Find Your Style
Women
Men
Accessories
Search for clothing, brands, styles...
×
Women
Men
Accessories
Bynomial Table
Search
Loading...
No suggestions found
Beautiful Table Lamps Under INR 10K
lbb.in
JZ - 167B-F98B DINING TABLE Products at price INR 0 in Madurai | AK ...
akfurn.in
JZ - 167B-F98B DINING TABLE Products at price INR 0 in Rajapalayam | AK ...
akfurn.in
JZ - 167B-F98B DINING TABLE Products at price INR 0 in Madurai | AK ...
akfurn.in
JZ - 167B-F98B DINING TABLE Products at price INR 0 in Madurai | AK ...
akfurn.in
What Is PT INR Normal Range and How Can Ayurveda Help Support Healthy ...
ask-ayurveda.com
KRW1 to INR Calculator | Convert Krw1 to INR at Live Rates | BingX
bingx.com
Optimal INR Target Range for Atrial Fibrillation
journal.rouleur.cc
DW - OVAL DINING TABLE Products at price INR 0 in Madurai | AK Furniture
akfurn.in
2016 to INR Calculator | Convert 2016 to INR at Live Rates | BingX
bingx.com
Binomial Tables for - Binomial Distribution Tables P(X = x) 0 0 0 0 0 0 ...
studocu.com
R sample code for implement Binomial Distribution | S-Logix
slogix.in
R sample code for implement Binomial Distribution | S-Logix
slogix.in
Appendix table A - Use this!! - 726 Appendix A Statistical Tables and ...
studocu.com
Binomial Table - Fill and Sign Printable Template Online
uslegalforms.com
Binomial Probabilities - p n = 1 0 0 0 0 0 0 0 0 0 0 0 0. 15 1 1 1 1 1 ...
studocu.com
Negative Binomial Distribution implementation in R | S-Logix
slogix.in
Negative Binomial Distribution implementation in R | S-Logix
slogix.in
R sample code for implement Binomial Distribution | S-Logix
slogix.in
Binomial Theorem- Definition, Formula, Proof, Examples, PDF
adda247.com
Negative Binomial Distribution implementation in R | S-Logix
slogix.in
Understanding Binomial Probability Distribution - India Dictionary
1investing.in
LaTeX in R Markdown
mrinalcs.github.io
MA3391 P&S-Study Materials - STATISTICAL TABLES ST1 Cumulative Binomial ...
studocu.com
Standard Distributions - Binomial, Poisson, Geometric, Uniform ...
ece.poriyaan.in
One way Anova manually in r
mrinalcs.github.io
Binomial theorem and logarithm - BINOMIAL THEOREM In NDA exam ...
studocu.com
Standard Distributions - Binomial, Poisson, Geometric, Uniform ...
ece.poriyaan.in
Standard Distributions - Binomial, Poisson, Geometric, Uniform ...
ece.poriyaan.in
Standard Distributions - Binomial, Poisson, Geometric, Uniform ...
ece.poriyaan.in
Standard Distributions - Binomial, Poisson, Geometric, Uniform ...
ece.poriyaan.in
What is Binomial Theorem - Arjunaa Academy Blog
aaaedu.in
Standard Distributions - Binomial, Poisson, Geometric, Uniform ...
ece.poriyaan.in
Rules of Binomial Nomenclature - The rules were revised again by the ...
studocu.com
Mean and Standard Deviation of Binomial Distribution, Business ...
edurev.in
Binomial Theorem- Definition, Formula, Proof, Examples, PDF
adda247.com
How to Interpret a Correlation Coefficient r - India Dictionary
1investing.in
Introduction to the Binomial Distribution Chapter Notes - AP Statistics ...
edurev.in
Understanding Binomial Probability Distribution - India Dictionary
1investing.in
6. Binomial Theorem And Its Simple Applications - 01 If 3 4 6 4 k is ...
studocu.com
Binomial distribution: Examples Solved Problems - Random variables
eee.poriyaan.in
50+ binomial theorem worksheets on Quizizz | Free & Printable
wayground.com
Binomial Theorem, Class 11 Mathematics NCERT Solutions
evidyarthi.in
Binomial Theorem, Class 11 Mathematics NCERT Solutions
evidyarthi.in
How to use tables of normal distribution - India Dictionary
1investing.in
Binomial Theorem, Class 11 Mathematics NCERT Solutions
evidyarthi.in
Q14. If X follows a binomial distribution with mean 3 and variance 3/2 ...
appliedmaths.in
Q14. If X follows a binomial distribution with mean 3 and variance 3/2 ...
appliedmaths.in
Q15. If the sum of the mean and the variance of a binomial distribution ...
appliedmaths.in
Standard Distributions - Binomial, Poisson, Geometric, Uniform ...
ece.poriyaan.in
Q15. If the sum of the mean and the variance of a binomial distribution ...
appliedmaths.in
Binomial distribution - Random variables
eee.poriyaan.in
Standard Distributions - Binomial, Poisson, Geometric, Uniform ...
ece.poriyaan.in
Binomial distribution - Random variables
eee.poriyaan.in
Binomial distribution: Examples Solved Problems - Random variables
eee.poriyaan.in
Q4. If the mean of a binomial distribution is 20 and its standard ...
appliedmaths.in
What is binomial nomenclature? Who introduced it - Brainly.in
brainly.in
50+ binomial theorem worksheets on Quizizz | Free & Printable
wayground.com
Binomial Tables for - Binomial Distribution Tables P(X = x) 0 0 0 0 0 0 ...
studocu.com
Binomial distribution: Examples Solved Problems - Random variables
eee.poriyaan.in
Consider the following statements Statement I The probability of x ...
tardigrade.in
Binomial distribution: Examples Solved Problems - Random variables
eee.poriyaan.in
Standard Distributions - Binomial, Poisson, Geometric, Uniform ...
ece.poriyaan.in
binomial theorem and Pascale triangle binomial theorem and Pascale ...
brainly.in
50+ binomial theorem worksheets on Quizizz | Free & Printable
wayground.com
Binomial distribution - Random variables
eee.poriyaan.in
Binomial Nomenclature — lesson. Science State Board, Class 8.
yaclass.in
Use the following Normal Distribution table to calculate the area under ...
ask.learncbse.in
Tables of the Cumulative Binomial Probability Distribution for Small ...
amazon.in
Standard Distributions - Binomial, Poisson, Geometric, Uniform ...
ece.poriyaan.in
50+ binomial theorem worksheets for 12th Class on Quizizz | Free ...
quizizz.com
Latches - Synchronous Sequential Logic - Digital Principles and ...
cse.poriyaan.in
NCERT Solutions Class 11 Maths Chapter 7 - Binomial Theorem
edurev.in
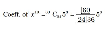
If the coefficient of x 10 in the binomial expansion of ((√x/5(1)4)+(√5 ...
tardigrade.in
Rupee Depreciation: Will India's Exports Stand To Gain? | Investing.com ...
in.investing.com
Mansha || Product details
vishakhamehra.in
Zenda Table – Bay Window
baywindow.co.in
Buy Fiddlys Wooden Money/Piggy Bank, Money Coin Box for Kids/Children ...
amazon.in
Q14. If X follows a binomial distribution with mean 3 and variance 3/2 ...
appliedmaths.in
Balaji Furniture -08048127650 in Charholi
balajifurnitures.in
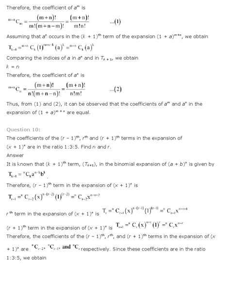
In the expression of (a+b)n, where n=0,1,2,3,4, we get a pattern in the ...
tardigrade.in
Tables thermodynamiques - PROPERTY TABLES AND CHARTS TABLE A– Saturated ...
studocu.com
The Second Wind | Limited Edition
thesecondwind.in
In the expression of (a+b)n, where n=0,1,2,3,4, we get a pattern in the ...
tardigrade.in
Detailed Notes: Binomial Theorem - Mathematics (Maths) for JEE Main and ...
edurev.in
Origami Dining Table – Bay Window
baywindow.co.in
Virtual Labs
de-iitr.vlabs.ac.in
Zenda Table – Bay Window
baywindow.co.in
Zenda Table – Bay Window
baywindow.co.in
Flashcards: Binomial Theorem and its Simple Applications - Mathematics ...
edurev.in
Elizabeth Coffee Table – Bay Window
baywindow.co.in
Balaji Furniture -08048127650 in Charholi
balajifurnitures.in
Rachin Ravindra IPL | OneCricket
cricket.one
International Normalized Ratio (INR) Test Meter Market Trends Report 2026
thebusinessresearchcompany.com
Pcb Assembly Table -TECHNO TRIX INDIA, Delhi (Delhi)
technotrixindia.in
UP Board Class 11 Maths Solution: Chapter 8 Binomial Theorem (द्विपद ...
shubhampal.co.in
UP Board Class 11 Maths Solution: Chapter 8 Binomial Theorem (द्विपद ...
shubhampal.co.in
Folding Dining Table Design Ideas: Modern & Space-Saving Options
nobroker.in
Learn 42 Times Table | Multiplication Table of 42 [ ️]
brightchamps.com
Elizabeth Coffee Table – Bay Window
baywindow.co.in
UP Board Class 11 Maths Solution: Chapter 8 Binomial Theorem (द्विपद ...
shubhampal.co.in
6218b5e3164f8e00017f1ecd.jpg
hutaibfurniture.in
Hutaib Furniture in Indore, India
hutaibfurniture.in
The Second Wind | Limited Edition
thesecondwind.in
VRK Salt Solutions in Chennai
vrksalt.in
UP Board Class 11 Maths Solution: Chapter 8 Binomial Theorem (द्विपद ...
shubhampal.co.in
Important Formulae: Binomial Theorem - Mathematics (Maths) Class 11 ...
edurev.in
E50eb5656117426 - Good - Contents 1 UNIT I 1 Mathematical Induction 1 ...
studocu.com
UP Board Class 11 Maths Solution: Chapter 8 Binomial Theorem (द्विपद ...
shubhampal.co.in
UP Board Class 11 Maths Solution: Chapter 8 Binomial Theorem (द्विपद ...
shubhampal.co.in
Balaji Furniture -08048127650 in Charholi
balajifurnitures.in
USD/INR maintains position due to potential RBI interventions
tmgm.com
Binomial Option Pricing Model - Advantages & Disadvantages | Angel One
angelone.in
UP Board Class 11 Maths Solution: Chapter 8 Binomial Theorem (द्विपद ...
shubhampal.co.in
UP Board Class 11 Maths Solution: Chapter 8 Binomial Theorem (द्विपद ...
shubhampal.co.in
ONYX FURNITURE in Hyderabad, India
onyxfurniture.in
How Gold Prices Have Moved In India In The Last 10 Years? - Goodreturns
goodreturns.in
Origami Dining Table – Bay Window
baywindow.co.in
Pcb Assembly Table -TECHNO TRIX INDIA, Delhi (Delhi)
technotrixindia.in
Mansha || Happy Healthy Hair Oil
vishakhamehra.in
Related Searches
Binomial PMF
Binomial Test
Binomial Distribution Model
Negative Binomial
Graph of Binomial Distribution
Binomial Table
Binomial Distribution R
Cumulative Binomial Distribution
Binomial Distribution Histogram
CDF of Binomial Distribution
How to Do Binomial Distribution On R
PMF for Binomial Distribution
Binomial Distribution Examples
Pbinom
Pbinom Function in R
Negative Binomial Distribution R B
Binomial Probability Distribution
What Is R in the Binomial Theorem
R Term Binomial
Explain Binomial Distribution
Rumke Binomial Distribution
Binomial Distribution MATLAB
Binomial N Choose R
Probability Code in R
Binomial Distribution Table N10
Binomial Distribution R Success or Failure
Left Skewed Binomial Distribution
What Does Binomial Deviance Show R
Rbinom
Plot of Binomial Distribution
Calculating Binomial Distribution
Negative Binomial Distributio
CDF of Geometric Distribution
Quasi Negative Binomial INR
Negative Binomial PDF with R and Beta
The Value of R in a Binomial Series
Application of Binomial Distribution
Positively Skewed Binomial Distribution
Fit Binomial Distribution
Binomial Reliability
R Dbinom vs Pbinom
Compound Microscope Eclipse EIR Binomial Distribution
Graph Og Umerical Binomial Coefficent versus R
Probability Mass Function of Binomial
Binomial Distribution Python
Exact Binomial Graph
Binomial Distribution Tree
How to Do Binomial Distribution On Calculator
R Studio Binomial GLM
Negative Binomial Distribution in Terms of R B
Search
×
Search
Loading...
No suggestions found