Find Your Style
Women
Men
Accessories
Search for clothing, brands, styles...
×
Women
Men
Accessories
Bode Plot Second Order System
Search
Loading...
No suggestions found
Theory
evalidate.in
Theory
evalidate.in
Theory
evalidate.in
Calculations
evalidate.in
Theory
evalidate.in
Bode Plot - Control Systems - Electrical Engineering (EE) PDF Download
edurev.in
Bode Plot | Control Systems - Electrical Engineering (EE)
edurev.in
Ensuring Op Amp Stability with a Bode Plot | DigiKey
digikey.in
Modern control systems-64 - Table 8 Bode Diagram Plots for Typical ...
studocu.com
Bode Plot - Control Systems - Electrical Engineering (EE) PDF Download
edurev.in
Calculations
evalidate.in
Bode Plot | Control Systems - Electrical Engineering (EE)
edurev.in
Lecture 17 Secondordersystemresponse-Underdamped - Second order system ...
studocu.com
Virtual Labs
ce-dei.vlabs.ac.in
Stable Reduced-Order Model for Index-3 Second-Order Systems
mdpi.com
Mike Deffenbaugh
mikedeff.in
Theory
evalidate.in
Stable Reduced-Order Model for Index-3 Second-Order Systems
mdpi.com
Objectives_template
archive.nptel.ac.in
Mike Deffenbaugh
mikedeff.in
Linearized Transfer Entropy for Continuous Second Order Systems
mdpi.com
resonance.html
aero.iitb.ac.in
Time Domain Analysis of First Order and Second Order System - Control ...
edurev.in
Theory
evalidate.in
Linearized Transfer Entropy for Continuous Second Order Systems
mdpi.com
Linearized Transfer Entropy for Continuous Second Order Systems
mdpi.com
resonance.html
aero.iitb.ac.in
Time Domain Analysis of First Order and Second Order System - Control ...
edurev.in
Comprehensive Introduction To Bode Plots: GATE Control System Video ...
edurev.in
Linearized Transfer Entropy for Continuous Second Order Systems
mdpi.com
Time Domain Analysis of First Order and Second Order System - Control ...
edurev.in
Time Domain Analysis of First Order and Second Order System - Control ...
edurev.in
Underdamped System: Second Order System Video Lecture - Crash Course ...
edurev.in
Time Domain Analysis of First Order and Second Order System - Control ...
edurev.in
An under damped second order system having a transfer function of the ...
edurev.in
An under damped second order system having Transfer function ofthe ...
edurev.in
Frequency Response - Process Control - GATE Questions - with Solutions ...
msubbu.in
Dynamic Simulation and Control of Chemical Processes - using MATLAB ...
msubbu.in
Mike Deffenbaugh
mikedeff.in
Theory
evalidate.in
Time Domain Analysis of First Order and Second Order System - Control ...
edurev.in
Polar Plots | Control Systems - Electrical Engineering (EE) PDF Download
edurev.in
Magnitude and Phase of 2nd Order System: Step by Step Derivation in ...
edurev.in
Linearized Transfer Entropy for Continuous Second Order Systems
mdpi.com
Unit Impulse Response of 2nd Order System - Control Systems ...
edurev.in
Mastering Relative Stability Concepts Through Bode Plot In Control ...
edurev.in
Time Domain Analysis of First Order and Second Order System - Control ...
edurev.in
Time Domain Analysis of First Order and Second Order System - Control ...
edurev.in
Second-Order Model-Based Predictive Control of Dual Three-Phase PMSM ...
mdpi.com
Time Domain Analysis of First Order and Second Order System - Control ...
edurev.in
Theory
evalidate.in
Time Domain Analysis of First Order and Second Order System - Control ...
edurev.in
Time Domain Analysis of First Order and Second Order System - Control ...
edurev.in
Second-Order Model-Based Predictive Control of Dual Three-Phase PMSM ...
mdpi.com
Time Domain Analysis of First Order and Second Order System - Control ...
edurev.in
Unit Impulse Response of 2nd Order System - Control Systems ...
edurev.in
Time Domain Analysis of First Order and Second Order System - Control ...
edurev.in
Time Domain Analysis of First Order and Second Order System - Control ...
edurev.in
Time Domain Analysis of First Order and Second Order System - Control ...
edurev.in
Continuous-Time Second-Order Systems - 21 Continuous-Time Second-Order ...
studocu.com
Modern control engineering-36 - Section 5–3 / Second-Order Systems 165 ...
studocu.com
Time Domain Analysis of First Order and Second Order System - Control ...
edurev.in
Time Domain Analysis of First Order and Second Order System - Control ...
edurev.in
Time Response of Second Order System - Control Systems - Electrical ...
edurev.in
Order Of Reaction : Zero Order And First Order | Science Vision
sciencevision.in
Virtual lab
eil-iitg.vlabs.ac.in
Chapter 3: Introduction and Chapter Objectives [Analog Devices Wiki]
wiki.analog.com
Deep Dive Into Standard 2nd Order System Analysis: GATE Control System ...
edurev.in
First order low-pass filter
vlab.andcollege.du.ac.in
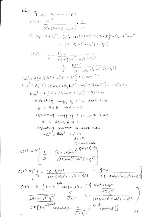
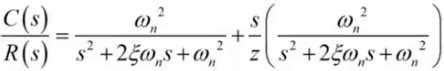
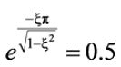
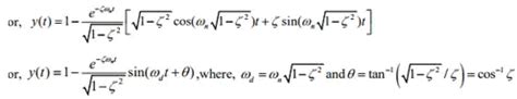
2nd order system - "Unit 1 Notes . - when (cs) .. kw. e Vuah'g corlt s ...
studocu.com
Time Domain Analysis of First Order and Second Order System - Control ...
edurev.in
Unit Impulse Response of 2nd Order System - Control Systems ...
edurev.in
Unit Impulse Response of 2nd Order System - Control Systems ...
edurev.in
Mike Deffenbaugh
mikedeff.in
Time Response of Second Order System - Control Systems - Electrical ...
edurev.in
2nd order system - "Unit 1 Notes . - when (cs) .. kw. e Vuah'g corlt s ...
studocu.com
Time Response of Second Order System - Control Systems - Electrical ...
edurev.in
Time Response of Second Order System - Control Systems - Electrical ...
edurev.in
vtudeveloper ->> Control Systems - BEC403
vtudeveloper.in
Simulation of Control Systems
vlabs.iitkgp.ac.in
Time Response of Second Order System - Control Systems - Electrical ...
edurev.in
2nd order system - "Unit 1 Notes . - when (cs) .. kw. e Vuah'g corlt s ...
studocu.com
Time Domain Analysis of First Order and Second Order System - Control ...
edurev.in
Zero, first and second order systems - getmyuni om 2 Instrument types ...
studocu.com
Time Response of Second Order System - Control Systems - Electrical ...
edurev.in
Time Response of Second Order System - Control Systems - Electrical ...
edurev.in
Time Response of Second Order System - GATE Notes and Videos for ...
edurev.in
Time Response of Undamped Second Order System for Step Unit Video ...
edurev.in
Respose of Differently Damped Second Order Systems for Unit Step Input ...
edurev.in
The standard 2nd order system in response to a unit step input shows ...
edurev.in
Chapter 3: Introduction and Chapter Objectives [Analog Devices Wiki]
wiki.analog.com
The standard 2nd order system in response to a unit step input shows ...
edurev.in
Draw the direct form structure for the second order system function ...
brainly.in
resonance.html
aero.iitb.ac.in
CS Notes 4 - Control system - Studocu
studocu.com
Time Response of Second Order System - Control Systems - Electrical ...
edurev.in
Buy Emergence and Embodiment: New Essays on Second-Order Systems Theory ...
amazon.in
Second Order Reaction: Example, Unit & Half Life | AESL
aakash.ac.in
vtudeveloper ->> Control Systems - BEC403
vtudeveloper.in
Virtual Lab
lakshya.vcetputtur.ac.in
Virtual Labs
ce-dei.vlabs.ac.in
Simple, yet Capable Simulation Software - SimApp
simapp.com
Time Response of Second Order System - Control Systems - Electrical ...
edurev.in
Block diagram reduction - Control systems - Studocu
studocu.com
Simulation of Control Systems
vlabs.iitkgp.ac.in
Order of Reaction - Definition, Types, Formula and Methods
careerpower.in
Control System Lab 1 - INDEX Experiment No. Title Page No. Obtain Root ...
studocu.com
Buy Emergence and Embodiment: New Essays on Second-Order Systems Theory ...
amazon.in
Coherent Integration for Radar High-Speed Maneuvering Target Based on ...
mdpi.com
Solving Problems On 1st and 2nd Order Systems: Key Focus For GATE ...
edurev.in
Control System Theory for GTU 18 Course (III - ELECTRICAL - 3130905 ...
technicalpublications.in
Derive integrated rate equation for second order reaction - Brainly.in
brainly.in
Time Response of First and Second Order System Video Lecture - Crash ...
edurev.in
Difference between 1st order and 2nd order control system? - EduRev ...
edurev.in
Difference between 1st order and 2nd order control system? - EduRev ...
edurev.in
A Fuzzy Design for a Sliding Mode Observer-Based Control Scheme of ...
mdpi.com
Sreelakshmi Manjunath
faculty.iitmandi.ac.in
Important graphs of Chemical Kinetics
chemca.in
Virtual Labs
asnm-iitkgp.vlabs.ac.in
Objectives_template
archive.nptel.ac.in
Related Searches
2nd Order System Bode Plot
Second Order Bode Plot
Bode Plot Control System
Second Order System Bode Phase Plot
Bode Plot of First Order System
Second Order System Bode Diagram
Bode Plot of a Typical Second Order System
Second Order Damping System Bode Plot
Fourth-Order Bode Plot
First Order Filter Bode Plot Low Pass
Second Order in Bode Form
Second Order Transfer Function Bode Plot
Bode Plot Formula
1st Order Bode Plot
Bode Plot Third Order System
Second Order System Equation
Q Factor Bode Plot
Bode Plot of Second Order Zero
Second Order Bode Plot Damping Ratio
Second Order Bode Plot Overshoot
High Pass Filter Bode Plot
Second Order System Response
Underdamped Bode Plot
System 1 Bode Plot
Bode Plot Second Roder
Unstable Bode Plot
First Order vs Second Order Bode Plot
Second Order Bode Plot of Decibal
Bode Plot System Rise Time
Overdamped System Bode Plot 2nd Orde
Bode Plot of Nonlinear System
Understanding Bode Plot
Bode Plot of 4th Order System
Bode Plot for DC Gain of Second Order System
First Order Tf Bode Plot
Bode Plot Stability
Bode Plot Simple
Bode Plot for Seceond Order High Pass
First Order LPF Bode Plot
Second Order Bode Plots with Explainations
Bode Plot for Second Order Lead Systems
Fractional Order Filter Bode Plot
Bode Plot of Second Order RLC Circuit
First Order Bode Plot vs Inverse
Bode Plot Peak Second Order System
How to Read Bode Plot
FRF First Order and Second Order System Bode Diagram
First Order System Simplified Bode Plot
Bode Plot Mass-Spring Damper
Nominal Form Second Order System
Search
×
Search
Loading...
No suggestions found