Find Your Style
Women
Men
Accessories
Search for clothing, brands, styles...
×
Women
Men
Accessories
Biochem Involved Activities
Search
Loading...
No suggestions found
Biochemical Enzyme Activity in Fed State and Fasting
openmed.co.in
About The Course
mgrjanaki.ac.in
Shri B. M. Patil Medical College Hospital & Research Centre, Vijayapura ...
sbmpmc.edu.in
Infrastructure
amity.edu
Glycogenolysis - Steps, Enzymes, Regulation And Functions
pw.live
Biochemistry Word Search Puzzle Worksheet Activity PDF – PrintableBazaar
printablebazaar.com
A Second Wind for Inorganic APIs: Leishmanicidal and Antileukemic ...
mdpi.com
Bhavan's Vivekananda College
bhavansvc.ac.in
Antioxidant, Scavenging, Reducing, and Anti-Proliferative Activities of ...
mdpi.com
Biochemistry Lab Experiments: Calibration Curve & Enzyme Activity - Studocu
studocu.com
Untitled Document [annamalaiuniversity.ac.in]
annamalaiuniversity.ac.in
Enzyme Activity - Enzyme and Substrate - Key and Lock Theory vs Induced ...
edurev.in
Department of Biochemistry
simsrc.edu.in
Infrastructure - Dept of Biochemistry | DYPMC, Pune
medical.dpu.edu.in
Metabolism — lesson. Science CBSE, Class 10.
yaclass.in
Glycolysis- Biochemistry/Biotechnology/BSc./Msc. Notes
simplynotes.in
Mitochondrion Structure and Function | Encyclopedia MDPI
encyclopedia.pub
Carbon Cycle: Definition, Process and Types
careerpower.in
Department of Biochemistry
gnscr.ac.in
Importance of Extracurricular Activities in Student Development - 21K ...
21kschool.com
Regulation of enzyme activity in organisms - Biochemistry Regulation of ...
studocu.com
Cosmeceutical Therapy: Engaging the Repercussions of UVR Photoaging on ...
mdpi.com
The Rules and Functions of Nucleocytoplasmic Shuttling Proteins
mdpi.com
About The Course
mgrjanaki.ac.in
Department of Biochemistry
gnscr.ac.in
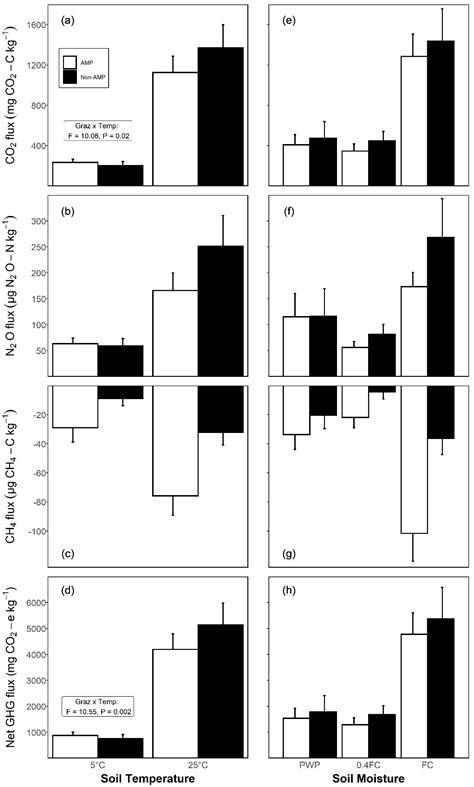
Adaptive Multi-Paddock Grazing Lowers Soil Greenhouse Gas Emission ...
mdpi.com
Major equipments/instruments of Biochemistry Dept | DYPMC, Pune
medical.dpu.edu.in
Untitled Document [annamalaiuniversity.ac.in]
annamalaiuniversity.ac.in
Stereoisomerism- Definition, Concept, Conditions and Types.
allen.in
Buy Special Issue Dedicated to Late Professor Takuo Okuda: Tannins and ...
desertcart.in
Antioxidant activity - Analytical Biochemistry - Studocu
studocu.com
Food Biochemistry eBook : Dickson, J.K.: Amazon.in: Kindle Store
amazon.in
Buy Microbiology and Biochemistry of Strict Anaerobes Involved in ...
amazon.in
Untitled Document [annamalaiuniversity.ac.in]
annamalaiuniversity.ac.in
Importance of Extracurricular Activities in Student Development - 21K ...
21kschool.com
Co-Curricular Activities | SVEA | Best SEBA school in Guwahati
stvea.in
course
sjcknl.edu.in
👉 Diwali Count and Colour 2D Shapes Activity - Twinkl - Maths
twinkl.co.in
FamilySearch’s new Get Involved app allows you to do simple family ...
thechurchnews.com
How involvement of CXOs in recruitment and L&D activities impacts HR ...
hr.economictimes.indiatimes.com
achievement
sethu.ac.in
Major equipments/instruments of Biochemistry Dept | DYPMC, Pune
medical.dpu.edu.in
CENTENNIAL CELEBRATION
centenary.biochem.iisc.ac.in
Major equipments/instruments of Biochemistry Dept | DYPMC, Pune
medical.dpu.edu.in
Importance and Scope of Chemistry Class 11 Notes | EduRev
edurev.in
Cholinesterase Inhibitory Activities of Adamantyl-Based Derivatives and ...
mdpi.com
Untitled Document [annamalaiuniversity.ac.in]
annamalaiuniversity.ac.in
Biochemistry Basics Pogil Answer Key - Fill and Sign Printable Template ...
uslegalforms.com
What is active learning? - Twinkl
twinkl.co.in
Emerging Role of l-Dopa Decarboxylase in Flaviviridae Virus Infections
mdpi.com
Major equipments/instruments of Biochemistry Dept | DYPMC, Pune
medical.dpu.edu.in
Contact Us | Biochemistry | U of U School of Medicine
medicine.utah.edu
Community Involvement Activity | San Academy
sanacademy.edu.in
Emerging Role of l-Dopa Decarboxylase in Flaviviridae Virus Infections
mdpi.com
Volume 5 Issue 3
medpulse.in
Department of Biochemistry, IISc
biochem.iisc.ac.in
NIT Durgapur
nitdgp.ac.in
NIT Durgapur
nitdgp.ac.in
About The Course
mgrjanaki.ac.in
Canada Bayridge Secondary School 40 Hour Community Involvement Form ...
uslegalforms.com
General Mills India: Community Service and Activities - General Mills
generalmills.co.in
Neural Circuitry–Neurogenesis Coupling Model of Depression
mdpi.com
Infrastructure - Dept of Biochemistry | DYPMC, Pune
medical.dpu.edu.in
Biochemistry Test Kit - Erba Albumin (Liquixx) Kit Manufacturer from ...
ankkcares.co.in
achievement
sethu.ac.in
Infrastructure - Dept of Biochemistry | DYPMC, Pune
medical.dpu.edu.in
Study the chart given below. The chart is a result of a survey ...
brainly.in
Community Involvement Activity | San Academy
sanacademy.edu.in
Community Involvement Activity | San Academy
sanacademy.edu.in
Official Website of Kannur University
kannuruniversity.ac.in
Procedure/Steps involved in Work Study - Simplynotes - Online Notes for ...
simplynotes.in
An Updated Overview of Metabolomic Profile Changes in Chronic ...
mdpi.com
Some Rohingya migrants involved in illegal activities: Rijiju
dtnext.in
Home Involvement Activities Mathematics : Amazon.in: Books
amazon.in
Applications of Fungal Strains with Keratin-Degrading and Plant Growth ...
mdpi.com
Buy Promising Practices for Using Technology in Parent Involvement ...
amazon.in
About The Course
mgrjanaki.ac.in
Fillable Online Community Involvement Activity Form Fax Email Print ...
pdffiller.com
flow chart on economic activity class 8 - Brainly.in
brainly.in
Morning Meeting Activities Idea Cards (teacher made)
twinkl.co.in
CAT upholds dismissal of Professor for involvement in anti-national ...
crosstownnews.in
WWI Alliances Map Colouring | Colouring Sheets - Twinkl
twinkl.co.in
Buy Activity and Aging: Staying Involved in Later Life (SAGE Focus ...
amazon.in
EYLF Posters - Australian Curriculum outcome guidance
twinkl.co.in
Key Figures in Australian Federation Presentation - Twinkl
twinkl.co.in
Not involved in terror activities, they are great people: Here’s how ...
english.varthabharati.in
Jagadguru Sri Shivarathreeshwara University
jssuni.edu.in
Reading Activities for Child Involvement : Amazon.in: Books
amazon.in
Fillable Online qedhs kpdsb on Record of Community Involvement ...
pdffiller.com
Chinese woman held for involvement in anti-India activities: Delhi Police
english.varthabharati.in
Infrastructure - Dept of Biochemistry | DYPMC, Pune
medical.dpu.edu.in
School of Chemistry & Biochemistry - Thapar Institute of Engineering ...
scbc.thapar.edu
Idhaya College of Arts and Science for Women, Pondicherry
idhayapdy.ac.in
Infrastructure - Dept of Biochemistry | DYPMC, Pune
medical.dpu.edu.in
Infrastructure - Dept of Biochemistry | DYPMC, Pune
medical.dpu.edu.in
"Our ships are actively involved...free from any terrorist activity ...
aninews.in
Accommodation & Other Expenses | IIM Bangalore
iimb.ac.in
Who Was Involved in Making My Chocolate Bar? Activity
twinkl.co.in
Buy Space Saver Pocket Chart - Get Students Involved in a Daily ...
desertcart.in
Volume 12 Issue 1
medpulse.in
Study the chart given below, which is the result of the survey ...
brainly.in
JSS Academy of Higher Education & Research | Faculty of Life Sciences ...
jssuni.edu.in
MGM Medical College Navi Mumbai | Facilities
mgmmcnm.edu.in
Read all Latest Updates on and about NDPS
livelaw.in
Given below are the steps for extraction of copper from its ore. Write ...
ask.learncbse.in
Open Week | CCMB
data.ccmb.res.in
Department
bhavansvc.ac.in
Read all Latest Updates on and about Unlawful Activities Prevention Act ...
livelaw.in
PNB Scam 2018: 10 things you must know
newsheads.in
News
weau.com
Bhavan's Vivekananda College
bhavansvc.ac.in
Activities | IofC Norden
norden.iofc.org
UAPA Accused Gets Bail After 5 Yrs In Jail, P&H High Court Says 'No ...
livelaw.in
Math, Grade 1 Family Involvement Activity: Harcourt School Publishers ...
amazon.in
Secure Your Child's Future At The Best CBSE School In Pallikaranai
sanacademy.edu.in
Govind Ballabh Pant University
gbpuat.ac.in
Buy Essential and Non-Essential Metals Metabolites with Antibiotic ...
amazon.in
“Risks” As in Internal Audit
taxguru.in
Patna: NIA Takes Ove Gazwa-e-Hind Terror Case probe, raids 3 locations ...
newindian.in
All Updates - EduTips
edutips.in
Related Searches
Biochem Drawing
Cell Biochem
Biochemistry
Biochem Tattoo
Biochem Art
Biochem Products
Chocolate Vegan Protein Powder
Biochem Template
Biochem Brand
Biochem Systems
Biochemical
Plant Biochemistry
Bio Valve
Gas Biochem Graph
Biochem Consumable
Biochem MCAT Cheat Sheet
Biochemistry Book
Biochem Aparatos
Biochem Experiments
Biochemistry Chart
Biochem Sensor
Biochemist
Biochem Stickers
L Graph Biochem
Biochemistry Metabolic Pathways
Biochem Pigeon
Biochem Logo Transparent
Medical Biochemistry
Sugar Free Protein Powder
Examples of Biochemistry
Biochemistry Molecules
Biochem Activator
Amino Acid Cheat Sheet
Biochem Proizvođač
Biology
Dump Biochem
Poweroiny Backgrounds Biochem
Dystrophin
Biochemical Engineer
Biochem Logo of Gcuf
Biochamistry
Biochemistry Elements
Enzo Biochem Logo
Biochemistry Graphics
Deh Cy Ker Biochem
Marcomoles Biochem
Biochemistry Funny
Biochem Sterilization Background
Background for Biochem Poster
Things with Biochem Major
Search
×
Search
Loading...
No suggestions found