Find Your Style
Women
Men
Accessories
Search for clothing, brands, styles...
×
Women
Men
Accessories
Catamaran Features
Search
Loading...
No suggestions found
BMW Unveils All-New R 1300 GS Adventure Tourer at INR 20.95 Lakh ...
bikes4sale.in
Tom Cruise’s Mission: Impossible – The Final Reckoning Crosses INR 100 ...
in.ign.com
AO Smith Z8 Instant Hot and Ambient Water| INR 4000 Off on Exchange ...
amazon.in
AO Smith Z8 Instant Hot and Ambient Water| INR 4000 Off on Exchange ...
amazon.in
AO Smith Z8 Instant Hot and Ambient Water| INR 4000 Off on Exchange ...
amazon.in
Citroen India Unveils New C3X Range With Enhanced Features At INR 525,000
msn.com
AO Smith Z8 Instant Hot and Ambient Water| INR 4000 Off on Exchange ...
amazon.in
All about the new INR 2.86 lakh Vision Pro AR headset
lifestyleasia.com
Mahindra Thar 4X2 Launched At INR 9.99 Lakh (Ex-Showroom)
topgearmag.in
Okaya EV's Motofaast Launched at INR 1,36,999: Merging the Worlds of ...
bikes4sale.in
RM watch: All about Anant Ambani's INR 6.9 cr Richard Mille timepiece
lifestyleasia.com
POCO C61 Sale Begins: Stylish Design, Amazing Features at INR 6,999
digitalterminal.in
AO Smith Z8 Instant Hot and Ambient Water| INR 4000 Off on Exchange ...
amazon.in
AO Smith Z8 Instant Hot and Ambient Water| INR 4000 Off on Exchange ...
amazon.in
STöK (ST-MC05) Fully Automatic Note Counting Machine, can Count INR or ...
amazon.in
AO Smith Z8 Instant Hot and Ambient Water| INR 4000 Off on Exchange ...
amazon.in
Mines Demo Game: Play 100% Free! Demo Account in INR
minesdemo.net
The 21,000 INR Garmin Venu Sq - Big on features and Low on price ...
wearables.in
Jio Bharat V2 4G Phone Announced: Impressive Features For INR 999
augustman.com
Arshita Group to Pay a Penalty of INR 3 Lakh for Within 30 Days to ...
magicbricks.com
Best smartphones unders INR 20000 know features and processor | 20 हजार ...
abplive.com
STöK (ST-MC05) Fully Automatic Note Counting Machine, can Count INR or ...
amazon.in
Jio Bharat V2 4G Phone Announced: Impressive Features For INR 999
augustman.com
Samsung Reaffirms Commitment to India with INR 1588 Crore Investment to ...
news.samsung.com
Jio Bharat V2 4G Phone Announced: Impressive Features For INR 999
augustman.com
Anurag Kashyap enjoys a massive net worth of INR 990 crore
lifestyleasia.com
STöK (ST-MC05) Fully Automatic Note Counting Machine, can Count INR or ...
amazon.in
STöK (ST-MC05) Fully Automatic Note Counting Machine, can Count INR or ...
amazon.in
Jio Bharat V2 4G Phone Announced: Impressive Features For INR 999
augustman.com
Anurag Kashyap enjoys a massive net worth of INR 990 crore
lifestyleasia.com
Red Fort adopted by Dalmia for INR 250 million | Adopt a Heritage ...
architecturaldigest.in
2015 Honda Jazz India Launched at INR 5.3 lakhs! [ Specs, Features ...
carblogindia.com
These Are The Best Smartphones Under INR 30000
augustman.com
Anurag Kashyap enjoys a massive net worth of INR 990 crore
lifestyleasia.com
STöK (ST-MC05) Fully Automatic Note Counting Machine, can Count INR or ...
amazon.in
Sailing On A Catamaran
kavas.com
Rafael Nadal Yacht Spotted On Water In Mallorca, See Pics Inside ...
starbiz.com
ANDROMEDA YACHTS (2026) All You Need to Know BEFORE You Go (with Photos ...
tripadvisor.in
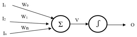
Feature Selection in Energy Consumption of Solar Catamaran INER 1 on ...
mdpi.com
Book Gabriel Island Mauritius Tours, Tickets & Packages Online
lavacanza.in
Book Mauritius Ile aux Cerfs Island Tours, Activities & Packages Online
lavacanza.in
Feature Selection in Energy Consumption of Solar Catamaran INER 1 on ...
mdpi.com
Magical 7 Days 6 Nights Ile Aux Cerfs Tour Package | Mauritius, Ile Aux ...
hellotravel.com
Feature Selection in Energy Consumption of Solar Catamaran INER 1 on ...
mdpi.com
Lagoon 450S - ANABELLA - Sunset Charter
sunsetcharterboats.com
Feature Selection in Energy Consumption of Solar Catamaran INER 1 on ...
mdpi.com
Feature Selection in Energy Consumption of Solar Catamaran INER 1 on ...
mdpi.com
Full-Day Cruise to Saona Island - Natural pool and lunch | La Vacanza ...
lavacanza.in
Feature Selection in Energy Consumption of Solar Catamaran INER 1 on ...
mdpi.com
Dortoka | Bali Catsmart | Menorca and Balearic Islands catamaran rental ...
medcatcharter.com
FLEXCANCUN (2026) All You Need to Know BEFORE You Go (w/ Reviews ...
tripadvisor.in
Incat Crowther delivers high end catamaran ferries to service Bar ...
vesselfinder.com
Disfruton | Bali 4.6 | Catamaran charter Mallorca, Menorca & Balearic ...
medcatcharter.com
Yacht Rates so low, you won’t think twice - KAVAS Yacht Charter Greece
kavas.com
Private 7-Hour Catamaran Tour in Turks and Caicos 2022 - Providenciales ...
viator.com
Bali Bali Catsmart - Dortoka - Isas Menorca
isasmenorca.com
MIM Ocean 3 | Bali 5.4 | Ibiza and Balearic Islands catamaran rental ...
medcatcharter.com
New Catamaran Passenger Ferry in Operation on Sydney Harbour - VesselFinder
vesselfinder.com
Water Sports In Kerala: Adventure Activities You Must Try in 2025
traveltriangle.com
Super Fun Excursion - Reviews, Photos - Coastline Catamarans - Tripadvisor
tripadvisor.in
Cape Town Sunset Couples Cruise Including Champagne 2024 - Viator
viator.com
CATAMARAN EXPERIENCES (2026) All You Need to Know BEFORE You Go (with ...
tripadvisor.in
Mangrove Kayaking in Varkala, Kerala - Book Now @ Rs.1049 (31% off)
universaladventures.in
MIM Ocean | Charter Caribbean Islands - Med Cat Charter
medcatcharter.com
Catamaran Cruise On Your Mauritius Honeymoon Is A Must
traveltriangle.com
Top 6 Cruises In San Francisco To Enjoy Your California Vacay!
traveltriangle.com
TVS Apache RTR 160 4V vs. Hero Xtreme 160R 4V: কোন বাইকটি কেনা ভাল? যা ...
bangla.aajtak.in
Book Gabriel Island Mauritius Tours, Tickets & Packages Online
lavacanza.in
ChatGPT India Pricing Is Here; Check Plus, Pro Price In INR, Features ...
msn.com
Buy Pro Boat RC Veles 29" Catamaran Brushless RTR Batteries and Charger ...
desertcart.in
Samsung Unveils Galaxy M14 5G with Segment-Leading Features: 50MP ...
news.samsung.com
Samsung Launches Galaxy F34 5G with 50MP No Shake Camera, 120Hz Super ...
news.samsung.com
Samsung Launches 2024 QLED 4K Premium TV Series with Quantum Dot ...
news.samsung.com
Best mobile phones under 25,000 in January 2025
digit.in
DreamHack India 2024 features multiple esports tournaments
insidesport.in
PLONGEE CARAIBES CATAMARAN Guide (2026) All You Need to Know BEFORE You ...
tripadvisor.in
Samsung Launches ‘Solve for Tomorrow’, an Innovation Competition for ...
news.samsung.com
Samsung Launches Season 3 of ‘Solve for Tomorrow’ with Separate School ...
news.samsung.com
Nautitech 40 Open - Symphony - Ibiza Formentera Charter
rent.ibizaformenteracharter.com
Reserve Bank of India
rbi.org.in
Samsung Unveils Galaxy F14 5G with Segment-only Features – 5nm ...
news.samsung.com
Phuket: Phi Phi island Day Tour by Speedboat Catamaran - Klook India
klook.com
Madagascar Island: Know Everything About This Exquisite Island
traveltriangle.com
Catamaran Svg Sailing Svg Nautical Svg Catamaran Dxf - Etsy India
etsy.com
Samsung Announces Pre-Orders for Galaxy S25 Edge in India; Price Starts ...
news.samsung.com
Download wallpaper sea, sailing, catamaran, section landscapes in ...
goodfon.com
Administration of Warfarin Inhibits the Development of Cerulein-Induced ...
mdpi.com
Samsung Unveils Galaxy F14 5G with Segment-only Features – 5nm ...
news.samsung.com
TMS | Package List
tms.codepanda.in
Samsung Unveils Galaxy A05 with Signature Galaxy Design, 50 MP Camera ...
news.samsung.com
Samsung India Announces Top 10 Teams of its Solve for Tomorrow ...
news.samsung.com
Buy Glamorous Gowns for Women | Women Gowns at Best Price – Wabi Sabi
wabisabistyles.com
Samsung Launches Third Edition of Walk-a-thon India to Inspire a Fitter ...
news.samsung.com
Ro-Ro Ferry Services From Mumbai To Alibaug Will Start Soon
traveltriangle.com
Buy The Mask Of ZorroThe Legend Of Zorro (Double Feature) Online at ...
ubuy.co.in
Fountaine Pajot Saba 50 - SUNSHINE REGGAE - Sunset Charter
sunsetcharterboats.com
The Ultimate Fusion of Sound & Style: Samsung Launches the Stunning ...
news.samsung.com
Job Title: Field Sales Officer Location: Hyderabad, India Job Type ...
glassdoor.co.in
Buy Catamaran Racing: For the 90's Book Online at Low Prices in India ...
amazon.in
OnePlus 13R Leak Reveal Snapdragon 8 Gen 3 Chipset, 50MP Triple Camera ...
in.mashable.com
Ocean features — lesson. Social Science, Class 9.
yaclass.in
Security Features in Indian Notes, International Notes
indiblogger.in
Samsung Launches Galaxy A14 with Premium Design, 50MP Triple Camera and ...
news.samsung.com
Samsung Galaxy A06 5G Launched with Powerful Features and Starts at ...
telecomtoday.in
Free Fire Max India Cup 2025: Garena Partners With Tez Platforms To ...
in.ign.com
Realme Narzo 70 Pro 5G launch in India today! Specs to features, know ...
tech.hindustantimes.com
Punjab Unveils Easy Registry System: Property Registration Now Faster ...
rozanaspokesman.com
Porsche cayenne Platinum launched in India, check out features
india.com
Accu-Chek Instant
colmed.in
realme Smart TV, Hisense smart TV to Infinix smart TV- check out these ...
tech.hindustantimes.com
Celebrating pride month, DIZO Watch D features exclusive pride watch ...
aninews.in
Chris Hemsworth Net Worth 2023: Salary, Net Worth in Rupees (INR), Income
jagranjosh.com
गुड न्यूज: अब नेपाल ले जा सकेंगे 200 और 500 रुपये के भारतीय नोट, जानिए ...
ndtv.in
Celebrating pride month, DIZO Watch D features exclusive pride watch ...
aninews.in
iPhone 17 Air: RAM, camera, and other features tipped- Here’s what to ...
tech.hindustantimes.com
Ravichandran Ashwin goes unsold in ILT20 Auction 2025: Indian Off ...
bhaskarenglish.in
Republic Day tech bonanza: realme C67 5G, realme Pad 2, realme 11x ...
tech.hindustantimes.com
भारतीय महिला U19 टीम के चैंपियन बनने पर BCCI ने खिलाड़ियों पर की पैसों ...
ndtv.in
Samsung Solve for Tomorrow Gets Overwhelming Response With Over 50,000 ...
news.samsung.com
Job Title: Field Sales Officer Location: Hyderabad, India Job Type ...
glassdoor.co.in
Related Searches
Small Sailing Catamaran
Biggest Catamaran
Catamaran Sailing Yacht
Catamaran Yacht Layout
Catamaran Cruise
Luxury Power Catamaran Yachts
Catamaran Boat Design
Catamaran Concept
Wooden Catamaran
Eco Catamaran
Catamaran Sailboat Boat Design
Lagoon 40 Catamaran
Catamaran Cabin Cruiser
Lagoon 52 Catamaran
Lagoon 50 Catamaran
Leopard 42 Catamaran
Luxury Catamaran Boats
Catamaran Colors
Catamaran Cruise Ship
Catamaran Floor Plan
Seawind Catamaran
Toy Catamaran Boat
Catamaran Electric Boat
80 FT Catamaran
Anatomy of a Catamaran
Sunreef Catamaran 80
Catamarine
Largest Catamaran Yacht
Lagoon 45 Catamaran
Catamaranes
Power Catamaran Boat Plans
55-Foot Catamaran
Pink Catamaran
Catamaran for Ocean
Power Catamaran Hull Design
60-Foot Catamaran
Luxury Mega Catamarans
18 Foot Catamaran
Steel Hull Catamaran
Catamaran Wake
Catamaran Workboat
Catamaran Sailboats Design
Katamaran
Small Beach Catamarans
Solar Powered Catamaran
Catamartan
Catamaran Cargo Ship
95 FT Catamaran
Lagoon 560 Catamaran
English Catamaran
Search
×
Search
Loading...
No suggestions found