response in Conflict and War ...
amazon.in
Buy Violence, Trauma, and Memory: Responses to War in the Late Medieval ...
amazon.in
InBird - Dive into Knowledge!
inbird.in
Janaab-E-Aali Teaser: 'Good But Not Great'; War 2's New Song Gets Mixed ...
freepressjournal.in
Buy Russia-Ukraine War: Geopolitical Implications and Global Response ...
amazon.in
The German Military predicts World War III as soon as 2025
msn.com
Defending the American Way of Life: Sport, Culture, and the Cold War ...
amazon.in
Amid tariff-for-tariff response from Canada, China, Mexico, India takes ...
msn.com
Parl panels to review India’s response to war in Ukraine
millenniumpost.in
Relative Response Factor (RRF) and its Calculation in HPLC Analysis
qcqa.industrialguide.co.in
Buy Jews in Post-War Wrocław and L'viv: Official Policy and Local ...
amazon.in
Escalating Israel-Iran Conflict: Implications for India and Global Shipping
vajiramandravi.com
'One of the nastiest countries': Amid tariff war, Trump's bizarre ...
msn.com
Ontario Slaps 25% Increase On Electricity Exports To US In Response To ...
freepressjournal.in
Woodrow Wilson and World Politics: America's Response to War and ...
amazon.in
Donald Trump Fires Warning At India And China; Internet Reacts With ...
in.mashable.com
Ukraine-Russia War 2023: Recent Developments and International Response
currentaffairs.adda247.com
Economic Impact of the Russia-Ukraine War in India
taxguru.in
Bfp Payslip - Fill and Sign Printable Template Online
uslegalforms.com
Squint BFP or indent line on first response? | BabyCenter
community.babycenter.com
Berlin to send anti-tank weapons to Ukraine in response to Putin's war ...
dtnext.in
The Poppy War Collector’s Edition : Kuang, R.F.: Amazon.in: Books
amazon.in
"Terrorist activities are deliberate war strategy, if they are engaging ...
aninews.in
Kremlin warns 'nuclear response' if Western missiles are used in war
msn.com
Emergency Response Planning for Fire Outbreak | CEPT - Portfolio
portfolio.cept.ac.in
Bangladesh Liberation War 1971
adda247.com
Behind the Scenes of India's Response to the East Pakistan Crisis of ...
thewire.in
'Arcane' Season 2 review: The best fantasy show of 2024, hands-down - Blog
appsmanager.in
In Response to Trump's Invective, MEA Says India-US Ties ‘Will Move ...
thewire.in
Buy BFP Ovulation & Pregnancy Test Strips for Pregnancy Detection - At ...
desertcart.in
Older Israelis show higher resilience than young adults to war stress ...
aninews.in
Buy Varieties of Economic Nationalism in Cold War Europe: Small State ...
amazon.in
Delhi HC Seeks Police Response on Custody Lapses of Girls Rescued from ...
lawbeat.in
Squint BFP or indent line on first response? | BabyCenter
community.babycenter.com
'War' Could Be Bollywood's Response To Hollywood's Christmas Movies ...
in.mashable.com
Israel's Defence Minister in US says lack of Gaza victory could lead to ...
dtnext.in
The Poppy War Collector’s Edition : Kuang, R.F.: Amazon.in: Books
amazon.in
Hrithik Roshan’s ‘War 2’ Crosses ₹300 Crore Mark in Just Five Days
thenewsmen.co.in
Russia's top security official in North Korea for talks on Putin's war ...
dtnext.in
Tariff War: "दबाव में नहीं झुकेगा भारत... ट्रंप के टैरिफ वॉर पर पीयूष ...
punjabkesari.in
More Than 9 Lakh People Displaced In 2018 Due To War In Syria, Highest ...
indiatimes.com
Wartime Morse Code Worksheet
twinkl.co.in
Trump announces a ceasefire in Iran-Israel war, but status remains ...
dtnext.in
'Pahalgam Attackers Communicating With Pakistan-Based Handlers, Our ...
thewire.in
The Sino-Indian Rapprochement Is More Than Just a Response to Trump ...
thewire.in
UK, Canada and twenty-six other countries say the war in Gaza ‘must end ...
english.varthabharati.in
Stop the Next War Now: Effective Responses to Violence and Terrorism ...
amazon.in
Xbox Game Pass Subscription Plans | 7petals.in
7petals.in
Very faint positive BFP? HELP! | BabyCenter
community.babycenter.com
DST BGT Hardwood Dining Table with 4 BFP Hardwood Dining Chair Cushion ...
jfa.in
BFN First Response BFP Dollar Tree? | BabyCenter
community.babycenter.com
Flood fury: Telangana Disaster Response Department rescues 1,639 people ...
newsmeter.in
No Proposal on imposition of additional 10% GST on Diesel Vehicle ...
taxscan.in
War Thunder - Senrai Maidens: Kate Bundle
store.playstation.com
BFN First Response BFP Dollar Tree? | BabyCenter
community.babycenter.com
Dr John WorldPeace JD Responses to: Then The War by Carl Phillips ...
amazon.in
Kremlin confirms US envoy's visit as talks on ending war in Ukraine ...
theweek.in
'GOP is getting sick of Trump': Republican lawmaker's 'act of war ...
msn.com
Trump claims to stop India-Pakistan war | India-Pakistan War
zoomnews.in
Buy zd toys iron man war machine mk 1 iron man 2 action figure marvel ...
ubuy.co.in
Buy Women and World War 1: The Written Response (Insights) Book Online ...
amazon.in
15 dead in Kolkata hotel fire; BJP slams CM Mamata over 'insensitive ...
english.varthabharati.in
BFP — Teletype
teletype.in
SAF DC BFP Hardwood Dining Chair with Cushion seat | Best Furniture ...
jfa.in
GlobalLogic Launches VelocityAI to Harness the Power of AI, Digital ...
globallogic.com
Submission of Response on High Value Transactions – FAQs
taxguru.in
Understanding American Civil War: Dissecting The Causes, Impacts, And ...
amazon.in
How Do I Fix Missing Alt Text Issue? | Sitechecker
sitechecker.pro
BFP but lower than usual BBT? | BabyCenter
community.babycenter.com
USD/INR: Rupee Hits Two-Week Low Amid FII Sell-Off and Trade War Concerns
angelone.in
Turkey Does India-Like Surgical Strike In Syria As Response To Istanbul ...
newindian.in
तुर्की से NDTV की ग्राउंड रिपोर्ट: भूकंप के बाद तबाही का मंजर, राहत के ...
ndtv.in
Hamas says it's ready for ceasefire but wants complete end to war in Gaza
millenniumpost.in
US President Donald Trump grants ICE “total authority” to arrest ...
theweek.in
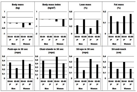
Acute Responses to Resistance Training on Body Composition, Muscular ...
mdpi.com
It is always an advantage to have a 360-degree perspective on briefs ...
superlawyer.in
Israel Palestine conflict Live Update: इजरायल ने लोगों से गाजा पट्टी ...
ndtv.in
War between tenants and landlords amidst Covid-19? – The Law Blog
thelawblog.in
'Didn't say war would erupt in 3 days': How Pakistan Defence Minister ...
theweek.in
BFN with FMU but (possible) BFP with SMU??? | BabyCenter
community.babycenter.com
International competition film from Japan Ring Wandering screened at ...
pib.gov.in
Related Searches
BFP Clip Art
BFP Truck
BFP Wallpaper
FSIS BFP
BFP Medalya
BFP Office
BFP Hino
BFP Logo.jpg
BFP Officer
BFP Rescue Operation
BFP Quality Objectives
BFP Poster
BFP Payslip Portal
BFP Reports
BFP Logo Transparent
BFP Cartoon
BFP Philippines
BFP Official Logo
BFP Logo.png
BFP T-Pass
BFP Table of Contents
United BFP
BFP Firefighting
BFP Pumper
BFP Object Show
Call to BFP
BFP Moscut
BFP Awards and Decorations
BFP Fire Fighter
BFP Location
BFP Fire Station
Table of Contents BFP Application
BFP Ladder
BFP Tarpaulin
History Picture of BFP
BFP Rules and Regulations
Goa a BFP
Policy of BFP
5S On BFP
BFP CPR
BFP Butuan
BFP Janitor
BFP Incident Report
40 Percent BFP
BFP Bus
BFP Uniform Philippines
BFP Poster-Making
BFP La Union Logo
BFP Materials
BFP Uniform Types
Search
×
Search
Loading...
No suggestions found