Find Your Style
Women
Men
Accessories
Search for clothing, brands, styles...
×
Women
Men
Accessories
Bijection Planet
Search
Loading...
No suggestions found
RBI Allows Overseas Banks to Open INR Accounts
currentaffairs.adda247.com
Packages Starts from INR 1299pp - Best Resort with Activities in ...
dandeliholiday.in
Buy Hobart Planet Aroma Diffuser from Home Centre at just INR 2199.0
homecentre.in
Buy Hobart Planet Aroma Diffuser from Home Centre at just INR 2199.0
homecentre.in
Anand Kamalnayan Pandit — INR 8,660 Cr (Sri Lotus Developers & Realty ...
economictimes.indiatimes.com
Buy Hobart Planet Aroma Diffuser from Home Centre at just INR 2199.0
homecentre.in
Buy Hobart Planet Aroma Diffuser from Home Centre at just INR 2199.0
homecentre.in
33000 euro to inr - Claim a ₹300 Bonus Today! Android IOS V- 1.79
tax.lsgkerala.gov.in
Buy Hobart Planet Aroma Diffuser from Home Centre at just INR 2199.0
homecentre.in
INR extends winning streak
msn.com
INR Full Form: What is full form of INR?
bankersadda.com
Ugro Capital Crosses Inr 10000 crore aum milestone launches 10k ...
psuconnect.in
KWD to INR conversionDownload it from KWD to INR conversion for free 7.99
durslt.du.ac.in
Buy Hobart Planet Aroma Diffuser from Home Centre at just INR 2199.0
homecentre.in
Buy Hobart Planet Aroma Diffuser from Home Centre at just INR 2199.0
homecentre.in
Bijective Function Properties & Examples | AESL
aakash.ac.in
Composite Functions: Properties, Definition & Examples | AESL
aakash.ac.in
Composite Functions: Properties, Definition & Examples | AESL
aakash.ac.in
Bijective Function Properties & Examples | AESL
aakash.ac.in
Bijective Function Properties & Examples | AESL
aakash.ac.in
Solar System Planets, Definition, Diagram, Names, Facts
studyiq.com
Bijective, Non-Bijective and Semi-Bijective Translations on the ...
mdpi.com
One one or Many one Function Methods & Examples | AESL
aakash.ac.in
What Is The Solar System? Types Of Planets, 55% OFF
aic-prestigeinspirefoundation.in
Bijective, Non-Bijective and Semi-Bijective Translations on the ...
mdpi.com
One one or Many one Function Methods & Examples | AESL
aakash.ac.in
Let f(x)= begincases2 x+p2 ; x ≥ 1 p x+8 ; x
tardigrade.in
Composite Functions: Properties, Definition & Examples | AESL
aakash.ac.in
Bijection — lesson. Mathematics State Board, Class 10.
yaclass.in
Functions Injective Surjective Bijective - Functions: Injective ...
studocu.com
Bijective, Non-Bijective and Semi-Bijective Translations on the ...
mdpi.com
Let y=g(x) be the inverse of a bijective mapping f: R arrow R f(x)=3 x3 ...
tardigrade.in
Is the Red Planet giving us a Green Flag?
thebridge.psgtech.ac.in
NASA Discovers A New Planet Like Earth In A Habitable Zone
augustman.com
show the function f:R-R defined by f(x)=x^3 is bijection - Brainly.in
brainly.in
Comb - srymrys - Combinatorics Yufei Zhao yufeiz@mit 1 Bijections Basic ...
studocu.com
Optimal Subsequence Bijection and Classification of Imbalanced Data ...
amazon.in
Composite Functions: Properties, Definition & Examples | AESL
aakash.ac.in
show the function f:R-R defined by f(x)=x^3 is bijection - Brainly.in
brainly.in
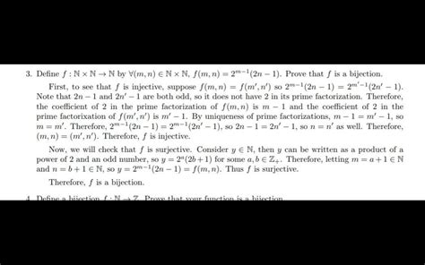
19. prove that f:nxn-n defined as f(m,n) = 2*(2n-1) is bijective.
scoop.eduncle.com
Types of function - Bijective (Part - 20) - Relations and Functions ...
edurev.in
12. consider the function 0: {0,1 xn-z defined as 0(a, b) =a-2ab+ b. is ...
scoop.eduncle.com
If a function f: [2, ∞)arrow A defined by f(x) = x2 - 4x +5 is a ...
tardigrade.in
Bijective function and Multinomial theorem and Langrange MVT ...
studocu.com
f ( x ) is continuous and bijective function on R. If ∀ a ∈ R, the area ...
tardigrade.in
prove that the function f(x)= 3x + 2 is a bijective mapping - Brainly.in
brainly.in
define bijection function - Brainly.in
brainly.in
Let f : N → N be defined by State whether the function f is bijective ...
ask.learncbse.in
prove that the function f(x)= 3x + 2 is a bijective mapping - Brainly.in
brainly.in
Show that the function f : R (R given by f(x) = 3x – 4 is a bijection ...
brainly.in
Buy Solar System for Kids Exploration Kit - 17 Outer Space STEM ...
ubuy.co.in
What makes a planet habitable? Fascinating facts by NASA
msn.com
Fun Video: Types of Functions (Injective, Surjective and Bijective ...
edurev.in
Ember Hand Tufted Carpet & Rug - Carpet Planet
carpetplanet.in
Halo Hand Tufted Carpet & Rug - Carpet Planet
carpetplanet.in
Others: NIELIT 2022 April Scientist B | Section A | Question: 17
gateoverflow.in
Solace Hand Tufted Carpet & Rug - Carpet Planet
carpetplanet.in
Halo Hand Tufted Carpet & Rug - Carpet Planet
carpetplanet.in
Set Theory & Algebra: GATE CSE 2024 | Set 1 | Question: 22
gateoverflow.in
let :R ️R be defined as f(x) =2x-1/3, prove that f is bijection of f(x ...
brainly.in
Lush Hand Tufted Carpet & Rug - Carpet Planet
carpetplanet.in
Exam Planet Online Mock Test Sakshamta Pariksha 2024 | Online Practice ...
examplanet.in
Silka Hand Tufted Carpet & Rug - Carpet Planet
carpetplanet.in
പ്രതിദിന കറന്റ് അഫയേഴ്സ് മലയാളത്തിൽ- 28 നവംബർ 2023
adda247.com
Lush Hand Tufted Carpet & Rug - Carpet Planet
carpetplanet.in
show that f:r defined by f (x)=x+2 is a bijection also find f^-1(4) and ...
brainly.in
Set Theory & Algebra: GATE CSE 2024 | Set 1 | Question: 22
gateoverflow.in
which of the following are injections or surjections or bijections ...
brainly.in
Theory of Computation: GATE CSE 2019 | Question: 48
gateoverflow.in
Set Theory & Algebra: GATE CSE 2024 | Set 1 | Question: 22
gateoverflow.in
Buy Diamond Necklace Online | Diamond Set Online Manubhai Jewellers
manubhai.in
Partha Bhowmick: Sphere Functionality
cse.iitkgp.ac.in
Ember Hand Tufted Carpet & Rug - Carpet Planet
carpetplanet.in
Group Discussion: Where will you and the planet be in 5, 10, 20 years ...
allevents.in
Seren Hand Tufted Carpet & Rug - Carpet Planet
carpetplanet.in
show that f:r defined by f (x)=x+2 is a bijection also find f^-1(4) and ...
brainly.in
Composition of functions - GATE Overflow
gateoverflow.in
Buy Gold Pendant Set with Earrings Online India | Latest Gold Pendant ...
manubhai.in
Irani Carpets - Carpet Planet
carpetplanet.in
🐾 Paws & Planet: 3 Bamboo Products That Make Pet Parenting Smarter
silpakarman.com
Hurun India 2025: 10 billionaire Indians who entered the rich list this ...
economictimes.indiatimes.com
12. consider the function 0: {0,1 xn-z defined as 0(a, b) =a-2ab+ b. is ...
scoop.eduncle.com
Irani Carpets - Carpet Planet
carpetplanet.in
Buy Diamond Necklace Online | Diamond Set Online Manubhai Jewellers
manubhai.in
Silka Hand Tufted Carpet & Rug - Carpet Planet
carpetplanet.in
Set Theory & Algebra: Discrete Math
gateoverflow.in
Irani Carpets - Carpet Planet
carpetplanet.in
Next tranche of Bharat Bond ETF opens tomorrow: 10 things on NFO | Mint
livemint.com
If the number of elements in the sets G and A are 3 and 4 respectively ...
tardigrade.in
Planet Hollywood Cancun, An Autograph Collection All-Inclusive Resort ...
tripadvisor.in
Buy Jute Carpet Online in India | Complete Guide - Carpet Planet
carpetplanet.in
Modern Abstract - Carpet Planet
carpetplanet.in
Modern Abstract - Carpet Planet
carpetplanet.in
Modern Geometric Carpet for Stylish Contemporary Homes - Carpet Planet
carpetplanet.in
India and Malaysia can now trade in Indian rupee
currentaffairs.adda247.com
Light Weight & Daily Wear Gold Necklace Set Designs (2025) | Buy Gold ...
manubhai.in
prove that the function f:R--->R by f(x)=1+x² is bijective - Brainly.in
brainly.in
prove that the function f:R--->R by f(x)=1+x² is bijective - Brainly.in
brainly.in
Artificial Grass Carpet for Balcony in India - Carpet Planet
carpetplanet.in
Rupee Depreciation: Will India's Exports Stand To Gain? | Investing.com ...
in.investing.com
12. consider the function 0: {0,1 xn-z defined as 0(a, b) =a-2ab+ b. is ...
scoop.eduncle.com
Hurun India 2025: 10 billionaire Indians who entered the rich list this ...
economictimes.indiatimes.com
logo_1200_x_628_px.jpg?v=1720118200
artrise.in
Let A = R − {3} and B = R − {1}. Consider the function f: A → B defined ...
shaalaa.com
Indonesian Rupiah - Buy IDR Currency Online in India
makemytrip.com
Heschen Photoelectric Sensor Switch E3JK-5DM1-5L AC 90-250V Bijection ...
amazon.in
Hand Knotted Carpet Manufacturers in India - Carpet Planet
carpetplanet.in
Determine whether each of these functions is a bijection from r to r. a ...
brainly.in
Best Carpets for Living Room | Materials & Size Guide - Carpet Planet
carpetplanet.in
Modern Abstract - Carpet Planet
carpetplanet.in
Partha Bhowmick: Sphere Functionality
cse.iitkgp.ac.in
Diamond Earrings Designs | Buy Diamond Earrings Online India - Manubhai ...
manubhai.in
Buy Gold Bangles Online India with Latest Designs - Manubhai Jewellers
manubhai.in
Cameras under 10000: Buy top digital cameras online in India (2024)
lifestyleasia.com
Number of bijective functions formula - Brainly.in
brainly.in
Maximum-Likelihood Estimation in a Special Integer Autoregressive Model
mdpi.com
Convert MetaPlanet to Indian rupee (MPL to INR) - BeInCrypto
beincrypto.com
Draw Venn diagram to represent the following sets:u={a, b, c, d, e, f ...
brainly.in
The Changing Skyline of Oragadam
magicbricks.com
Prove that f:(0,infinity) be R such that f(x) = logeX is bijective ...
brainly.in
Related Searches
Bijection Examples
Injection Math
Bijective
The Four Inner Planets
What Is a Bijection
Planet Geometry
Injection Surjection
Bijective Shuffle
Habitable Planets
Bijective Funcion
Terrestrial Planets and Jovian Planets
What Is a Combinatorial Bijection
Conjecture Planets
Fiction Planets
Injection Bijection
Bijective Example
Conjugated Planeys
Planets Sacred Geometry Music
Sirjection Injection
Bijection Table
The Planets Simulation
Visibility of the Planets
Venn Diagram Planets
What Is Bijection Graph
Bijective Map
Example of Bijective
Bijective FN
Bijective Equation
Bijective Function Graph
Injective Bijective
Surjection Injection Bijection
Sacred Geometry of the Planets
Planet Superior
Venn Diagram of Planets
Mercury Planet Vector
Semi Planets
Satellite All Planets
Stay in the Planets
Bijection Symbol
Inverse Bijective
Symmetric Planets
Bijective Arrow
Search
×
Search
Loading...
No suggestions found