Find Your Style
Women
Men
Accessories
Search for clothing, brands, styles...
×
Women
Men
Accessories
Bitmap Test Pattern Image
Search
Loading...
No suggestions found
Memories - Test Patterns & Algorithms - Part 3
blog.digitalelectronics.co.in
Using Bitmaps Menu in Corel Draw 12 Complete English Notes | How to Use ...
rakeshmgs.in
Dithering pixel art pattern backgrounds retro bitmap gradients ...
freepik.com
Grade R - Coding - Pattern Recognition: Threes - Twinkl
twinkl.co.in
HP, Brother, Canon, Xerox, Dell: Which are the best laser printers in 2019?
scroll.in
Best Glaucoma Hospital in Chandigarh | Grover Eye Hospital
grover.net.in
R sample code for extract pattern using regular expression | S-Logix
slogix.in
PowerProtect: Data Manager TSDM backup would have periodical slowness ...
dell.com
Repeating Patterns Worksheet | Foundation Stage
twinkl.co.in
Malaria Parasite (Card Test) Report Format | MS Word & Pdf
labsmartlis.com
Block Pattern Memory Game (teacher made) - Twinkl
twinkl.co.in
Grade R Coding - Pattern Recognition Worksheet: Numbers
twinkl.co.in
Grade R Coding And Robotics Pattern Recognition Shapes
twinkl.co.in
Radiometric Partial Discharge Detection: A Review
mdpi.com
GRE Syllabus: Exam Pattern, Syllabus, Question Types and Preparation
zollege.in
PTE Exam Pattern: PTE Academic and General, and Score Calculation
zollege.in
Grade R Coding and Robotics - Patterns with Shape and Colour
twinkl.co.in
L & T GET Exam Pattern 2022 | Larsen and Toubro Exam Pattern 2022 | L&T ...
telugutechlearners.in
Unveiling the Beauty and Heritage of Sambalpuri Design
odikala.com
Duolingo English Test Syllabus : Get a firm Understanding
upgrad.com
Grade R Maths Patterns - Complete the Pattern Activity
twinkl.co.in
Buy NNAT Naglieri Nonverbal Ability Test® PATTERN COMPLETION: A step by ...
desertcart.in
CUET 101: Your Ultimate Guide To Nailing It!
apnaaddafest.in
DXC Technology Syllabus and Exam Pattern 2023-2024
talentbattle.in
50+ Symmetry worksheets for 5th Class on Quizizz | Free & Printable
wayground.com
Duolingo Test Pattern 2025: Format and Question Types
yocket.com
L & T GET Exam Pattern 2022 | Larsen and Toubro Exam Pattern 2022 | L&T ...
telugutechlearners.in
Walking pattern and foot health detects your musculoskeletal lifespan ...
happywalk.in
Accenture Latest Syllabus & Pattern 2023-2024 | Talent Battle
talentbattle.in
TestAS Exam for Germany - Exam Pattern & Preparation Material
roadtoabroad.co.in
50+ Shape Patterns worksheets for 3rd Class on Quizizz | Free & Printable
quizizz.com
50+ Shape Patterns worksheets for 1st Class on Quizizz | Free & Printable
wayground.com
TOEFL Practice Test 2024: Download TOEFL Sample Question Paper PDFs Free!
shiksha.com
Engineers Platform RRB ALP PSYCHO ONLINE TEST SERIES RDSO PATTERN BASED ...
engineersplatformpsychotest.in
NCET 2023: Online application process begins, check test pattern and ...
odishatv.in
AFMC Syllabus, Check Entrance Exam Pattern, TOELR Test Syllabus
adda247.com
Maruti Suzuki to set up 12 automated driving test centres in Delhi ...
autocarpro.in
Hexaware Off Campus hiring for 2023 | Talent Battle
talentbattle.in
Duolingo English Test 2025 Registration: Check Duolingo Registration ...
shiksha.com
Memories - Test Patterns & Algorithms - Part 3
blog.digitalelectronics.co.in
Our Preferred Materials | Vivienne Westwood®
viviennewestwood.com
Buy Bitmap Preprocessing Strategy for Iceberg Query Evaluation Book ...
amazon.in
III. Subject wise Toughest and Easiest Shifts of SSC CGL 2018 Tier-1 Exam
qmaths.in
GI-BMP Limited Fertilizer Program- LECTURE and TEST (In Person ...
allevents.in
Test Ipp R Gratis - El formulario se puede rellenar en línea, imprimir ...
pdffiller.com
Buy Xtool M1 Test Grid DIY Cheat Sheet for Cutting and Engraving Online ...
etsy.com
Preparation Tips for New Pattern GRE Test for 2021
gtprep.in
Test: Nayanthara, R Madhavan And Siddharth Look Intense In New Poster ...
thedailyjagran.com
Buy SpectraCal VideoForge Pro, 4K HDR Test Pattern Generator Online at ...
desertcart.in
Memories - Test Patterns & Algorithms - Part 3
blog.digitalelectronics.co.in
view
aecsnarora.ac.in
SEGA (R) Master System: a visual compendium: Buy SEGA (R) Master System ...
flipkart.com
50+ Word Patterns worksheets for 3rd Class on Quizizz | Free & Printable
wayground.com
Maruti dealers and showrooms in Ahmedabad | Kiran Maruti
kiranmotors.co.in
Instrument charges, Test & Mode
saifora.iitb.ac.in
Class 2 IMO Sample Test on Patterns | Olympiad tester
olympiadtester.in
Research and Development
unigreen.in
Career Vision Ajmer RRB ALP PSYCHO ONLINE TEST SERIES Rdso pattern ...
careervisionpsychotest.in
How to Trade the Piercing & Dark Cloud Cover Candlestick Patterns
tradescape.in
Number Patterns Quiz [Freebie!] by Julie Kilger | TPT
teacherspayteachers.com
Podar International School CBSE std 8 Term 1 Science PaperPlz send if ...
brainly.in
Stream Vidya Uses Bone For DNA Test Season 1 Episode 1722 – Vidya Uses ...
hotstar.com
hospital pregnancy test | BabyCenter
community.babycenter.com
Testing Pregnancy At Home? Here’s Everything About Pregnancy Test Kits
apollopharmacy.in
Unit Test Patterns Extra Questions And Answers - Class 6 Mathematics ...
edurev.in
5 BMP jawans test COVID-19 positive, contact tracing being done
aninews.in
Memories - Test Patterns & Algorithms - Part 3
blog.digitalelectronics.co.in
Full Guide for Your Android Phone Pattern Lock
drfone.wondershare.com
6 Vital tests for rheumatoid arthritis diagnosis
bajajfinservhealth.in
Make A Pattern Worksheets | Repeated Patterns
twinkl.co.in
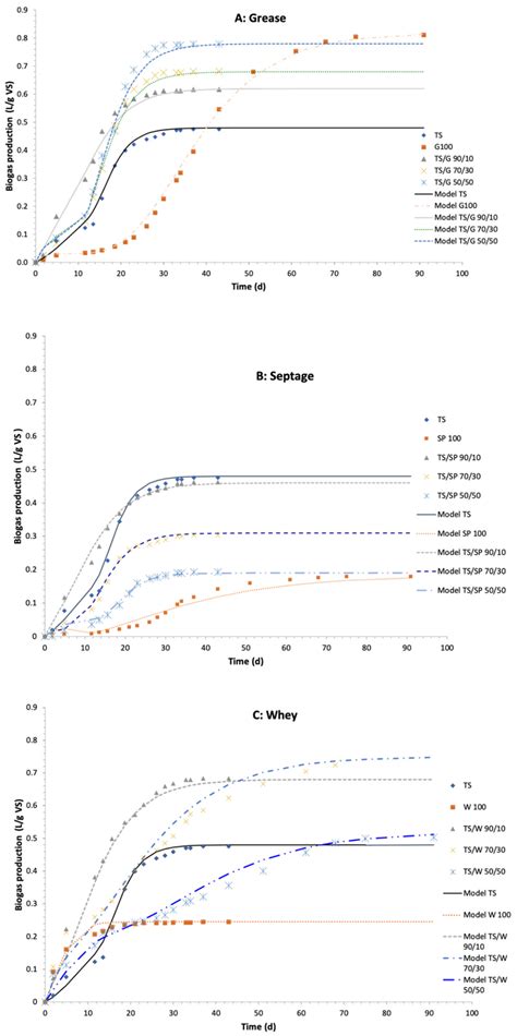
Co-Digestion of Extended Aeration Sewage Sludge with Whey, Grease and ...
mdpi.com
Adam's test for Scoliosis
openmed.co.in
Understanding the Widal Test: What You Need to Know
gunjanlab.com
Buy Crochet PATTERN Women Cable Shrug Bulky Sweater Cape Oversized ...
etsy.com
The British Academy Karnal | Ielts Institute Karnal | PTE Institute ...
thebritishacademy.in
US Military To Deploy Navy Ships, USS Gerald R Ford Closer To Israel To ...
timesnownews.com
F2L Method Explained: Why It Is Essential to Learn F2L to Solve Cube
cubelelo.com
Buy Eye Chart Wall Chart s for Eye Exams Wall Eye-chart E Flip Chart ...
desertcart.in
Interactive Bead String | Maths Resources (teacher made)
twinkl.co.in
OGGG.png
deckmount.in
11 Cool 3x3 Speed Cube Patterns With Notations | Atharva Bhat
cubelelo.com
Maruti Wagon R Price, Specs, Images, Colours & Reviews
autovista.in
AC/DC Test Bench| SCR Elektroniks
screlektroniks.com
Stream Biman to undergo DNA test Season 9 Episode 33 – Biman to undergo ...
hotstar.com
SmartSoC Solutions Office Photos | Glassdoor
glassdoor.co.in
Buy Crochet PATTERN Women Cable Shrug Bulky Sweater Cape Oversized ...
etsy.com
Fire Alarm Weekly Test Log
twinkl.co.in
Tv template Images - Free Download on Freepik
freepik.com
Earth Tester - Earth Resistance Test Set with Clamp Method Service ...
hitechcorporation.in
Amazon.in: R. J. Palacio: books, biography, latest update
amazon.in
Design Patterns: Elements of Reusable Object-Oriented Software eBook ...
amazon.in
Regulation 30 of SEBI LODR Regulations 2015
shyamspices.co.in
5 Metre Muslin Cotton Fabric for Draping, White : Amazon.in: Home & Kitchen
amazon.in
mpbse.nic.in BluePrint of Question Paper Class 10, 12th 2021 Syllabus ...
upjob.in
England announce schedule for three-match Test series against West Indies
scroll.in
Buy Crochet PATTERN Women Cable Shrug Bulky Sweater Cape Oversized ...
etsy.com
Virat Kohli Test Retirement: 14 साल बाद विराम! टेस्ट क्रिकेट से किंग ...
mpcg.ndtv.in
Buy polo gti orange - In stock
eurecat.in
Partial Discharge Test Set - Medium Voltage Partial Discharge ...
hitechcorporation.in
Oil Breakdown Voltage Test Set - Automatic Oil Breakdown Voltage Test ...
hitechcorporation.in
vision 6/9,6/9 means...what is the condition of our eyes in this vision ...
brainly.in
TEST CENTER
eprep.educorp.in
SSC GD Constable Previous Year Question Paper, Download PDFs
sscadda.com
Montre on sale avec calculatrice
metrorailnews.in
Hero Honda Karizma R - JungleKey.in Image
junglekey.in
GroundTruth Hiring 2023 & 2024 Batch
talentbattle.in
Ojas.guj.nic.in: Gujarat Govt Online Job Application: OJAS Bharti: UGC ...
ojas-gujnic.in
Related Searches
INR Test Meter
INR Lab Test
INR Blood Test Machine
INR Test Strips
PT/INR Test
What Is INR Blood Test
Blood INR Chart
INR Testing Machines for Home
INR Meaning
Normal INR Levels Chart
Prothrombin Time Test
Test Rapid INR
PTT Test
INR Monitoring Machine
High INR
INR Levels Normal Range
Elevated INR
INR Ratio
INR Values
Protime INR Blood Test
INR Blood Test Result
INR Meaning Medical
PT/INR Test Procedure
INR Test Kit
INR Formula
INR Clotting
Therapeutic INR
INR. Check
INR Scale
فحص INR
INR Measure at Home
aPTT and INR
Units for an INR Test
Coumadin INR Levels Chart
INR Tube
جهاز فحص INR
INR Blood Results
ภาพ INR Lavel
INR Medical Term
INR Calculation
PT/INR Calculator
mdINR
High INR Treatment
D-dimer Test
Coagulation INR Test
How Does INR Test Work
INR Medical Abbreviation
Solutie Test Aparat INR
INR Lab Test Unit
INR Test Strips CoaguChek
Search
×
Search
Loading...
No suggestions found