Find Your Style
Women
Men
Accessories
Search for clothing, brands, styles...
×
Women
Men
Accessories
Caja Plastica Cuadrada 2x 2
Search
Loading...
No suggestions found
Caja Plastica Robusta + Suplemento2400 4x4 Pack X 8 Unidad Blanco ...
mercadolibre.com.co
Disposable Plastic To Go Containers With Clear Lids 50 Pack ...
desertcart.in
Clear Plastic RECLOSABLE ZIPLOCK Bags - Bulk GPI Case of 1000 4" x 4" 2 ...
amazon.in
Buy Dehouse 70-Liter Large Clear Plastic Storage Boxes, 4-Pack Large ...
ubuy.co.in
Tapas de Alcantarillado
ceniferr.com
FNL 513 B + 22213 EK + H 313 - Unidades de soportes | SKF
skf.com
Poultry & Hatchery
cleancrate.in
ProHeat 2X® Revolution® Pet Pro Plus 3588F BISSELL®
ndetech.org.in
Buy ASUS Prime H610M-A D4-CSM LGA 1700Intel 12th Gen Micro-ATX ...
ubuy.co.in
Electrical Junction Box IP68 Waterproof Cable Connector 3Pin M20 Plug ...
amazon.in
GeForce RTX™ 5060 WINDFORCE 8G Key Features | Graphics Card - GIGABYTE ...
gigabyte.com
MR60X | AX1500 WiFi 6 Router - MERCUSYS
mercusys.co.in
Buy MUNBYN Square Thermal Label Stickers, 2 X 2 Rainbow Color Thermal ...
ubuy.co.in
ALIJA®️ Slotted Angle Metal Rack (2 x 2 x 1.5 Ft. / 24 x 23 x 18 Inch ...
amazon.in
Hyundai i20 - All About i20 Price, Features, Colours, & Specs
carfolio.in
Buy BC Classics Plastic Domino & Game Table with Tile Racks & Drink ...
amazon.in
fovitec Studio Pro 2 Light Photography Table Top Photo Lighting Kit ...
amazon.in
Top 10 Cheapest Cars in India - Sep 2024
smcinsurance.com
Moment of inertia of continuous bodies (rigid bodies)
mech.poriyaan.in
Consider d^2/dx^2 operator and check sin^2 x is eigen function or not ...
scoop.eduncle.com
Find the directional derivative of 1/r in the direction of vector r ...
brainly.in
Art3d Decorative Drop Ceiling Tiles 2x2, Glue up India | Ubuy
ubuy.co.in
Log4(x2+x)-log4(x+1) = 2. Find xa)16b)0c)-1d)noneCorrect answer is ...
edurev.in
[Solved] The product of the distinct roots of mid x^2 - x - 6 mid = x ...
coachifylive.com
1) 9x-4-3(x-4)=4(x-1)2) 2x/3+1=7x/15+33) 4x/5+x+2=x/2+x+54) 3x-4/6x-7 ...
brainly.in
factorise 2xsquare+7x+3 - Brainly.in
brainly.in
Gr. R Phonics R Flashcards (teacher made) - Twinkl
twinkl.co.in
NSQA-SUS-M6 | Square Nut JIS B-1163 Cutting | SUNCO | MISUMI India
in.misumi-ec.com
x square equal to 2 + under root 3 find the value of x square + 1 upon ...
brainly.in
Factorise: 2x^3 - 3x^2 - 17x + 30 - Home Work Help - Learn CBSE Forum
ask.learncbse.in
Instinct 2X Solar - Tactical Edition | Outdoor Recreation | Garmin India
garmin.co.in
Bauxko 6 1/2" x 4 1/2" x 2 1/2" Corrugated Mailers, 25-Pack : Amazon.in ...
amazon.in
Plot a graph between coulomb force f and r^2 where r is the distance ...
brainly.in
Column I Column II A Let f(x)=√ log ( cos [ x ]), then f(x) is P Even ...
tardigrade.in
prove that :cosec^2x-sin^2x.cot^2x-cot^2x/sin^2x=1 - Brainly.in
brainly.in
Solve the differential equation
esaral.com
Geometry CAT Previous Year Questions with Answer PDF
edurev.in
Solved: sqrt(1+tan^2C) [Math]
gauthmath.com
Buy Crayola Crayons 24 Count with Blue Super Stacker Plastic Crayon Box ...
desertcart.in
(2x-5)/(3x-1)=(2x-1)/(3x+2) - Brainly.in
brainly.in
Phonics 'r' Sound Worksheet - Linguistic Phonics Resources
twinkl.co.in
Guidelines Applicant’s Photograph and Signature, Thumb Impression and ...
vleclub.in
MSI NVIDIA GeForce RTX 3060 VENTUS 2X 12G OC 12GB GDDR6 192-bit 12 GB ...
flipkart.com
Latest News, Features, Interviews, Analysis, Opinion, Blogs & Videos ...
autocarpro.in
solve X2+(y-3√x2)2 = 1 and sketch on a graph . How does it gives heart ...
brainly.in
Amazon.in Bestsellers: The most popular items in Wall Sculptures
amazon.in
Instinct 2X Solar - Tactical Edition | Outdoor Recreation | Garmin India
garmin.co.in
Problems based on Lagrange's method of multipliers - Examples
civil.poriyaan.in
Divide by 2x^2+8x+15 by x+3 - Brainly.in
brainly.in
Buy Suiwotin 12PCS Rubber Chair Leg Tips Caps, 2" x 2" Square Rubber ...
desertcart.in
BAZODO HDPE Grow Bag Size 24 x 24 Inch (2 x 2 feet) Green/Orange - Pack ...
amazon.in
Electric potential due to solid sphere - Brainly.in
brainly.in
What is the angle of intersection between the curve y^2=4ax and x^2 ...
brainly.in
تطبيقات القيم القصوى - منهاجي
minhaji.net
Barbacoa MAGMA®INOX--CATALINA 2™new--de Gas . 58 x 38 cm | Naval Chicolino
navalchicolino.com
Amazon Seller - Sell Your Products Online on Amazon India
sell.amazon.in
x^3+2x^2-x-2 is divided by x-1 by long division method - Brainly.in
brainly.in
Understanding the Meaning of an R-squared Value of 0.5
shallbd.com
Integral of cos2x/cos^2 x×sin^2 x dx - Brainly.in
brainly.in
Factorise : 2x^3+x^2−2x−1 - Brainly.in
brainly.in
Factorise : x²+1/x^2+2-2x-2/x. see the attachment plz - Brainly.in
brainly.in
Question and Answer - MindStudy
mindstudy.in
2x+3÷2x^2−11x−21[tex]2x + 3 \div {2x}^{2} - 11x - 21[/tex] - Brainly.in
brainly.in
Buy Waterless Drain Trap Seal for Floor Drain 4 Inch, Shower Drain Seal ...
ubuy.co.in
自然体で生きるための大事な8つの心構え。NGな行為も紹介 | テックキャンプ ブログ
tech-camp.in
HP P900 1 TB Portable SSD Grey /1 TB/USB (3.2 Gen 2 x 2)/ (848U9AA ...
amazon.in
divide 2 x power 4 - 9 x cube + 5 x square + 3 x minus 8 by x square ...
brainly.in
3(7x-1)/4 - (2x- 1-x/2)=x+3/2 - Brainly.in
brainly.in
Caja fuerte para pistolas, caja fuerte biométrica con tres formas de ...
es.shein.com
EF 2X III | www.datatraceautomation.in
datatraceautomation.in
Substitute Merged 2x-y=-1. 2x+3y=11 - Brainly.in
brainly.in
the roots of the equation (q-r)x^2+(r-p)x+(p-q)=0 are - Brainly.in
brainly.in
ALIJA®️ Slotted Angle Metal Rack (2 x 2.5 x 1.25 Ft. / 24 x 29 x 15 ...
amazon.in
Kingston Xs2000 1Tb High Performance, Read/Write Speeds Up to 2,000Mb/S ...
amazon.in
9V Duracell Battery Transparent HD Resolution PNG - Pngsource
pngsource.in
factorise 7√2x^2-10x-4√2step by step explanation plzz - Brainly.in
brainly.in
Mercedes-Benz Classe R R350 4MATIC 2011 : Prix, Specs & Fiche Technique ...
guideautoweb.com
runruii Impulse Heat Sealer Manual Bags Sealer Heat Sealing Machine 12 ...
amazon.in
MR DESI Seedless Dates (500GM X 2) Pin Khajur Dates, Dates Dry Fruit ...
flipkart.com
2^p-q x 2^r-p/2^r-p = ______ - Brainly.in
brainly.in
these coins is 50 what is the value of x?their ages?A box contains x 50 ...
brainly.in
(2x+3y-5)(x+y)find the product - Brainly.in
brainly.in
Buy MUNBYN Square Thermal Label Stickers, 2 X 2 Rainbow Color Thermal ...
ubuy.co.in
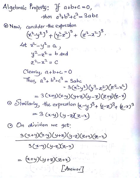
Evaluate please (x 2 -y 2 ) 3 +(y 2 -z 2 ) 3 +(z 2 -x 2 ) 3 divided by ...
brainly.in
Caja fuerte para pistolas, caja fuerte biométrica con tres formas de ...
es.shein.com
a) Find the general solution of the partial differential equation (3 ...
brainly.in
CM3300/200/SU Carroll & Meynell | Carroll & Meynell 3kVA Site ...
in.rsdelivers.com
Buy Economy 2 ft. x 2 ft. PVC Lay-in Ceiling Tile Pack of 10 Online at ...
desertcart.in
Buy NEXTGO Floor Mat Pooja Aasan Yoga Dinner Ghar office Garden with ...
amazon.in
Maruti Wagon R On Road Price in Lucknow, Barabanki, Sultanpur & 2021 ...
bright4wheel.com
Buy Tisino 1/4 inch TRS Stereo to Dual 1/4 inch TS Mono Y-Splitter ...
amazon.in
If alpha and beta are the zeros of the quadratic polynomial 2x2-5x+7 ...
brainly.in
class 8th - निमंलिखित मुहावरे का अपने कार्य में प्रयोग किजिये - Brainly.in
brainly.in
2' x 2' terrace | banduksmithstudio
banduksmithstudio.in
Buy 1-1/4 in. x 2 ft. PVC DWV Sch. 40 Pipe Online at Lowest Price in ...
ubuy.co.in
Kingston Xs2000 4Tb High Performance, Read/Write Speeds Up to 2,000Mb/S ...
amazon.in
17) Find the polynomial of least degree that should be subtracted from ...
brainly.in
For x ki power 4 + 11 x cube + 2 x square - 11 x + 6 / X square + 2 X ...
brainly.in
Buy MUNBYN Square Thermal Label Stickers, 2 X 2 Rainbow Color Thermal ...
ubuy.co.in
Slurrp Farm No Maida Pancake Mix| Blueberry and Classic Combo- 150g X 2 ...
amazon.in
Rock-N-Roller 6" x 2" R-Trac Rear Wheel for R2G, R2 Upgrade, 2-pack ...
amazon.in
solveintegrate 1/((1 + x) * sqrt(3 + 2x - x ^ 2)) dx - Brainly.in
brainly.in
10x Is Easier Than 2x: Buy 10x Is Easier Than 2x by Dan Sullivan, Dr ...
flipkart.com
class 9th ..........maths ...... - Brainly.in
brainly.in
A2DR White Board & Green Chalk Board(2 X 3 Feet) White, Green board ...
flipkart.com
Un ecosistema nel Pacifico | Meer
meer.com
The diagonal of a rectangular field is (r + 8) metre and the sides are ...
brainly.in
Asklerol 3% Injection 2 x 2 ml Price, Uses, Side Effects, Composition ...
apollopharmacy.in
Buy Color Fusion Eyeshadow Palette Highly Pigmented 39 Shades Pink ...
desertcart.in
Beautiful neat wooden boards | Premium AI-generated image
freepik.com
using division algorithm find whether 2-x2 is a factor of x4-5x+6 or ...
brainly.in
Data analysis using R and Python | R
r.fossee.in
solve x2-2x+1 =0 by completing square method - Brainly.in
brainly.in
The transformed equation of x^2 +y^2 =r^2 when the axes are rotated ...
brainly.in
Buy 1/4 in. x 48 in. x 100 ft. 23-Gauge Hardware Cloth Online at Lowest ...
ubuy.co.in
Buldak 2x Spicy Hot Chicken Flavor Ramen - Instant Stir-Fried Noodle ...
fetchnbuy.in
find the sum of the following series to n terms 1+2x+3x^2+4x^3 ...
brainly.in
STAR OCEAN THE SECOND STORY R - PS4 & PS5
store.playstation.com
TC-9108
nablwp.qci.org.in
integration 2x. dx/(x2+1)(x2+2)2by parts. - Brainly.in
brainly.in
Related Searches
Caja Cuadrada Galvanizada
Caja Cuadrada Carton
Caja Cuadrada 4x4
Modelo Caja Cuadrada
Caja Bien Cuadrada
Caja Cuadrada Tramontina
Caja Blanca Cuadrada
Caja Cuadrada Chalupa
Forma De Caja Cuadrada
Caja Cuadrada Con Tapadera
Caja Cuadrada De Color
Caja Cuadrada Metalica
Caja Cuadrada Plastica
Caja Cuadrada En Losa
Caja Cuadrada De Angulo
Rostro Cuadrado
Caja Cuadrada Armable
Caja Cuadrada 20X20
Caja Cuadrada Anime
Conector Para Caja Cuadrada
Caja Cuadrada Galvanizada Dual
Caja Cuadrada Con Tapa
Caja Cuadrada Colada De Aluminio
Molde Caja Cuadrada PNG
Instalaciones 220 Caja Cuadrada
Caja Cuadrada De 19 mm
Figura Para Caja Cuadrada
Caja Cuadrada 38Mm
Caja Cuadrada Profundidad
Caja Cuadrada En.png
Caja Cuadrada MDF Natural
Caja Cuadrada De PTR
Plantilla De Caja
Caja Eléctrica Cuadrada De Entrada De 1 Pulgada
Caja Cuadrada 120 X 120 mm 5X5
Cajas De Carton Corrugado
Molde De Caja De Regalo
Cuadrado En Origami
Caja Cuadrada Fondo Sencillo Certificada
CR-V Caja Cuadrada
Caja Cuadrada Regalo Roja
Caja Cuadrada Fondo Doble Certificada
Como Hacer Una Caja
Caja De 4 Cuadrada
8 X 8 ES Cuadrada Caja
Caja Cuadrada Para Medidor
Caja Con Ventana Cuadrada
Moldes Para Cajas De Carton
Moldes De Cajitas
Packaging De Una Caja Cuadrada
Search
×
Search
Loading...
No suggestions found