Find Your Style
Women
Men
Accessories
Search for clothing, brands, styles...
×
Women
Men
Accessories
Bissell Proheat 2x 3 In 1 Stair Tool
Search
Loading...
No suggestions found
Buy Bissell 3-in-1 Stair and Upholstery Tool | for Use Upright and ...
amazon.in
Bissell ProHeat 2X Steam Cleaner 6" Wide Stair Cleaning Tool/Nozzle ...
amazon.in
ProHeat 2X® Revolution® Pet Pro Plus 3588F BISSELL®
ndetech.org.in
BISSELL - GRIPIT
gripit.co.in
Buy BISSELL SpotClean ProHeat Portable Spot and Stain Carpet Cleaner ...
ubuy.co.in
Buy BISSELL SpotClean ProHeat Portable Spot and Stain Carpet Cleaner ...
ubuy.co.in
Vacuum Belts for Bissell 2191, 2191U, 2190, 1700, 1701, 1797, 2691 ...
amazon.in
BISSELL - GRIPIT
gripit.co.in
Specificaties van Bissell SpotClean Pet Pro - Tweakers
tweakers.net
BISSELL Vacuum Cleaners at Lowes.com
lowes.com
Buy Stair Tread Template Tool, Kingson Stainless Steel Stair Measuring ...
ubuy.co.in
JEDELEOS Replacement Belt Set for Bissell ProHeat 2X Revolution Pet ...
amazon.in
Buy Stair Tread Template Tool, Stair Measuring Tool - Stair Jig, Stair ...
ubuy.co.in
Buy Stair Tread Template Tool, Stair Measuring Tool - Stair Jig, Stair ...
ubuy.co.in
Replacement for Bissell Tank Bottom Assembly for Premier Pet Uprights ...
amazon.in
Buy Stair Tread Template Tool, Stair Measuring Tool - Stair Jig, Stair ...
ubuy.co.in
Buy Stair Tread Template Tool Tread Stair Template Tool Stair Tool ...
ubuy.co.in
Buy Stair Tread Template Tool Tread Stair Template Tool Stair Tool ...
ubuy.co.in
BISSELL - GRIPIT
gripit.co.in
Empire of Electronics Staircision Stair Tread Template Tool - Stair ...
amazon.in
Buy Eleon Stair Tread Template Tool - Aluminum Alloy Stair Tread Jig ...
desertcart.in
Buy Stair TreadTemplate Tool,Stair Tread Jig Stair Tread Gauge Stair ...
desertcart.in
Buy Stair Tread Template Tool, Stair Tread jig, Stair Tread Gauge, 360 ...
ubuy.co.in
Buy Stair Tread Template Tool, Stair Tread jig, Stair Tread Gauge, 360 ...
ubuy.co.in
Buy BISSELL CrossWave Floor and Area Rug Cleaner, Wet-Dry Vacuum with ...
desertcart.in
2 in 1 Aluminum Stair Climber Hand Truck Climbing India | Ubuy
ubuy.co.in
BISSELL - GRIPIT
gripit.co.in
Buy Stair Tread Template Tool, Stair Tread jig, Stair Tread Gauge, 360 ...
ubuy.co.in
Buy Aluminum Stair Tread Template Tool, Stair Tread Gauge, Stair ...
desertcart.in
Stair Treads Gauge Template Tool - Stair Jig, Measuring Stair Tool ...
amazon.in
Buy Stair Tread Gauge Template Tool, Stair Tread Jig Stair Gauge Scribe ...
desertcart.in
Stair Climbing Aid for the Elderly | CEPT - Portfolio
portfolio.cept.ac.in
Amazon.in: Buy MSI GeForce RTX 3050 Ventus 2X XS 8G OC Gaming Graphics ...
amazon.in
Indexable Lathe Turning Tool,1/2'' Shank 7 Pieces Carbide Turning Tool ...
amazon.in
Amazon.in: Buy ZOTAC Gaming GeForce RTX 4070 Ti Super Trinity OC 16GB ...
amazon.in
Hand Operated Hydraulic Crimping Tool Crimper Wire Terminal Lug Tool ...
desertcart.in
Project
web.iitd.ac.in
Unns Tool Storage Tool Box Tool Cabinet Side Tool Storage | Desertcart ...
desertcart.in
Buy Stair Tread Template Tool - Stair Tread Gauge, Stair Tread Jig ...
desertcart.in
Integration e^2x ( 1 + sin 2x /1 + cos 2x) dx explain in great detail ...
ask.learncbse.in
ProHeat™ 35 Liquid-Cooled Induction System - Miller Electric Mfg. - PDF ...
pdf.directindustry.com
Beeveer Stackable Rolling Tool Box Portable Metal Tool Chest with ...
amazon.in
FIBER GLASS GRATING - Colour Coated Floor Gratings Manufacturer from ...
frpproducts.in
Buy SDNBHT Industrial Stair Railing Metal Hand Rails for Indoor Stairs ...
desertcart.in
Buy Stair Tread Template Tool, Stainless Steel Stair Tread Tool Holder ...
ubuy.co.in
Art spiral stair in Tekla Structures | Top-engineer.com
top-engineer.com
Determine the remainder when p(n)=x4-3x2+2x-5 is divided by x-2 ...
brainly.in
Buy Torin17-Inch Plastic Tool Box,3-Tiers Multi-Function Storage ...
desertcart.in
Buy Stair Tread Template Tool Adjustable Metal Measuring Stair Tool ...
desertcart.in
factorise x^3-2x^2-5x+6 - Brainly.in
brainly.in
SAMYANG BULDAK 2X SPICY HOT CHICKEN Flavor Korean | Ubuy India
ubuy.co.in
6-Step Outdoor Stair Stringers at Lowes.com
lowes.com
Buy Stair Tread Template Tool, Stair Measuring Tool - Stair Jig, Stair ...
ubuy.co.in
Staircase Design Ideas, Inspiration & Images - October 2024 | Houzz IN
houzz.in
Buy Spade Connector Tool 22-16 AWG Bullet Connectors Tool for Insulated ...
desertcart.in
How To Make Stairs In Minecraft From Oak, Stone, Water, Glass & More
gurugamer.com
solve by elimination method, x+y=5;2x-3y=5 - Brainly.in
brainly.in
Auslese® 32 Channel Motion Sensor LED Stair Controller Automatic ...
amazon.in
SI FANG Mini Pneumatic Chamfering Tool with Replace Blades Inserts and ...
amazon.in
Plantex Metal Tool Box for Tools/Tool Kit Box for Home and Garage/Tool ...
flipkart.com
Buy Stair Treads Gauge Template Tool - Stair Jig, Measuring Stair Tool ...
ubuy.co.in
Factorise: 2x^3 - 3x^2 - 17x + 30 - Home Work Help - Learn CBSE Forum
ask.learncbse.in
simplify (2x+3y) (3x+4y) - (2x+y) ( 3x-5y - Brainly.in
brainly.in
Buy Wirefy Crimping Tool Set 8 PCS - Ratcheting Wire Crimper - Heat ...
desertcart.in
Buy BRAZED TOOL ISO 6 - CRANKED KNIFE TOOLS Online - Tools Planet
toolsplanet.in
Renuka Tools
renukatools.in
4(2x-3)=8(2x+5) solve the following - Brainly.in
brainly.in
1 Complete the table and sketch the graph of y= 2x + 1 on the answer ...
brainly.in
2x/3+1=7x/15+3 Solve equation And check - Brainly.in
brainly.in
solve the following for x: 3(3x-1/2x+3)-2(2x+3/3x-1)=5 - Brainly.in
brainly.in
SHOPEE BRANDED Rj45 Rj11 Crimping Tool, KD-1 Professional Punch Down ...
amazon.in
Buy Goplus Tool Cart, 4-Tier Rolling Tool Box Cabinet on Wheels with ...
desertcart.in
find the value of k if (x-3) is a factor of k^2x^3 - kx^2 + 3kx -k ...
brainly.in
Solve (2x-3/x-1)-4 (x-1/2x-3)=3,where X! =1,X! =3/2 - Home Work Help ...
ask.learncbse.in
சிறந்த 20 கிரானைட் படிக்கட்டு வடிவமைப்பு அழகு மற்றும் செயல்பாட்டு கலவையுடன்
magicbricks.com
ProHeat™ 35 Liquid-Cooled Induction System - Miller Electric Mfg. - PDF ...
pdf.directindustry.com
2x-3/3x-1=2x+3/3x+4 - Brainly.in
brainly.in
10x Is Easier Than 2x: Buy 10x Is Easier Than 2x by Dan Sullivan, Dr ...
flipkart.com
prove that :cosec^2x-sin^2x.cot^2x-cot^2x/sin^2x=1 - Brainly.in
brainly.in
ProHeat™ 35 Liquid-Cooled Induction System - Miller Electric Mfg. - PDF ...
pdf.directindustry.com
prove that cos x - cos 2x + cos 3x / sin x - sin 2x + sin 3x = cot 2x ...
brainly.in
solve :2x-3=x+2? ... - Brainly.in
brainly.in
Buy Solsop Battery Cable Crimping Tool from AWG 8, 6, 4, 2, 1, 1/0 ...
desertcart.in
CONCRETING OF STAIRCASE | CEPT - Portfolio
portfolio.cept.ac.in
Swiffer Bissell SteamBoost Seam Mop Starter Kit for $19.99 :: Southern ...
southernsavers.com
equation 2x/3+1=7x/15+3 and check your results - Brainly.in
brainly.in
Log4(x2+x)-log4(x+1) = 2. Find xa)16b)0c)-1d)noneCorrect answer is ...
edurev.in
3(7x-1)/4 - (2x- 1-x/2)=x+3/2 - Brainly.in
brainly.in
find q(x) and r(x) when p(x) is divided by g(x) p(x) = 2x^2-5x-3,g(x ...
brainly.in
Staircase Quantity Takeoff | Calculating Concrete Volume for Stairs
constructioncivilengineering.com
2[x + 3) + 5 = 25 equation - Brainly.in
brainly.in
solveintegrate 1/((1 + x) * sqrt(3 + 2x - x ^ 2)) dx - Brainly.in
brainly.in
Factorise: 2x^3 -3x^2 -17x +30 - Brainly.in
brainly.in
1.2x + 3 / 3.2x + 6 = 9/8 - Brainly.in
brainly.in
Find the domain of the function sec-1(2x-3) - Brainly.in
brainly.in
Steel Reinforcement For Stairs | Design Of RCC Staircase
constructioncivilengineering.com
2x+3y=2 ,x- 2y=8 elimination method. - Brainly.in
brainly.in
Buy Dyson Cord-free V12™ Detect Slim vacuums | Dyson India
dyson.in
X2 - 2x -3 =0 solve this - Brainly.in
brainly.in
Buy HJXX Toolbox 3-Drawer Rolling Tool Cabinet - Rolling Garage ...
desertcart.in
Help for my small dream home
houzz.in
The factors of 4x2 + 8x +3 is - Brainly.in
brainly.in
Factorise : 2x^3+x^2−2x−1 - Brainly.in
brainly.in
Find the derivative of (2x + 3)^3 using first principles. - Brainly.in
brainly.in
Garage Storage Hooks at Lowes.com
lowes.com
RS PRO | RS PRO Hand Ratcheting Crimp Tool for Crimp Contacts, 0.35 → 1 ...
in.rsdelivers.com
Differentiate sin(2x-3) from first principles - Brainly.in
brainly.in
Solve 2x + 3y = 11 and 2x – 4y = -24 and hence find the value of’m ...
ask.learncbse.in
Taiss BNC Crimp tool with 10PCS BNC Connector,Coax Coaxial BNC Crimping ...
amazon.in
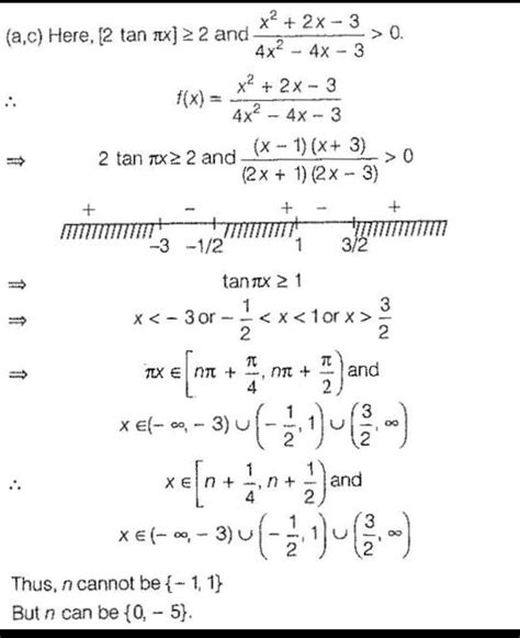
Tilto 25.the domain ofdefinition of the function, f(x) = |2 tan tx ...
scoop.eduncle.com
Husky Tool Chest Tool Boxes for Sale - eBay
ebay.com
construction cost estimating sheets | civil engineering sheet
constructioncivilengineering.com
Ct 96 Inch Mobile Workbench With 24 Storage Drawers Rolling ...
desertcart.in
draw the graph of the equation 2X+3y=12 from the graph - Brainly.in
brainly.in
Stanley STMT81243 110-Piece Multi-Tool Kit : Amazon.in: Home Improvement
amazon.in
solve the equation and varify 3(2+x)-5(2x-3)÷5-3x=9 - Brainly.in
brainly.in
solve for x: 1/x+2/2x-3=1/x-2,x≠0,3/2,2 - Brainly.in
brainly.in
Find whether the lines represented by 2x + y = 3 and 4x + 2y = 6 are ...
brainly.in
show that (2x+1) is a factor of (2x^3+5x^2+4x+1) and hence factorise ...
brainly.in
CNC Press Brake Die and Punch - Hydraulic Press Brake Tool Manufacturer ...
jhanvienterprise.co.in
Related Searches
Bissell ProHeat 12 Amps
Bissell PowerSteamer Pro
Bissell ProHeat 7901
Bissell ProHeat Carpet Cleaner
Bissell ProHeat 2X
Bissell ProHeat Parts
Bissell Cleanview ProHeat
Bissell ProHeat 2X Steam Cleaner
Bissell ProHeat 2X Parts List
Bissell Upright Vacuum
Bissell ProHeat X2
Bissell ProHeat Pet
Bissell ProHeat Plus
Bissell ProHeat Replacement Parts
Bissell ProHeat 25A3 Parts Diagram
Vacuum Manual Bissell
Bissell ProHeat 2X No Spray
Bissell ProHeat 2X Carpet Shampooer
Bissell ProHeat Turbo 2X
Bissell Carpet Cleaners
Bissell Portable Carpet Cleaner
Bissell Products
Bissell ProHeat Deep Cleaner
Bissell Power Steamer Carpet Cleaner
Bissell Carpet Cleaning Products
Bissell ProHeat 2X Healthy Home
Bissell ProHeat 2X Assembly Diagram
Bissell 12 Amp Carpet Cleaner
Bissell ProHeat 2X Model 8920
Bissell ProHeat 2X Hose Diagram
Bissell ProHeat Deep Cleaning System
Bissell Replacement Brush
Bissell ProHeat Switch
Bissell ProHeat 2X 9200
Bissell ProHeat Advanced
Bissell ProHeat 2X Premier Carpet Cleaner
Bissell ProHeat PowerBrush
Bissell ProHeat Essential
Bissell ProHeat Pump
Bissell ProHeat Heater
Bissell ProHeat Tank
Bissell ProHeat Carpet Cleaner Solution
Bissell Spot Carpet Cleaner Machine
Bissell ProHeat 7901 Series
Bissell ProHeat 2X Select Pet
Bissell Steam Vacuum for Carpet
Bissell Pro Tech
Bissell ProHeat 2X Schematic/Diagram
Bissell ProHeat Turbo 2X Microban
Bissell Bladder
Search
×
Search
Loading...
No suggestions found