Find Your Style
Women
Men
Accessories
Search for clothing, brands, styles...
×
Women
Men
Accessories
Bohr Radius
Search
Loading...
No suggestions found
The normalized ground state wave function of a hydrogen atom is given ...
edurev.in
The radius of first Bohr orbit of hydrogen atom is 0.529 A - CBSE Class ...
ask.learncbse.in
The radius of the bohr orbit in the ground state of hydrogen atom is 0. ...
brainly.in
Atomic Radius - Type of Atomic Radii and Variations in Periodic Table
careerpower.in
The radius of second stationary orbit of electrons in bohr's atom is r ...
brainly.in
Chemistry Class 12 Structure of Atom - Check Definition, Formulas ...
collegedekho.com
Bohr Radius - B.tech CSE - Studocu
studocu.com
Derive the equation for radius of orbit of an electron according to ...
brainly.in
Which one of the following about an electron occupying the 1s orbital ...
tardigrade.in
The normalized ground state wave function of a hydrogen atom is given ...
edurev.in
If a0 is the Bohr radius of the hydrogen atom, then the radius of the ...
brainly.in
Using Bohr's postulates of the atomic model, derive the expression ...
ask.learncbse.in
In the ground state of H-atom, its Bohr’s radius is given as 5.3 x ...
ask.learncbse.in
For H-atom the Bohr radius for first orbit is 0.529 A - CBSE Class 11 ...
ask.learncbse.in
Niels Bohr Atomic Model Theory, Formula, Postulates for Class 11, 12
adda247.com
The radius of first bohr orbit of hydrogen atom is 0.529 a0. Calculate ...
brainly.in
If Anot represents the Bohr radius, then find de Broglie wavelength of ...
brainly.in
Ex. if the radius of 2nd bohr orbit of hydrogen atom is r. the radius ...
scoop.eduncle.com
What is the value of Bohr's radius for the first orbit of hydrogen ...
ask.learncbse.in
Radius of first bohr's orbit of hydrogen atom is 0.53 a then the radius ...
brainly.in
The ratio of the radius of first bohr orbit to that of second bohr ...
brainly.in
The radius of the first bohr orbit of hydrogen atom is 0.59. The radius ...
brainly.in
Radius of first bohr's orbit of hydrogen atom is 0.53 a then the radius ...
brainly.in
The radius of first Bohr orbit of hydrogen atom is 0.529 A - CBSE Class ...
ask.learncbse.in
Taking the Bohr radius as a0 = 53 pm, the radius of Li++ ion in its ...
edurev.in
Using Bohr's postulate, derive the expression for the radius of nth ...
brainly.in
Derive an expression for the radius of nth bohr's orbit in hydrogen ...
brainly.in
2.8. consider the bohr model of the hydrogen atom. if a is the fine ...
scoop.eduncle.com
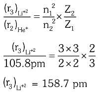
If radius of second Bohr orbit of the He +ion is 105.8 pm, what is the ...
tardigrade.in
Which one of the following represents the 3p radial wave function of ...
edurev.in
Which one of the following represents the 3p radial wave function of ...
edurev.in
anglular momentum of an electron revolving in bohr's orbit is 2h/pi ...
brainly.in
Chemistry calculate the bohr exciton radius for the exciton in ga as ...
scoop.eduncle.com
Derive the expression for the radius of the nth orbit of hydrogen atom ...
ask.learncbse.in
If radius of second Bohr orbit of the He+ ion is 105.8 pm, what is the ...
edurev.in
Bohr radius for hydrogen atom ( n=1) is approximately 0.530 angstroms ...
brainly.in
If radius of second Bohr orbit of the He+ion is 105.8pm, what is the ...
edurev.in
If radius of second Bohr orbit of the He+ ion is 105.8 pm, what is the ...
brainly.in
10. According to Bohr principle, relation between main quantum number n ...
brainly.in
The de broglie wavelength of an electron in n^th bohr orbit of radius ...
brainly.in
In Bohr's model of hydrogen atom, which of the following curve best ...
tardigrade.in
The electron of a hydrogen atom is in its nth Bohr orbit having de ...
scoop.eduncle.com
the radius of the first bohr orbit of hydrogen atom is 0.529 A°. the ...
brainly.in
the ratio of radius of second orbit of H to the radius of first orbit ...
brainly.in
Magnetic Field Formula - Definition, Equations, Examples
adda247.com
Prove that the radius of nth bohr's orbit of an atom is directly ...
brainly.in
In a hydrogen atom, the radius of nth Bohr orbit is rn. The graph ...
tardigrade.in
If ao be the radius of first bohr's orbit of hydrogen atom, then the de ...
brainly.in
If the radius of the first bohr's orbit of hydrogen atom is 'r',the ...
brainly.in
In a hydrogen atom, the radius of nth Bohr orbit is rn. The graph ...
tardigrade.in
Consider Bohr's theory for hydrogen atom. The magnitude of angular ...
allen.in
Using bohr's theory derive expression for (a) the radius of the nth ...
brainly.in
The bohr orbit radius for the hydrogen atom (n = 1) is 52.9 pm. The ...
brainly.in
The electron of a hydrogen atom is in its nth Bohr orbit having de ...
edurev.in
If the radius of 2nd Bohr orbit of hydrogen atom is r2 .The radius of ...
brainly.in
if the radius if 5th bohr orbit of Li is 'x' calculate 3rd bohr orbit ...
brainly.in
The bohr orbit radius for the hydrogen atom (n = 1) is 52.9 pm. The ...
brainly.in
According to bohr model,the radius of electron orbit in the n=1 level ...
brainly.in
the radius of which of the following orbit is same as that of second ...
brainly.in
Show that the electron revolving around the nucleus in a radius V ...
ask.learncbse.in
The kinetic energy of an electron in the second Bohr orbit of a ...
tardigrade.in
de Broglie Wavelength- Definition, Equation, Derivation, Examples
adda247.com
The radius of first bohr orbit is x, then de-broglie wavelength of ...
brainly.in
Using bohr's theory derive expression for (a) the radius of the nth ...
brainly.in
THE RADIUS OF THE THIRD BOHR ORBIT FOR HYDROGEN IS 4.5 A.THE RADIUS OF ...
brainly.in
if the radius of first bohr orbit of hydrogen atom is X then the radius ...
brainly.in
22. If the radius of 3rd Bohr's orbit of H is x, then radius of 4th ...
brainly.in
Derive and expression of the radius of nth bohr orbit in hydrogen atom ...
brainly.in
The Li2+ ion is a hydrogen like ion that can be described by the Bohr ...
brainly.in
Using the formula for the radius of nth orbit `r_(n)=(n^(2)h^(2)epsi_(0 ...
allen.in
The wave function, ψ n , l, m ℓ is a mathematical function whose value ...
tardigrade.in
The approximate value of quantum number n for the circular orbit of ...
brainly.in
In first excited state of hydrogen atom, radius is found to be 21.2 ...
brainly.in
The radius of the first bohr orbit of hydrogen atom is 0.59. The radius ...
brainly.in
The radius of first bohr orbit of hydrogen atom is 0.529 a0. Calculate ...
brainly.in
Bohr's Model and Electron distribution or Electronic configuration ...
yaclass.in
Atomic Structure -JEE Advanced Previous Year Questions with Solutions
esaral.com
The ratio of kinetic energy and total energy of an electron in a bohr ...
brainly.in
To calculate the size of a hydrogen ion using the Bohr's model, we ...
tardigrade.in
A particle is moving on a circular path of radius r with uniform speed ...
edurev.in
the radius of first bohr Orbit for hydrogen is 0.53 Amsterdam the ...
brainly.in
Fluid Machinery
archive.nptel.ac.in
Close Packed Structures, Packing Efficiency and Imperfections in Solids ...
edurev.in
The kinetic energy of an electron in the second Bohr orbit of a ...
tardigrade.in
Radius of current carrying coil is 'R'. Then ratioof magnetic fields at ...
brainly.in
Show that the circumference of the Bohr orbit for the hydrogen atom is ...
brainly.in
Time taken for an electron to complete one revolution in the bohr orbit ...
brainly.in
If the radius of the first bohr's orbit of hydrogen atom is 'r',the ...
brainly.in
The wave function is a mathematical function whose value depends upon ...
edurev.in
On the basis of Heisenberg uncertainty principle, show that electrons ...
ask.learncbse.in
find the ratio of time period of 2nd bohr orbit of He+ ion and 4th bohr ...
brainly.in
Twenty seven solid iron spheres, each of radius r and surface area S ...
ask.learncbse.in
Excess Pressure Inside Liquid Drop & Soap Bubble | AESL
aakash.ac.in
Draw a Neat and Labelled Energy Level Diagram and Explain Balmer Series ...
shaalaa.com
A right circular cylinder just encloses a sphere of radius r - CBSE ...
ask.learncbse.in
A uniform sphere (mass M , radius R ) exerts a force F on a small mass ...
tardigrade.in
The de-broglie's wavelength of electron present in first bohr orbit of ...
brainly.in
What is the ratio of velocity of electron in the 2nd and 3rd Bohr orbit ...
brainly.in
the ratio of the radius of 2nd orbit of Li2+ to that of 3rd orbit of ...
brainly.in
A hydrogen atom (bohr radius is half an angstrom) is situated between ...
brainly.in
Moment of Inertia of Uniform Disc, Rectangular Lamina & Hollow Cylinder ...
aakash.ac.in
In the figure shown below, a conductor consists of seven identical ...
edurev.in
The wave function, Ψn,l,ml is a mathematical function whose
tardigrade.in
Calculate the ratio of frequency in e- in Bohr's 2nd Orbit of Li2+ and ...
brainly.in
calculate radius of bohr's third orbit for hydrogen atom(in armstrong ...
brainly.in
[Solved] in hydrogen atom, the de Broglie wavelength of an electron in ...
brainly.in
Excess Pressure Inside Liquid Drop & Soap Bubble | AESL
aakash.ac.in
A body is moving along the circumference of a circle of radius ‘R’ and ...
brainly.in
If ao be the radius of first bohr's orbit of hydrogen atom, then the de ...
brainly.in
Using bohr's postulates of the atomic model derive the expression for ...
brainly.in
If the bohr radius is a then what is the most probable value of r in ...
brainly.in
A particle moving in a circle of radius R with a uniform speed takes a ...
edurev.in
(a) Give the schematic atomic structures of chlorine atom and chloride ...
allen.in
In Kp = Kc[RT]^Δn , Δn may have
toppr.com
A disc of radius R is removed from a disc of radius 2R as shown - CBSE ...
ask.learncbse.in
The value of ground state energy of hydrogen atom is -13.6 e V - cbse ...
ask.learncbse.in
Which of the following graphs shows the variation of electric field E ...
brainly.in
Explain bohr's model? - Brainly.in
brainly.in
A sphere, a cylinder and a cone are of the same radius and same height ...
edurev.in
A thin semicircular conducting ring of the radius R is falling with its ...
tardigrade.in
Related Searches
Bohr Radius Formula
Radius Bohr Model
Radius of Bohr Atom
Bohr Postulates
Hydrogen Bohr Diagram
Bohr Radius Equation
Radium Bohr Diagram
Radius of Bohr Orbit
Exciton Bohr Radius
Postulates of Bohr Atomic Model
Radius of Nth Orbit
Bohr Radius A0
Derivation of Bohr Radius
N Bohr Model
Bohr Model Orbits
Effective Bohr Radius
Bohr Circular Orbit
Bohr Theory Formula
Niels Bohr Atomic Model
Charts of Bohr Radius
Bohr Radius Constant
Bohr Angle
Excition Bohr Radius
Bohr Radius Expression
Bohr Theory of Atoms
Bohr Radius Cdse
Electron Radius
Bohr Radius AB
Units of Bohr Radius
Bohr Energy Equation
Symbol for Bohr Radius
Quantum Confinement Bohr Radius
What Is N in Bohr Radius
Bohr Planetary Model
Bohr Radius Formua
Isotope Bohr Radius
Rydberg Formula
Hydrogen Bohr-Rutherford Diagram
7th Bohr Radius
Strontium Bohr Model
Ground State
Bohr Radius Ao Formula
Orbital Radius Equation
Bohr Radius Stationary Waves
Beryllium Oxide
Radius of First Bohr Orbit of Hydrogen Atom
Structure of Atom Bohr Model
Radius of the Bohr Oirbit
Rumus Radius Bohr
Bohr Radius General Expression
Search
×
Search
Loading...
No suggestions found