Find Your Style
Women
Men
Accessories
Search for clothing, brands, styles...
×
Women
Men
Accessories
Capitulo 3a 8 Answer Key
Search
Loading...
No suggestions found
Solved: Capítulo 3A Fecha _Core Practice 3A-1 Pasando por el centro A ...
gauthmath.com
Find the value of 3a-8, when a=2 - Brainly.in
brainly.in
Number Systems assignment 1 answer key - NUMBER SYSTEMS A 1A 2A 3A - 26 ...
studocu.com
Bihar Board Class 12 Political Science Answer Key 2026 Released – Check ...
timesbull.com
Buy Singapore Primary Mathematics Grade 3 Kit + Answer Keys (5 Books ...
desertcart.in
Chapter Test Form 3a - Fill Online, Printable, Fillable, Blank | pdfFiller
pdffiller.com
Portronics Konnect L 1.2M Fast Charging 3A 8 Pin USB Cable with Charge ...
amazon.in
Simplify(Chapter-Algebraic Expression and identities)a.)(3a-2b)²+(3a+2b ...
brainly.in
PDF Scanner 04-07-22 8 - Answer key - Marketing Management - Studocu
studocu.com
the nth term of the Ap a, 3a, 5a..... is - Brainly.in
brainly.in
Cyber Tools 6 to 8 Answer key Updated - CYBER TOOLS CLASS - 6 CHAPTER-1 ...
studocu.com
Nothing Phone 3a Pro-8 GB 256 GB | Price, Key Features and Specifications
digit.in
Expand the following (3a+7b+c)^2 - Brainly.in
brainly.in
Fortnite brings Slayer Juice WRLD Outfit with Remix: The Finale
insidesport.in
Ielts Speaking and Model Answer [sscstudy - 3 C o n t en ts fo r t h e ...
studocu.com
Buy English File fifth edition: Intermediate: Student Book with access ...
amazon.in
Find A if sin2A=cos(3A+20) - Brainly.in
brainly.in
Nothing CMF Phone 2 Pro (8GB RAM) Price in Bangladesh 2026, Specs ...
mobiledokan.com
SOF NSO Answer Key 2024-25 PDF Download, Check Science Olympiad Answer ...
adda247.com
Lower Secondary Science 8 learner book answers - Cambridge Lower ...
studocu.com
Nothing Phone (3a) 5G (8GB RAM + 128GB Storage) (White) : Amazon.in ...
amazon.in
Cambridge Lower Secondary Mathematics Learners book 8 answers - Learner ...
studocu.com
Test Form 3a Answer Key - Fill and Sign Printable Template Online
uslegalforms.com
AISSEE Answer Key 2026: NTA to Release Soon Provisional Answer Key at ...
jagranjosh.com
if (3a+5b):(3a-5b)=5:1, then a:b - Brainly.in
brainly.in
find the continued product (3a-5b)(3a+5b)(9a^2 + 25b^2) - Brainly.in
brainly.in
JEE Main Session 2 (April 8) Answer Key 2024: Download Shift 1 and ...
jagranjosh.com
prove that (cos^3A - cos3A)/cosA +(sin^3A+sin3A) /sinA = 3 answer fast ...
brainly.in
(3t-2)/3+(2t+3)/3=t+ 7/6 solve step by step in detail cbsc board class ...
brainly.in
Lesson 6 to 8 Answer Key 1 - ESSON 6 - Exercises I) Fill in the blanks ...
studocu.com
If A is a square matrix such that A²=A, then (I + A)² – 3A is - Brainly.in
brainly.in
STD VIII Onam exam 2017 Answer key English - FIRST TERM EVALUATION 2017 ...
studocu.com
Repaso Del Capitulo Crucigrama - Fill Online, Printable, Fillable ...
pdffiller.com
Fortnite Chapter 2 Remix brings seven different tournament series
insidesport.in
2S 7.4V 8.4V 20A 18650 Lithium Battery Protection Board with Balanced ...
flyrobo.in
Taxonomy Dichotomous Key Worksheet for 3rd-5th Grade
twinkl.co.in
Nothing Phone 3a, Phone 3a Pro latest leak reveals design and key specs
msn.com
The Civil War Begins Era 5 30a Answer Key - Fill Online, Printable ...
pdffiller.com
tan 5.A+tan 3A upon tan 5A-tan 3A - Brainly.in
brainly.in
GA-2100-1A1 | G-SHOCK ANALOG-DIGITAL GA-2100 SERIES | CASIO INDIA
casio.com
Indian Army Agniveer Answer Key 2025 Soon: How to Download Agniveer GD ...
jagranjosh.com
Cot A÷cotA-Cot 3A + tan A÷tanA-tan 3A=? - Brainly.in
brainly.in
SmartElex 5V 3A 8 Channel Signal Relay Module – Robocraze
robocraze.com
3a+4b-2c,-2a+10b-20c and -18a-3b+16c - Brainly.in
brainly.in
Amazon.in: Buy The English Route Coursebook 3 by V-Connect Education ...
amazon.in
Nothing Phone 4a and 4a Pro Launch: Release Date, Price, and Expected Specs
newsd.in
SmartElex 5V 3A 8 Channel Signal Relay Module – Robocraze
robocraze.com
factorise using suitable identities 3√3a^3+8b^3-27c^3+18√3abc - Brainly.in
brainly.in
3a 2 Possessive Adjectives Answer Key - Fill Online, Printable ...
pdffiller.com
Weekly Math Review Q1 8 Answer Key - Fill Online, Printable, Fillable ...
pdffiller.com
Subtract 3a(a + b + c)-2b from 4c(-a + b + c). - Brainly.in
brainly.in
View question - What is 3a + a?
web2.0calc.com
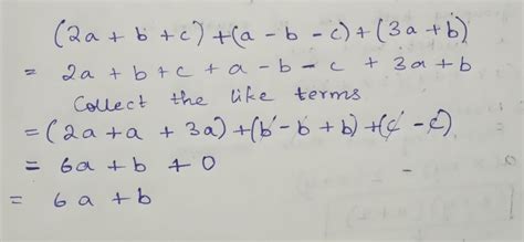
2a+b+c,a-b-c,3a+b add - Brainly.in
brainly.in
What is the product of (3a + 2)(4a2 – 2a + 9)? - Brainly.in
brainly.in
Navprayas | A Group of Innovative Thoughts
navprayas.in
If a : b=5 : 8, find the value of 3a+4b:5a+7bthe answer is 47/81, but ...
brainly.in
What is a Classification Key?? - Answered - Twinkl Teaching Wiki
twinkl.co.in
12a³-15a²+3a ÷ 3a²+1 - Brainly.in
brainly.in
If 3ª = 7b= 63c then prove that 2/a+ 1/b = 1/c (please solve this ...
brainly.in
Nothing Phone 3a and 3a Pro prices revealed ahead of official launch in ...
tech.hindustantimes.com
Class 12 Chemistry Answer Key 2023, Question Paper Analysis for All Sets
careerpower.in
Nothing Phone 3a vs Phone 3a Pro: Which model offers better value ...
tech.hindustantimes.com
expand (3a-4b)^3 please answer to my question - Brainly.in
brainly.in
15. On simplifying (a + b-3) - (b-a +3) + (a-b+ 3) the result is(a) a ...
brainly.in
Verify (3a - 7b - c)^2 - Brainly.in
brainly.in
IB Answer Key 2023 Out For SA and MTS Posts, Download Link
bankersadda.com
WOW IMAGINE Crystal Clear Transparent Back Case Cover for Nothing Phone ...
amazon.in
Nothing Phone 3a ಅಧಿಕೃತವಾಗಿ ಬಿಡುಗಡೆ! ಆಫರ್ ಬೆಲೆ ಎಷ್ಟು ಮತ್ತು ಟಾಪ್ 5 ...
digit.in
Buy Nothing Phone 3a pro 5G (12GB RAM) Online at Best Prices | Croma
croma.com
KCET Key Answer 2025(OUT): ಭೌತಶಾಸ್ತ್ರ, ರಸಾಯನಶಾಸ್ತ್ರ, ಜೀವಶಾಸ್ತ್ರ ...
karnatakahelp.in
If alpha and beta are zeros of polynomial X square + a x + b then find ...
brainly.in
MAT 2026 Exam (February Session): CBT Admit Card (Released), CBT Exam ...
collegedekho.com
Portronics Konnect L 1.2M Fast Charging 3A 8 Pin USB Cable with Charge ...
kartwalk.in
factorise a²+6b+3a+2ab - Brainly.in
brainly.in
The h.c.f of 6x^3a^2b^2c ,8x^2ab^3c^3 and 12 a^3b^2c^2 - Brainly.in
brainly.in
3a^2+2b^2/2b^2-a^2=15/7 then find a:b - Brainly.in
brainly.in
If a is an odd number and b is not divisible by 3 and the lcm of (a,b ...
brainly.in
Answer keys to UPSC CSE Prelims 2020 Paper I
iasgyan.in
if theta is an acute angle solve sin 3A equal to cos 2a - Brainly.in
brainly.in
At what angle the two vectors a+b and a-b act so that their resultant ...
brainly.in
68th BPSC Prelims Answer Key 2023 Out Now, Check Set A, B, C, D
studyiq.com
12th Public Exam May 2022 - Question Paper And Answer Key - TN STUDY.in ...
tnstudy.in
TNTET 2022 14 October Memory-based Questions and Answer Key | CollegeDekho
collegedekho.com
cos2a cos3a - cos 2A cos 7 a + cos a cos 10 a divide by sin 4A sin 3A ...
brainly.in
(3a+ 2b)^–( 3a–2b)^ using identity - Brainly.in
brainly.in
Divide 3a^2+x-1 by a+1 - Brainly.in
brainly.in
General Mathematics Quarter 1 Module 1 to 5 Answer Keys - Brainly.in
brainly.in
divide √3a^4+2a^3 - 6a by 3a - Brainly.in
brainly.in
[sin(A+3B)+sin(3A+B)]/[sin2A+sin2B]=2cos(A+B) - Brainly.in
brainly.in
Portronics Konnect L 1.2M Fast Charging 3A 8 Pin USB Cable with Charge ...
amazon.in
Latest Gaming Mobile Phones in India (2026) - Minto
minto.co.in
MAT 2026 Exam (February Session): CBT Admit Card (Released), CBT Exam ...
collegedekho.com
p.s grade 8 net force worksheet follow me - Brainly.in
brainly.in
UPSC Answer keys Survey: A Quick look into the Unofficial Answer keys
iasgyan.in
CAT 2023 Answer Key Objection Widow Closes Today, Get Direct Link Here ...
jagranjosh.com
please give me the answer - Brainly.in
brainly.in
CLAT 2024 Final Answer Key, Download PDF
studyiq.com
Lower Secondary Science 9 learner book answers - 1 Cambridge Lower ...
studocu.com
TNPSC Group 4 Answer Key 2024 Out, Download Official Key PDF
studyiq.com
how to factorise these 2x(a+b)+3y(6a+6b)-5z(3a+3b)o factorise - Brainly.in
brainly.in
Nothing CMF Phone 2 Pro Price in Bangladesh 2026, Specs & Review ...
mobiledokan.com
Energizer Primary Alkaline Max 3A Battery - Energizer : Flipkart.com
flipkart.com
3a - 40a² (factorise) ( explanation ) - Brainly.in
brainly.in
(3a+2b)×(9a²–6ab+4b²) - Brainly.in
brainly.in
MAT 2026 Exam (February Session): CBT Admit Card (Released), CBT Exam ...
collegedekho.com
Nothing Phone 3a price in India, specs, features and other latest leaks
digit.in
add the following expression 5a^3-2b^3+3a^2b+7ab^2,3a^2b -5ab^2, a^3+b ...
brainly.in
Portronics Konnect L 1.2M Fast Charging 3A 8 Pin USB Cable with Charge ...
amazon.in
(2m-5)(3a-2b)-(2m-5)(2b-3a) - Brainly.in
brainly.in
Nothing Phone (3a) And Phone (3a) Pro Review: Affordable Yet Powerful ...
in.mashable.com
Nothing CMF Phone 2 Pro (8GB RAM) Price in Bangladesh 2026, Specs ...
mobiledokan.com
add 3a^²b,-5a^2b,10a^2b,-7a^2b - Brainly.in
brainly.in
Nothing Phone (3a) 5G 256 GB 8 GB vs Xiaomi Mi 12 Pro 5G vs Xiaomi Mi ...
gadgetsnow.indiatimes.com
Solve for the following system of linear equations. Please help !! 3(bx ...
brainly.in
Solve a-(4-3a)=2a-(3+4a)/5 - Brainly.in
brainly.in
If a2 - 3a +1= 0 find the value of a2 +1/a2 , a3 +1/a3 - Brainly.in
brainly.in
NEET PG 2025 Answer Key - How to Download Answer Key at natboard.edu.in ...
timesbull.com
Bihar Board 10th Answer Key 2025 Out, Raise objection against BSEB ...
adda247.com
Artifii Tree Key Wall Holder Self Adhesive Wall Door Hook Hanger Bag ...
amazon.in
CDS 2023 Answer Key: Download Maths, English and GK Question Paper PDF ...
jagranjosh.com
Related Searches
Capitulo 4A Answer Key
Capitulo 4B Answer Key
Capitulo 1A Answer Key
Capitulo 1B Answer Key
Capitulo 3A Answer Key PDF
Capitulo 2A Answer Key Crossword
Capitulo 7A Answer Key
Capitulo 3 Answer Key
Capitulo 3B Answer Key
Capitulo 3A Page 91 Answer Key
Realidad ES 1 Capitulo 3A Answer Key
Realidad ES Spanish Answer Key
Realidad ES 2 Capitulo 3A Packet Answer Key
Realidad ES Capitulo 3A Word Search Answer Key
Realidades 2 Workbook Answers
Capitulo 8A Answer Key
Acapitulo 4B Answer Key Twitter
Capitulo 3A Repaso
Capitulo 3A Guided Practice Answer Key
Repaso Del Capitulo 7A
Capitulo 3A Page 91 Answer Key Vocabulary Check Sheet 3
Capitulo 2A Core Practice Answer Key
Realidad ES 2 Capitulo 7A 237 Answer Key
Capitulo 3A Pasando Por El Centro
Capitulo 1B Answer Key Page 23
Capitulo 1 Realidades 3 Prueba
Capitulo 5A 7 Que Paso Answer Key
Realidades 2 3B Vocab
Capitulo 3A Pg 56 Answers
7 3A Page 376 Answer Key
All Abt Ayer Answer Key
Que Hiciste Ayer Capitulo 3A Crossword Puzzle
Answer Key for Spanish Crossword
Capitulo 4A Page 80 Crossword Answer Key
Realidades 1 Examen Del Capitulo 5A
Realidad ES Repaso De Capitulo
Capitulo 1A Answer Key to Missing Word Game
Capitulo 3B Worksheet Key
Capitulo 3A a Ver Que Hace La Gente Answer Key
Autentico Core Practice Page 58 Answer Key
Capitulo 2A Core Practice La Reglas Answer Key
Capitulo 3A P Tus Prefernclas
Savvas Learning Chapter Assesment Examen Del Capitulo 5A Answer Key
Atletas Latinos Populares Answer Key
Autentico Leveled Vocabulary Answer Key
Realidad ES 1 Capitulo 3A 3 Answers Go Online PHSchool
Realidades 1 Worksheets
Capitulo 2A Actividad 10 Answer Key
Realidad ES Uno Capitulo 1A Repaso Key Puzzle
Repaso Del Capitulo 3A Crucigrama
Search
×
Search
Loading...
No suggestions found