Find Your Style
Women
Men
Accessories
Search for clothing, brands, styles...
×
Women
Men
Accessories
C5h10o Ir Spectrum
Search
Loading...
No suggestions found
ir spectroscopy in chemistry: Definition, Types and Importance | AESL
aakash.ac.in
Synthesized and Designed New Modified Poly(vinyl chloride) Structures ...
mdpi.com
Synthesis and Physicochemical Properties of Acrylate Anion Based Ionic ...
mdpi.com
A compound C5H10O (A) forms a phenyl - hydrazone and gives negative ...
tardigrade.in
Atom Transfer Radical Polymerization of Pyrrole-Bearing Methacrylate ...
mdpi.com
Surface Morphology and Optical Properties of Hafnium Oxide Thin Films ...
mdpi.com
Classification of the Residues after High and Low Order Explosions ...
mdpi.com
Broadening of the ν2 Raman Band of CH4 by C3H8 and C4H10
mdpi.com
Glycerol Carbonate Solventless Synthesis Using Ethylene Carbonate ...
mdpi.com
A compound C5H10O(.A.) forms a phenylhydrazone and gives negative ...
tardigrade.in
Research and Improvement of SBS Asphalt-Modifier Content Testing ...
mdpi.com
Application Prospects of FTIR Spectroscopy and CLSM to Monitor the ...
mdpi.com
Effect of Sodium Chloride on the Profiles of the IR Spectrum Bands of ...
mdpi.com
A High-Precision Mid-Infrared Spectrometer for Ambient HNO3 Measurements
mdpi.com
Effect of Sodium Chloride on the Profiles of the IR Spectrum Bands of ...
mdpi.com
An organic compound 'X' having molecular formula C5H10O yields phenyl ...
tardigrade.in
Fabrication of Nylon-6 and Nylon-11 Nanoplastics and Evaluation in ...
mdpi.com
Fourier Transform Infrared Spectroscopy to Assess the Degree of ...
mdpi.com
Development and Evaluation of a Novel Sulfonated Phenol–Formaldehyde ...
mdpi.com
Fig. 6: FTIR spectra of piroxicam
innovareacademics.in
Potential of Staphylea holocarpa Wood for Renewable Bioenergy
mdpi.com
Fig. 1: FTIR spectrum of fenoverine
innovareacademics.in
Effect of Sodium Chloride on the Profiles of the IR Spectrum Bands of ...
mdpi.com
New Composite Materials Based on Chitosan Films Reinforced with Chitin ...
mdpi.com
An organic compound P having the molecular formula C5H10O when treated ...
tardigrade.in
Determination of Greenhouse Gas Concentrations from the 16U CubeSat ...
mdpi.com
Development and Evaluation of a Novel Sulfonated Phenol–Formaldehyde ...
mdpi.com
Impact of Natural Degradation on the Aged Lignocellulose Fibers of ...
mdpi.com
Effect of Sodium Chloride on the Profiles of the IR Spectrum Bands of ...
mdpi.com
New Saccharin Salt of Chlordiazepoxide: Structural and Physicochemical ...
mdpi.com
A chiral C5H10O alcohol is reduced by catalytic hydrogenation to an ...
edurev.in
An organic compound X with molecular formula C5H10O gives test with ...
brainly.in
Infrared Spectra of Small Radicals for Exoplanetary Spectroscopy: OH ...
mdpi.com
C5H10O is a carbonyl compound. The number of structural isomers ...
tardigrade.in
Composite Aerogel Comprised of Sodium Alginate and Bentonite via ...
mdpi.com
Polysiloxane-Based Polyurethanes with High Strength and Recyclability
mdpi.com
The number of metamers of the compound with molecular formula C5H10O is
tardigrade.in
C5H10O is a carbonyl compound. The number of structural isomers ...
tardigrade.in
A compound (X) with a molecular formula C5H10O gives a positive 2,4-DNP ...
tardigrade.in
An organic compound with molecular formula c5h10o does not reduce ...
brainly.in
Multi-Spectroscopic Characterization of MgO/Nylon (6/6) Polymer ...
mdpi.com
Effects of Temperature on Visible and Infrared Spectra of Mercury ...
mdpi.com
C5H10O is a carbonyl compound. The number of structural isomers ...
tardigrade.in
underset(C5H10O)X stackrel H 3 O + longrightarrow B + C , B C both give ...
tardigrade.in
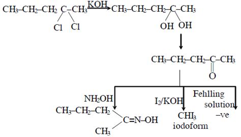
A compound A(C5 H10 (Cl)2) on hydrolysis gives C5H10O which reacts with ...
tardigrade.in
Self-Crosslinkable Oxidized Alginate-Carboxymethyl Chitosan Hydrogels ...
mdpi.com
A New Cellulose-Based Fluorescent Probe for Specific and Sensitive ...
mdpi.com
A compound A(C5 H10 (Cl)2) on hydrolysis gives C5H10O which reacts with ...
tardigrade.in
An organic compound 'X' having molecular formula C5H10O yields phenyl ...
tardigrade.in
Aerogel-Based Single-Ion Magnets: A Case Study of a Cobalt(II) Complex ...
mdpi.com
Consider all possible isomeric ketones including stereoisomers of ...
edurev.in
Infrared Spectra of Small Radicals for Exoplanetary Spectroscopy: OH ...
mdpi.com
The Use of Infrared Spectroscopy for the Quantification of Bioactive ...
mdpi.com
Infrared Spectra of Small Radicals for Exoplanetary Spectroscopy: OH ...
mdpi.com
Infrared Spectra Of Reference Clay Minerals : | Ubuy India
ubuy.co.in
How many structural isomers of C5H10O can show enolization? - Brainly.in
brainly.in
IR spectrum - IR spectroscopy - IR SpectRoScopy The transitions between ...
studocu.com
C5H10O is a carbonyl compound. The number of structural isomers ...
tardigrade.in
underset(C5H10O)X stackrel H 3 O + longrightarrow B + C , B C both give ...
tardigrade.in
An organic compound x with molecular formula c5h10o forms 2 4 dnp ...
brainly.in
Identify X in the following sequence of reactions - Brainly.in
brainly.in
A compound C5H10O (A) forms a phenyl - hydrazone and gives negative ...
tardigrade.in
Total number carbonyl compounds represented by the formula C 5 H 10 O ...
tardigrade.in
An optically active organic compound has molecular formula C5H12O(X). X ...
tardigrade.in
A New Cellulose-Based Fluorescent Probe for Specific and Sensitive ...
mdpi.com
Infrared Spectra of Small Radicals for Exoplanetary Spectroscopy: OH ...
mdpi.com
Research and Improvement of SBS Asphalt-Modifier Content Testing ...
mdpi.com
An optically active organic compound has molecular formula C5H12O(X). X ...
tardigrade.in
Utilization of Spectral Indices for High-Throughput Phenotyping
mdpi.com
Application Note: Plastics Identification Using ATR-FTIR Spectroscopy ...
edinst.com
Handbook of Infrared and Raman Spectra of Inorganic Compounds and ...
amazon.in
CRF Instrument Booking
crf.cens.res.in
Fluorescent Molecular Rotors Based on Hinged Anthracene Carboxyimides
mdpi.com
Influence of the Maillard Reaction on Properties of Air-Assisted ...
mdpi.com
A hydrocarbon X has molecular formula C5H10. X on treatment with B2H6 ...
tardigrade.in
Critical Analysis and Optimization of Stoichiometric Ratio of Drug ...
mdpi.com
An optically active organic compound has molecular formula C5H12O(X). X ...
tardigrade.in
Drone-Acquired Short-Wave Infrared (SWIR) Imagery in Landscape ...
mdpi.com
A compound A→ C5H10Cl2 on hydrolysis gives C5H10O which reacts with NH ...
tardigrade.in
Handbook of Fourier Transform Raman and Infrared Spectra of Polymers ...
amazon.in
How many cyclic structural isomers does C5H10 have? Please tell fast ...
brainly.in
Assembled Porphyrin Nanofiber on the Surface of g-C3N4 Nanomaterials ...
mdpi.com
A compound a with molecular formula c5h10o forms a phenyl hydrazone and ...
brainly.in
An organic compound A has molecular formula C5H10O and it neither ...
toppr.com
When an organic compound ' A ' with molecular formula C5H10O reacts ...
tardigrade.in
New Cryogels Based on Poly(vinyl alcohol) and a Copolymacrolactone ...
mdpi.com
Buy Fourier Transform Infrared Spectra: Techniques Using Fourier ...
desertcart.in
A hydrocarbon X has molecular formula C5H10. X on treatment with B2H6 ...
tardigrade.in
pent-2-one structural formulae - Brainly.in
brainly.in
Aldrich® Library of FT-IR Spectra, 2nd ed., 3-volume set Milwaukee, WI ...
sigmaaldrich.com
C5H10O is a carbonyl compound. The number of structural isomers ...
tardigrade.in
Pharmatext: UV and IR Spectra: Pharmaceutical Substances (UV and IR ...
pharmatext.co.in
Fluorescent Molecular Rotors Based on Hinged Anthracene Carboxyimides
mdpi.com
R.E.P.O.
in.ign.com
நிறமாலையின் வகைகள் - வெளியிடு மற்றும் உட்கவர் நிறமாலை - ஃபிரனாஃபர் ...
brainkart.in
Infrared Spectroscopy of Triatomics for Space Observation (Infrared ...
amazon.in
Remote Sensing @ CES
wgbis.ces.iisc.ac.in
Applied Sciences | Special Issue : Analytical Methodologies Applied to ...
mdpi.com
மின்காந்த அலை நிறமாலை | Electromagnetic spectrum | in Tamil
brainkart.in
NDLI: Summary of Electromagnetic Spectrum
ndl.gov.in
A compound 'A' having the molecular formula C+5H12O, on oxidation gives ...
tardigrade.in
Spectrum allocation in India: journey so far
downtoearth.org.in
Lada ECO Currency/Cash/Money Counting Machine Bill Counter UV/MG/IR ...
amazon.in
Fourier Transform Infrared (FTIR) Spectroscopy and Microscopy - Analysis
analysisdoo.com
Computer Vision in the Infrared Spectrum: Challenges and Approaches ...
amazon.in
Warfarin and Antibiotics: Drug Interactions and Clinical Considerations
mdpi.com
Photocatalytic Degradation of Organic Dyes from Clinical Laboratory ...
mdpi.com
Infrared Spectra of Small Radicals for Exoplanetary Spectroscopy: OH ...
mdpi.com
New material discovered can convert infrared light to renewable energy ...
dst.gov.in
Drop2Kart Cash Counter with UV/MG/MT/IR Note Detection, Bright TFT LCD ...
flipkart.com
Study of geological materials with Raman Spectroscopy
horiba.com
Composite Coatings of Chitosan and Silver Nanoparticles Obtained by ...
mdpi.com
Ag/AgCl/MIL-101(Fe) Catalyzed Degradation of Methylene Blue under ...
mdpi.com
Project report - A PROJECT REPORT ON Educ@re (E-Learning Website ...
studocu.com
Write the structure of pent _4_en_2_ol - Brainly.in
brainly.in
Gemer Sita IR Tablet: Uses, Side-effects, Price, Dosage & More Info ...
pharmeasy.in
COSBIX New C9300 PRO Smart Mix Denomination Value Counting Machine ...
amazon.in
Buy Spectrum Explore Wooden Dreams Picture Frame - 33x48cm from Home ...
homecentre.in
Wave Nature of Electromagnetic Radiation, Absorption Class 11 Notes ...
edurev.in
நிறமாலையின் வகைகள் - வெளியிடு மற்றும் உட்கவர் நிறமாலை - ஃபிரனாஃபர் ...
brainkart.in
Related Searches
C5H10O
C5H10O NMR
C5H10O Ketone
C6H14O IR Spectrum
C5H10O Structure
Hexanol IR Spectrum
C5H10O Alcohol
C9H10O Ir
Isomers of C5H10O
C5H10O Skeletal Structure
C6H10 Ir
C5H10O H NMR
2-Pentanone IR Spectrum
Ketone IR Spectra
C6H10O IR Spectrum
Ir Spectrum for C4H10O
C8h8o IR Spectrum
C8H10O IR Spectrum
C5H10O Cyclic
Ir Spectrum for C9h10o2
C5H10O Resonance
Cyclohexanol IR Spectrum
C7H8O Ir
Butanol IR Spectrum
Ethane IR Spectrum
C5H10 IR Spectrum
Acetate IR Spectrum
Hexanoic Acid IR Spectrum
IR Spectra Organic Chemistry
Carbonyl IR Spectrum
C5H10O Aldehyde
C8H10 IR Spectrum
Pentanol IR Spectrum
C5H10O2 Ester
C10h10o IR Spectrum
C9H10O3 IR Spectrum
Pentanone Formula
C3H6O2 IR Spectrum
Cyclopentanol IR Spectrum
C5H10O 1H NMR
C5h10o3 IR Spectrum
Cyclohexanone Ir
Camphor IR Spectrum
Bromine Ir Peak
Ir Spectrum of C6h10oh
C7H14O NMR
IR Spectra Peaks
3-Pentanone IR Spectrum
Propanol Ir
Ch3 IR Spectrum
Search
×
Search
Loading...
No suggestions found