Find Your Style
Women
Men
Accessories
Search for clothing, brands, styles...
×
Women
Men
Accessories
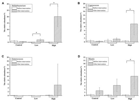
Blautia Probiotics
Search
Loading...
No suggestions found
Bacillus Subtilis Probiotic Products at price INR 500 in Ahmedabad ...
rajvibiotech.in
INR Full Form: What is full form of INR?
bankersadda.com
Bacillus Pumilus Probiotic Products at price INR 0 in Ahmedabad | RAJVI ...
rajvibiotech.in
Lactobacillus Rhamnosus Products at price INR 500 in Ahmedabad | RAJVI ...
rajvibiotech.in
Biodetoxification and Protective Properties of Probiotics
mdpi.com
Buy Foods For Gut Bacillus Subtilis Probiotic Powder 100 Billion cfu's ...
ubuy.co.in
Reducing Inflammatory Markers in Chronic Kidney Disease (CKD) - Role of ...
medicaldialogues.in
Nutraceuticals Prepared with Specific Strains of Probiotics for ...
mdpi.com
Role of Probiotics in Acute Gastroenteritis: Review
medicaldialogues.in
URIGREAT-D
janusbiotech.co.in
Warfarin and Antibiotics: Drug Interactions and Clinical Considerations
mdpi.com
NEUROBIOTIC I PS128 Probiotic I 60 Capsules | FunctionalMedClinic
functionalmedicineclinic.in
Anticoagulation in Acute Pulmonary Embolism: Which Drug? How Long ...
universimed.com
Encapsulated Probiotics for Non-Dairy Food Applications | Encyclopedia MDPI
encyclopedia.pub
Probiotics in Functional Dyspepsia
mdpi.com
Whey Protein – naturaltein
naturaltein.in
Evaluating the Role of Probiotics in the Prevention and Management of ...
mdpi.com
Treatment challenges in managing Gastroparesis related to PPI Use ...
medicaldialogues.in
Buy Nature's Bounty Acidophilus Probiotic Tablets, 100 Ct, 2 Pack ...
ubuy.co.in
Probiotics as alternative control measures in shrimp aquaculture: A review
jabonline.in
Buy Researched tionalsCoreBiotic Spore Probiotic - Dairy Free Probiotic ...
desertcart.in
Buy Probiotic Supplements ophilus Probiotic s High Strength - Digestive ...
desertcart.in
Nutrilite Pre and Probiotic Capsules
amway.in
Antibiotics Vs Probiotics - On Your Gut | MrMed
mrmed.in
Buy VELBIOM LACTOGUT UG PROBIOTICS FOR UTIS Online & Get Upto 60% OFF ...
pharmeasy.in
Kidygut 6 Billion Cells Vanilla Flavour Stick 1 gm Price, Uses, Side ...
apollopharmacy.in
Best Pre & Probiotics in India 2023 | Pre & Probiotics Price Online ...
nutrabay.com
Lactobacillus Salivarius Probiotic Supplement 240 Tablets 3 Billion Cfu ...
desertcart.in
Himalayan Organics Probiotics 35 Billion CFU with Prebiotics, 100 ...
apollopharmacy.in
Buy ZEROHARM GUT ARMY | PROBIOTICS SUPPLEMENT FOR MEN & WOMEN| 100 ...
pharmeasy.in
Buy Premium Probiotics 60 Billion CFU with Organic Prebiotics ...
ubuy.co.in
Buy ZEROHARM Gut Army Probiotics & Prebiotics supplements with Vitamin ...
amazon.in
Buy LIVEASY WELLNESS PROBIOTIC 25 BILLION CFU'S- IMPROVES DIGESTION ...
pharmeasy.in
Buy VELBIOM LACTOGUT UG PROBIOTICS FOR UTIS Online & Get Upto 60% OFF ...
pharmeasy.in
Buy Replenish The Good Daily Probiotic Adult Supplement w 6 Billion CFU ...
ubuy.co.in
FYTIKA HEALTHCARE PRODUCTS Vita 365,Multivitamin With Probiotics ...
amazon.in
Buy Swanson Bacillus Coagulans - Natural Probiotic Supplement ...
ubuy.co.in
Probiotics 50 Billion CFU: The Ultimate Guide to Gut Health 2025 ...
healthyhey.com
Buy AlignProbiotic Pro Formula, 1 Doctor Recommended Brand, Helps ...
desertcart.in
The Good Bug Metabolically Lean SuperGut Powder|Probiotics + L ...
amazon.in
Diagrammatically discuss the mechanism of action of probiotics and its ...
scoop.eduncle.com
Probiotic Foods for a Healthy Gut | Article
columbiacommunities.in
De Novo Synthesis of Poly(3-hydroxybutyrate-co-3-hydroxypropionate ...
mdpi.com
Bifidobacterium Longam Probiotic
rajvibiotech.in
Buy HIMALAYA FLORASANTE - 20 CAPSULES Online & Get Upto 60% OFF at ...
pharmeasy.in
Buy Designs for Health Probiotic Synergy Powder - 20B CFU Prebiotic ...
ubuy.co.in
Buy Probiotic Fibre Inulin Psyllium Husk Lactobacillus ophilus ...
desertcart.in
Buy Hasselblad Products Online at Best Prices in India | Ubuy
ubuy.co.in
Potential Prebiotic Effect of Cava Lees: Changes in Gut Microbiota
mdpi.com
Fytika Vita 365 | Multivitamin for Men & Women With Probiotics Vitamin ...
amazon.in
Buy Newtreesun Pre & Probiotic s | Prebiotic & Probiotic s | Probiotics ...
desertcart.in
Buy Her Own Probiotic Capsules, 11 Prebiotic Strains, Inulin Prebiotic ...
ubuy.co.in
Prebiotics and Probiotics: Uses, Benefits & Side effects
bajajfinservhealth.in
Buy PLIX Online & Get Upto 60% OFF at PharmEasy
pharmeasy.in
Buy ProbonixAdvanced Kids Probiotic for Children, Extra-Strength , Non ...
desertcart.in
Factor XI/XIa Inhibition: The Arsenal in Development for a New ...
mdpi.com
BumYoung Wellness Probiotics CFU Multi Strains Targeted Release ...
flipkart.com
Uro Vaginal Probiotics For Women Ph Balance With Prebiotics And ...
desertcart.in
Buy ZEROHARM GUT ARMY | PROBIOTICS SUPPLEMENT FOR MEN & WOMEN| 100 ...
pharmeasy.in
Ahem Orosoluble Pre-Probiotic & Immunobiotic Sachet, Oro-Dispersible ...
amazon.in
An oral probiotic might treat dry eye disease: Research
medicaldialogues.in
Garden of Life Dr. Formulated Probiotics Once Daily Women's -- 50 ...
vitacost.com
Wellbeing Nutrition Melts Into Active Probiotic Marvel, 30 Strips Price ...
apollopharmacy.in
Buy Mega Probiotics Capsules - The Best Gut Health Supplement – Genetic ...
geneticnutrition.in
TrueBasics Pre & Probiotics, For Digestion and Gut Health, with 30 ...
amazon.in
PREBIOTIC + PROBIOTIC + FUNGAL AMYLASE Capsules Bionics Herbals
company.pharmahopers.com
The 8 Best Whole-Body Deodorants of 2025
everydayhealth.com
Buy Probiotic and Prebiotic, Probiotic DE111™ and Prebiotic PreforPro ...
desertcart.in
Best Pre & Probiotics in India 2023 | Pre & Probiotics Price Online ...
nutrabay.com
How to Build Immunity During Seasonal Changes with Probiotics ...
yakult.co.in
Project on Probiotics - Introduction: - The term Probiotics is derived ...
studocu.com
Buy Maxi Health Hi-Po Dophilus - Probiotic Supplement - Lactobacillus ...
ubuy.co.in
Study on In Vitro Metabolism and In Vivo Pharmacokinetics of Beauvericin
mdpi.com
Top probiotic Products at best prices in Ahmedabad | RAJVI ENTERPRISE ...
rajvibiotech.in
Uses and SideEffects of Warfarin: What You Need to Know
medicoverhospitals.in
Buy CARBAMIDE FORTE MULTIVITAMIN WITH PROBIOTICS & ASHWAGANDHA- 180 ...
pharmeasy.in
Buy OptiBacProbiotics Saccharomyces Boulardii - Vegan Scientifically ...
desertcart.in
Top probiotic Products at best prices in Ahmedabad | RAJVI ENTERPRISE ...
rajvibiotech.in
Buy VELBIOM LACTOGUT UG PROBIOTICS FOR UTIS Online & Get Upto 60% OFF ...
pharmeasy.in
Vitamonklow Histamine Probiotics Fight Histamine Intolerance And ...
desertcart.in
Nimusulide 100 mg + Cetrizine Dihydrochloride 5 mg +Phenylphrine ...
janusbiotech.co.in
Nutrition : Probiotics : Probiotics Patient Education : Diseases and ...
pediatriconcall.com
Coagulation Analyzer - Micropoint Q3 Pro Electrometer PT-INR Wholesaler ...
r2healthcare.in
Drosophila as a Model Organism to Study Basic Mechanisms of Longevity
mdpi.com
Buy Wellbeing tion Daily Probiotics + Prebiotics | Improve sm ...
desertcart.in
Microbiome Labs MegaSporeBiotic Spore-Based Probiotics - Daily ...
desertcart.in
Effects of Different Doses of Fructooligosaccharides (FOS) on the ...
mdpi.com
Culturelle Kids Probiotics Multivitamin Plus Probiotic -- 60 Gummies ...
vitacost.com
Alterations in Gut Microbiota Composition in Patients with COVID-19: A ...
mdpi.com
India and Malaysia can now trade in Indian rupee
currentaffairs.adda247.com
Effects of Different Doses of Fructooligosaccharides (FOS) on the ...
mdpi.com
72HR Hydrating Gel Moisturizer + Probiotics
dotandkey.com
Amazon.in Bestsellers: The most popular items in Probiotics
amazon.in
Buy ZEROHARM GUT ARMY | PROBIOTICS SUPPLEMENT FOR MEN & WOMEN| 100 ...
pharmeasy.in
International Trade Settlement in Indian Rupee (INR)
taxguru.in
Gerber Good Start Soothe Comforting Baby Probiotic Drops for Dietary ...
walgreens.com
La Shield Intense Hydrating Probiotic Moisturizer Cream, 50 gm Price ...
apollopharmacy.in
Sundyota Numandis offers most researched probiotic product to India
biospectrumindia.com
Fermented Foods and Probiotics for Diabetes Management
everydayhealth.com
The Good Bug Pretty Smart SuperGut Powder | Pre & Probiotic Supplement ...
amazon.in
The Best Anti-Anxiety Supplements, Gummies & Foods
mensxp.com
Buy ZEROHARM GUT ARMY | PROBIOTICS SUPPLEMENT FOR MEN & WOMEN| 100 ...
pharmeasy.in
Buy Hyperbiotics Pro Dental Probiotic | Vegan Supplement with BLIS K12 ...
desertcart.in
8 Obat Stroke yang Efektif dan Tersedia di Apotik - Alodokter
alodokter.com
30 Billion Afu Akkermansia Muciniphila Probiotic For Gut Health ...
desertcart.in
Gut Microbiota & Probiotic Supplements - Gut Foundation
gutfoundation.org.in
In Vitro Characterization and Identification of Potential Probiotic ...
mdpi.com
Buy Culturelle Digestive Health Daily Probiotic Chewables, Probiotic ...
ubuy.co.in
Buy Proven Probiotics Lactobacillus & Bifidus Powder with A-Z Multis ...
desertcart.in
Best Online Shopping Store in Bangalore for Top Global Brands | Ubuy
ubuy.co.in
Simply Probiotic | Herbalife Nutrition INDIA
herbalife.co.in
Buy Jamieson Probiotic Chewable Strawberry Flavour 60 Tablets Online at ...
ubuy.co.in
Buy Akkermansia Probiotic with Prebiotic Fiber - Increases GLP-1 ...
desertcart.in
Glucosylceramide Changes Bacterial Metabolism and Increases Gram ...
mdpi.com
Indonesian Rupiah - Buy IDR Currency Online in India
makemytrip.com
HEALTHKART HK Vitals Multivitamin with Probiotics, With Vitamin C, B, D ...
flipkart.com
Buy Optibac Probiotics Immune Support - Vegan Probiotic Supplement with ...
desertcart.in
Probiotic and fermented kombucha alternatives to try for better gut health
lifestyleasia.com
Buy GNC MEGA MEN SPORT MULTIVITAMIN FOR MEN | 43 PREMIUM INGREDIENTS ...
pharmeasy.in
Buy Zeus Vet Gut Care Pre & Probiotics with Lactic Acid Gut Wellness ...
amazon.in
Related Searches
Blautia
Probiotics
Probiotika
Blautia Bacteria
Blautia Genus
Atoprin Probiotic
doTERRA Probiotics
Blautia Luti qPCR
Blautia Wexlerae
Composition of Blautia Selective Agar Medium
Blautia Producta ATCC 27340
Gut Biota Probiotics
Neubria Probiotic
Nature Made Probiotics
Peping Probiotic
Roseburia Probiotic
Best Probiotic for Diarrhea
Probiotic Optima
Blautia Dendrogram
Normia Probiotik
HIV Probiotics
Probiotics with Actinobacteria and Blautia
Blautia Hydrogenotrophica
Strengtia Probiotics
Shape Blautia Coccoides
Blautia High Altitude
Vaaalia Probiotics
Onevita Probiotics
Kinma Probiotics
Bacteria Blau Probiotics
Probiotics Blue Bottle
Omnilife Probiotic
Jovita Probiotisch
Blautiia in the Gut
Blautia Coccoides Primer
Santa Biota Probiotics
Streptococcus Salivarius K-12 Probiotic
Probiotica Plus
Blautia Against Bone Disease
Blautia Hansenii Primer
Probiotika Malta
Blautia Cultivate
60 Probiotic
Probiotic Jbiota
Italy Probiotics Bella Vita Yogurt
Probiotic Zentiva
Probiotika Liquid
How to Create Blautia Wexlerae Yougurt
Elite Probiotics Power
Probiotics PNG
Search
×
Search
Loading...
No suggestions found