Find Your Style
Women
Men
Accessories
Search for clothing, brands, styles...
×
Women
Men
Accessories
Ccc Logo Secondary
Search
Loading...
No suggestions found
Buy Efest INR 18350 1200mAh 10A Rechargeable High Drain Flat Top ...
ubuy.co.in
LOGIC COMPUTER INSTITUTE
logiccomputer.in
CCC training in Lucknow | CCC course in Lucknow | CCC Training ...
promosystech.com
CCC Intelligent Solutions (CCCS) - Cash on Hand
companiesmarketcap.com
👉 NIELIT - (DOEACC) - CCC - Course | APEX FUTURE COURSES TECHNOLOGY ...
afct.in
Ministry of Education Youth and Sports
ccc-cambodia.org
Ccc letter location shape logo design | Premium Vector
freepik.com
VJ MUN SECOND EDITION
vjmun.in
Extent of IT Implementation in Exam | Central Board of Secondary Education
cbse.gov.in
About Us
hellotickets.co.in
CCC परीक्षा के बारे में पूरी जानकारी (CCC Exam Information) - सुगम ज्ञान
sugamgyan.com
A guide to CSE cloud computing concepts for students
aieesesecondary.co.in
MAHARASHTRA STATE BOARD OF SECONDARY & HIGHER SECONDARY EDUCATION, PUNE
sscresult.mahahsscboard.in
My page title
hcinterior.in
CCC
mis.jbvnl.co.in
Viksit Bharat@2047 | Ram Jaipal College
rjcc.ac.in
High Court of Punjab and Haryana
highcourtchd.gov.in
【50% OFF】[2401006M]concause(コンコース)RW F-V cCc LOGO SWEAT SHIRTS(リバースウィーブ ...
montara-wh.com
GSEB | StudentBro
studentbro.in
Calcutta High Court Logo
calcuttahighcourt.gov.in
Lime Light High School
limelighthighschool.in
Buy SDS OSHA Data Labels for Safety 4 x 3 Inch GHS Secondary Container ...
desertcart.in
Step to Success School, Award Winning School in Meerut
sts-school.edu.in
Gradient high school logo | Free Vector
freepik.com
Lime Light School
limelighthighschool.in
Advocate Sticker By Lawmart
lawmart.in
High Court of Andhra Pradesh
aphc.gov.in
Anker 537 Power Bank 24000 mAh 65W Fast Charging, (PowerCore 24K for ...
amazon.in
NW-A306 360 Reality Audio | Portable Audio Player | Sony India
sony.co.in
ANKER Prime bank - スマホアクセサリー
amul.com
New Army brand redefines 'Be All You Can Be' for a new generation ...
army.mil
Anker Power Bank 20000 mAh with 3-Port 30W Max PD Fast Charge ...
amazon.in
what are polyatomic ion? give two examples. - Brainly.in
brainly.in
Boston Celtics 2025 Roster Transactions - ESPN (IN)
espn.in
Timberwolves 119-115 Celtics (30 Nov, 2025) Game Recap - ESPN (IN)
espn.in
Home | Smoochie
smoochie.in
Draw a poster on save environment? - Brainly.in
brainly.in
prve that costheta -sintheta +1/costheta+sintheta-1= cosectheta ...
brainly.in
solve the following quadratic equation for x 3x²+8x+5=0 - Brainly.in
brainly.in
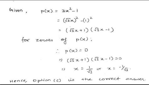
Find the zeros of the polynomial - 3x^2-1 - Brainly.in
brainly.in
JAMNAGAR :- HTAT SAJJATA TALIM ANVAYE SAHITYA NIRMAN KARYASALA MA HAJAR ...
savaninikunj.in
Evaluate ( 1000)power 12÷ (10) power 30 - Brainly.in
brainly.in
The mean of ten observations is 25 if one observation namely 25 is ...
brainly.in
Related Searches
CCC Group Logo
CCC Logo.svg
CCC Logo in Qatar
CCC Logo Shield
CCC Logo Design
CCC Logo Vector
CCC Logo No Background
CCC Icon Logo
CCC Son Logo
CCC New Logo
CCC Logo Jak
CCC Logo Romania
CCC Logo in the Ph
PA CCC Logo
CCC Logo Carrigtwohill
Oa CCC Logo
CCC Rainbow Logo
Logo for CCC Church
CCC Edge Logo
CCC Rugby Logo
Centro CCC Logo
CCC Egypt Logo
CCC Logo NZ
CCC Cele Logo
Laois CCC Logo
CCC Logo Font
Cccc Logo Icon
CCC HSE Logo
CGCC Logo
CCC Logo Gold
CCC Logo Without Background
CCC Logo Building
CCC Mission Logo
CCC Logo Cork
CCC Power Bank Logo
Intial CCC Fancy Witchy Logo
CCC Site Development Logo
CCC Logo JHS
CCC Clinic Logo
CCC On Computer Logo
CCC New Model Logo
Cccc Initial Logo
CCC Small Logo
CCC Safety Logo
Creative CCC Logo Design
Woogrove CCC Logo
Ovi IT Solutions Logo CCC
CCC Rainbo Logo HD
CCC Business Logo
CCC Underwater Logo
Search
×
Search
Loading...
No suggestions found