Find Your Style
Women
Men
Accessories
Search for clothing, brands, styles...
×
Women
Men
Accessories
Brayton Cycle Process
Search
Loading...
No suggestions found
An Overview of Real Gas Brayton Power Cycles: Working Fluids Selection ...
mdpi.com
Home | Spirit of Time
spiritoftime.co.in
Simulation and Evaluation on the Dynamic Performance of a Cryogenic ...
mdpi.com
Power Plant Cycles: Evolution towards More Sustainable and ...
mdpi.com
New Knowledge on the Performance of Supercritical Brayton Cycle with ...
mdpi.com
New Knowledge on the Performance of Supercritical Brayton Cycle with ...
mdpi.com
Power Plant Cycles: Evolution towards More Sustainable and ...
mdpi.com
Thermodynamic Analysis of an Irreversible Maisotsenko Reciprocating ...
mdpi.com
Air standard Brayton cycle
home.iitk.ac.in
Efficient Heat Exchange Configuration for Sub-Cooling Cycle of Hydrogen ...
mdpi.com
An Overview of Real Gas Brayton Power Cycles: Working Fluids Selection ...
mdpi.com
Comparative Performance Evaluation of Gas Brayton Cycle for Micro ...
mdpi.com
Prospects of Mixtures as Working Fluids in Real-Gas Brayton Cycles
mdpi.com
Comparative Performance Evaluation of Gas Brayton Cycle for Micro ...
mdpi.com
Power Plant Cycles: Evolution towards More Sustainable and ...
mdpi.com
Consider a gas turbine power plant operates on the simple Brayton cycle ...
edurev.in
Modeling of an Organic Rankine Cycle Integrated into a Double-Effect ...
mdpi.com
Thermodynamics cycles: Brayton cycle Video Lecture - Crash Course: GATE ...
edurev.in
Design and Evaluation of a High Temperature Phase Change Material ...
mdpi.com
Power Plant Cycles: Evolution towards More Sustainable and ...
mdpi.com
Carnot Vapour compression Refrigeration cycle
home.iitk.ac.in
Morse test is used to determine the I.P. of a
mcqfinder.in
Brayton Cycle practice problems - Brayton Cycle: Practice problems ...
studocu.com
In the below given process,R and T indicates a process,identify this ...
brainly.in
Thermodynamics Quiz: Extensive Properties & Brayton Cycle Analysis ...
studocu.com
Ideal Rankine Cycle
home.iitk.ac.in
In the rankine cycle the heat rejection process takes place at constan ...
zonetech.in
Understand The Business Process Management Life Cycle | Nected Blogs
nected.ai
New Product Development (NPD) Stages - College Hive
collegehive.in
Otto cycle problem - 8-33 An ideal Otto cycle with air as the working ...
studocu.com
Life Cycle Assessment (LCA) of Different Kinds of Concrete Containing ...
mdpi.com
Menstrual cycle notes - Reproductive system - HUMAN REPRODUCTION -Part ...
studocu.com
Heat Treatment Processes
studymeta.com
Carbon Cycle, Diagram, Steps, Definition in Biology
adda247.com
Order Management in Supply Chain - Improve Supply Chain Efficiency
enterslice.com
Carbon Cycle, Diagram, Steps, Definition in Biology
adda247.com
Practical Maintenance » Blog Archive » Heat Treatment of Steel
practicalmaintenance.net
Hydrologic Cycle Wallpaper – Myindianthings
myindianthings.com
Practical Maintenance » Blog Archive » Heat Treatment of Steel
practicalmaintenance.net
Carbon Cycle: Balancing Carbon on the Planet
sssi.in
Entropy
home.iitk.ac.in
Catalyst Recycling in the Suzuki Coupling Reaction: Toward a Greener ...
mdpi.com
What is Process States in Operating System - Operating System Tutorial
sitesbay.com
Ques15, What is an IPO cycle? Draw the block diagram of IPO cycle ...
brainly.in
Accounts Payable Cycle: What is the Full Cycle Accounts Payable Process?
clear.in
Study the given flow chart and identify the process P, Q, R and S ...
brainly.in
Draw two examples that can be compared with ipo cycle - Brainly.in
brainly.in
Nitrogen Cycle A Level Worksheet | Biology | Beyond
twinkl.co.in
Temperature — lesson. Social Science, Class 8.
yaclass.in
What is Accounting Cycle & How Does it Work? | 5 Step Process
navi.com
Documentary Collection Process In International Trade
dripcapital.com
Rankine cycle comprises ofa)two isentropic processes and two constant ...
edurev.in
Factor Design for the Oxide Etching Process to Reduce Edge Particle ...
mdpi.com
Water Cycle: Process, Stages and Diagram
jagranjosh.com
Water Cycle Diagram, Process and Model
careerpower.in
draw a well label diagram of carbon cycle - Brainly.in
brainly.in
What Is The Water Cycle For Kids? | Water Cycle Facts
twinkl.co.in
Carbon Cycle: Definition, Process and Types
careerpower.in
மாதவிடாய் சுழற்சி – அண்டம் விடுபடுதல் | Menstrual Cycle-Process of ...
brainkart.in
How to establish an MFI in India - Complete Overview
enterslice.com
r Medial Words Sound Mat - Speech Pathology (teacher made)
twinkl.co.in
describe the steps and processes involved in the nitrogen cycle ...
brainly.in
draw a diagram of communication cycle and explain it - Brainly.in
brainly.in
What is CRM process? 5 steps + main components | Zendesk India
zendesk.com
Ammonia Gas : Preparation and Properties|Chemistry Page
chemistrypage.in
How to run a successful discovery | Thoughtworks India
thoughtworks.com
Carbon Cycle- A Biogeochemical Process [1 min read]
fairgaze.com
Export Logistics and its Process explained with a Flowchart
dripcapital.com
The Agile Software Development Life Cycle: What is Agile SDLC and How ...
1985.co.in
Sales Stages - Sales cycle stages : SalesBabu.com
salesbabu.com
Application Lifecycle Management
webrings.in
7 stages of sales cycle and how to use it to close deals | Zendesk India
zendesk.com
Business Cycles – Hawtrey’s Monetary Theory of Business Cycles – Aim ...
ecoaim.in
With the help of neat and labelled diagrams explain the hydrological ...
brainly.in
water cycle process and its diagram for class 7 - Brainly.in
brainly.in
Explain the IPO cycle with diagram - Brainly.in
brainly.in
Process Costing 4 - Manufacture and sell their chemicals produced by ...
studocu.com
The She Devil eBook : Burton, R L: Amazon.in: Kindle Store
amazon.in
What is sales and operations planning (S&OP)? Complete guide
zendesk.com
Business Process Reengineering & Change... by B.R.Dey
amazon.in
The Machine Learning Life Cycle Explained | DataCamp
1985.co.in
R & D | lLabogens Fine Chem Industry
labogens.com
Bug Life Cycle in Software Testing
thetestingsquad.in
What is R and D
investindia.gov.in
Shri R Venkataraman | President of India
presidentofindia.nic.in
Water Cycle Diagram for Kids of Class 3 with Explanation
adda247.com
R & D - P. G. & Brothers Pvt. Ltd. from Bhavnagar Gujarat India
pgfiber.co.in
Life Cycle Of A Red Panda Pets On, 51% OFF | www.elevate.in
elevate.in
Water Cycle Diagram for Kids of Class 3 with Explanation
adda247.com
Explain schematic ray diagram of nitrogen cycle - Brainly.in
brainly.in
Le cycle de vie des abeilles - Twinkl
twinkl.co.in
Deep Sleep vs Light Sleep: What Is Most Important!
theworldofplay.com
Maruti dealers and showrooms in Ahmedabad | Kiran Maruti
kiranmotors.co.in
Routemybook - Buy Production Technology [Manufacturing Processes ...
routemybook.com
China Railway International (U.K.) Company announced that it expects to ...
in.marketscreener.com
Steel Exchange India Ltd
seil.co.in
Full Cycle Accounts Payable : Meaning, Process flow, Advantages of ...
clear.in
Butterfly Life Cycle: Four Stages of Butterfly Metamorphosis Explained ...
jagranjosh.com
V R Process Engineering Consultants Pvt. Ltd. Chennai - Oleochemical ...
vrprocessengineering.co.in
English CAPS Planning and Record Sheet - Grade R
twinkl.co.in
Buy Elementary Principles of Chemical Processes Book Online at Low ...
amazon.in
Buy Chemical Engineering Design: Principles, Practice and Economics of ...
amazon.in
Please give me explanation on jal chakra in hindi to make a project ...
brainly.in
LCA Study Services, Life Cycle Assessments, Analysis Studies, India
lifecycleassessment.in
Explain the water cycle step by step - Brainly.in
brainly.in
5 saal ke baccho ki cycle Cheaper Than Retail Price> Buy Clothing ...
hlc.edu.in
COMMON TASK REPORT -1 | UVCE MARVEL
hub.uvcemarvel.in
Manufacturing Process of GC Sheets by JSW Vishwas
jswcoatedsteel.in
Mastering Sector Rotation Strategy in the Business Cycle | Wright Blogs
wrightresearch.in
La Salle honors Trinity Catholic Academy state athletes, unveils ...
shawlocal.com
How to change GST registration details of a business?
cleartax.in
Le cycle de vie d'une libellule - poster
twinkl.co.in
How to Make Turtle Diagram for Health and Safety? – QUALiTYViVA- Vivek ...
vivekshrouty.in
Life Cycle of a Wombat Display Poster | Australian Animals
twinkl.co.in
The Life Cycle of a Flowering Plant Poster for 3rd-5th Grade
twinkl.co.in
Duck Life Cycle Large Poster
twinkl.co.in
Maruti WagonR LXI CNG Optional On-Road Price, Specs , Features & images
autovista.in
2023 Honda Civic Type R unveiled as the most powerful model in 30 years ...
overdrive.in
Manufacturing Processes for Engineering Materials Sixth Edition: Buy ...
flipkart.com
Maruti Suzuki Wagon R CNG LXi price, specs, mileage, colours, photos ...
carz4sale.in
Related Searches
Reverse Carnot Cycle
Simple Brayton Cycle
Brayton Cycle Power Plant
Brayton Cycle Process
Brayton Cycle Gas Turbine
Brayton Cycle Equations
Reversed Brayton Cycle
Reverse Cycle Heating
Brayton Cycle PV
Brayton Cycle T-s Diagram
Open Brayton Cycle
Brayton Cycle Schematic/Diagram
What Is Brayton Cycle
Brayton Cycle Engine
Brayton Cycle with Regeneration
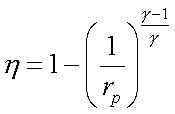
Brayton Cycle Efficiency Formula
Reverse Brayton Cycle Refrigeration Machine
Reheat Brayton Cycle
Actual Brayton Cycle
Simple Ideal Brayton Cycle
Theoretical Brayton Cycle and Real Brayton Cycle
Brayton Cycle Example
Regenerator in Brayton Cycle
Reverse Brayton Ccyle
Brayton Cycle with Intercooling
Turbine Engine Employing the Brayton Cycle
Diffuser Brayton Cycle
Brayton Cycle 6 Stages
Brayton Cycle Air Conditioner
Brayton Cycle Equation Sheet
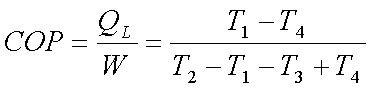
Reverse Brayton Cycle Cop
Reverse Brayton Cycle in LNG PRS
Reverse Brayton Cooler Design
Reverse Brayton Cycle Derovation
Formula Sheet for Brayton Cycle
Brayton Cycle Hot Gases
Brayton Cycle Logo
Reverse Brayton Cooler in Space
Reverse Brayton Cycle Problem
Brayton Cycle Chart Formula
Heat Setting Icon On a Reverse Cycle
Brayton Cycle Heat Pump
The Turbojet as a Brayton Cycle
Ciclo Brayton
Brayton Cycle with Reheating Pvgraph
Reverse Brayton Unit LNG
Reverse Brayton Cycle and Graph
Components of a Brayton Cycle Engine
Brayton Cycle with Heat Exchanger
Three Main Components of a Brayton Cycle Engine
Search
×
Search
Loading...
No suggestions found