Find Your Style
Women
Men
Accessories
Search for clothing, brands, styles...
×
Women
Men
Accessories
Ccl4 Formation Equation
Search
Loading...
No suggestions found
the enthalpy of formation of CCl4 can be determined by which process ...
brainly.in
Molecular formula of carbontetrechloride is CCl4. (Atomic number C= 6 ...
brainly.in
8) explain the bond formation in sf4 and ccl4 using hybridisation ...
brainly.in
Write the equations for the formation of ccl4 from ch4 in the presence ...
brainly.in
oxidation number of c atom in ccl4 - Brainly.in
brainly.in
Overview: Carbon Compounds and Covalent Bonding in Carbon Compounds - 1 ...
edurev.in
Draw diagrams to represent the bonding in the following covalent ...
brainly.in
The dipole moments of CCl4,CHCl3 and CH4 are in the order
tardigrade.in
A chemical equation is shown below. CH4 + Cl2 → CCl4 + HCl What are the ...
brainly.in
Phenol + CCl4 + KOH longrightarrow X ; Which of the following statement ...
tardigrade.in
8) explain the bond formation in sf4 and ccl4 using hybridisation ...
brainly.in
Draw the Lewis dot structures of N2 and CCl4 - Brainly.in
brainly.in
8) explain the bond formation in sf4 and ccl4 using hybridisation ...
brainly.in
Stereoselective Processes Based on σ-Hole Interactions
mdpi.com
Compare the dipole moment for CCl4 , CHCl3 , CH2Cl2 and CHCl3 ...
brainly.in
silver acetate + br2 in presence of ccl4 gives - Brainly.in
brainly.in
Write the formula and draw electron dot structure of carbon ...
brainly.in
alkenes----------->reactions Flashcards | Quizlet
quizlet.com
Which of the statements are correct? R - ≡ - R' xrightarrow[+EtOH]Na ...
tardigrade.in
Ethene reacts with one mole of bromine in the presence of CCl 4, to give
tardigrade.in
show the formation of covalent bond in HCL, CCl4, CH4, H2, O2 and cl2 ...
brainly.in
Select the structure of chromium complex formed when the toluene reacts ...
tardigrade.in
explain the formation of covalent bond with their electron dot ...
brainly.in
Chloroform Formula: Preparation, Properties and Uses|Chemistry Page
chemistrypage.in
which of the following is highest dipole moment1) CH2CL22) CHCL33)CCL4 ...
brainly.in
Reimer Tiemann Reaction Mechanism: Conditions & Applications
allen.in
Glucose - Structure, Preparation, Uses & Properties - Chemistry ...
aakash.ac.in
chcl3(g) cl2(g)→ccl4(g) hcl(g) molecularity and orderof reaction ...
brainly.in
When silver propionate is treated with br2 in ccl4 as solvent the ...
brainly.in
Write the equations for the formation of ccl4 from ch4 in the presence ...
brainly.in
Write the equations for the formation of ccl4 from ch4 in the presence ...
brainly.in
C6H5OH xrightarrow[(ii) dil. HCl](i) CCl4, NaOH X xrightarrow[ textheat ...
tardigrade.in
Calculate mole fraction of benzene in solution containing 30 by mass in ...
brainly.in
The chlorination of ethane is an example for which type of the ...
tardigrade.in
Give the reaction for the formation of phosgene gas - CBSE Class 12 ...
ask.learncbse.in
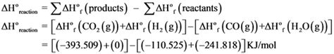
Using the standard enthalpies of formation, what is the standard ...
ask.learncbse.in
Magnesium Chloride Formula: Structure, Preparation, Properties And ...
pw.live
The enthalpy of formation of carbon monoxide - CBSE Class 11 Chemistry ...
ask.learncbse.in
Carbon reacts with chlorine to form ccl4. the ratio of mass of ccl4 ...
brainly.in
Water Formula, Structure And Properties
pw.live
Reaction of phenol with CCl 4 and NaOH followed by hydrolysis is likely ...
tardigrade.in
Molecular mass of carbon tera chloride - Brainly.in
brainly.in
Cyclohexane when treated with Br2 in CCl4 gives
tardigrade.in
Chemical Kinetics Formula - Rate Reaction, Rate Equations, Rate Laws
pw.live
Calculate the average molar bond enthalpy of the carbon-bromine bond in ...
ask.learncbse.in
Calculate the average molar bond enthalpy of the carbon-bromine bond in ...
ask.learncbse.in
Logarithm Formula- Explanation, Types, Properties, Examples
adda247.com
Explain why ccl4 molecule has a zero dipole moment although the c-cl ...
brainly.in
Reaction of phenol with CCl4 and NaOH followed by hydrolysis is likely ...
tardigrade.in
Consider the reaction described by the following equation - Home Work ...
ask.learncbse.in
The formation of bakelite takes place between the reaction of
tardigrade.in
[Expert Answer] Complete the reaction a)C6H5N2Cl+KI-> b)CH2=CH2+Br2 ...
brainly.in
Calculate the enthalpy change of 1 mole of reaction na(s)br,(0) nabr(s ...
scoop.eduncle.com
ELEMENTAL CHEMISTRY: Sucrose
elementalchemistry.in
Reduce the following equation to its Canonical form equation is given ...
brainly.in
phenol gives 2,4,6-tribromophenol oN bromination with bromine water ...
brainly.in
The mole fraction of I2 in CCL4 is 0.01. what is molality and molarity ...
brainly.in
Toluene, when treated with Br2/Fe, givesp-bromotoluene as the major ...
tardigrade.in
Which alkene will give optically inactive product with Br2/CCl4
tardigrade.in
Reaction of phenol with CCl 4 and NaOH followed by hydrolysis is likely ...
tardigrade.in
Ionic Compound Formula: Structure, Properties And Applications
pw.live
Calculate the initial rate for the formation of C \rm C at 25? - Home ...
ask.learncbse.in
Among the following reactions, which form salicylic acid (after ...
scoop.eduncle.com
Calculate the mass percent of benzene and ccl4.if 22g of benzene in 122 ...
brainly.in
Comprehensive Straight Line Formula Guide 2025 | CollegeSearch
collegesearch.in
Class 10 Science Chapter 4 Previous Year Questions - Carbon and its ...
edurev.in
[Solved] The product formed when phenol reacts with bromine in CS2 at ...
brainly.in
Calculate the average molar bond enthalpy of the carbon-bromine bond in ...
ask.learncbse.in
Formation of aluminium oxide by the reaction between aluminium and ...
brainly.in
Using the standard enthalpies of formation, what is the standard ...
ask.learncbse.in
When silver propionate is treated with br2 in ccl4 as solvent the ...
brainly.in
Write down the chemical equations of reaction involved during the ...
ask.learncbse.in
Standard Form Formula, Definition, Solved Examples
pw.live
Using the standard enthalpies of formation, what is the standard ...
ask.learncbse.in
Give the chemical formula of the formation of scum when hard water is ...
brainly.in
Assertion Carbon forms covalent compound with chlorine of formula CCl4 ...
brainly.in
Name all groups like hydroxide group,sulphate group,nitrate group, and ...
brainly.in
Density of distilled water at different temperatures - Brainly.in
brainly.in
Liver Fibrosis Resolution: From Molecular Mechanisms to Therapeutic ...
mdpi.com
Acetic Acid Formula, Structure, Uses, Chemical Reactions
adda247.com
Partition coefficient of iodine in ccl4 and water experiment viva ...
brainly.in
Oxalic Acid - Definition, Formula, Structure & Preparation - Chemistry ...
aakash.ac.in
Logarithm Formula- Explanation, Types, Properties, Examples
adda247.com
Salt Chemistry - Definition, Types, Properties, Hydrolysis of Salt
careerpower.in
Describe how washing soda is produced starting from sodium chloride ...
brainly.in
Hepatoprotective Effects of a Natural Flavanol 3,3′-Diindolylmethane ...
mdpi.com
i.HCl is added to a hydrocarbon 'A'(C4H8) to give a compound 'B ...
brainly.in
Write the chemical equation of preparation of baking soda - CBSE Class ...
ask.learncbse.in
Draw electron dot structure of S8 and CCl4 - Brainly.in
brainly.in
Bleaching Powder Formula and Chemical Name
adda247.com
Corrosion, Rusting and Types of Corrosion — lesson. Science State Board ...
yaclass.in
Inclined Mirrors: Image Formation, Formula & Overlapping | AESL
aakash.ac.in
Draw the structural formula of carbon tetrachloride and state the type ...
brainly.in
CH4 Cl2 CCl4 HCl balance the equation - Brainly.in
brainly.in
preparing bleaching powder from NaCl - Brainly.in
brainly.in
Form a cubic polynomial with zeros 3,2 amd -1 - Brainly.in
brainly.in
Bakelite: Preparation, Structure, Properties and Uses | AESL
aakash.ac.in
Triethylammonium Acetate, 1 M Solution
sigmaaldrich.com
How washing soda is prepared from baking soda. write balanced chemical ...
brainly.in
Formation of a Differential Equation whose General Solution is Given ...
edurev.in
Inorganic Compounds Exploring Their Definition, Formulas, And Examples
pw.live
Write balanced chemical equation for the given word equation :Oleum ...
brainly.in
Calculate the standard enthalpy of formation - CBSE Class 11 Chemistry ...
ask.learncbse.in
Function derivative
niser.ac.in
structure of monomer bakelite - Brainly.in
brainly.in
Indicate how many electrons are transferred in the formation of one ...
ask.learncbse.in
The complete structural formula of (C2H5)4C? - Brainly.in
brainly.in
Electrolysis of Water - Equation, Diagram and Experiment
sscadda.com
Mining Ground Deformation Estimation Based on Pre-Processed InSAR Open ...
mdpi.com
The Role of Fibrosis and Liver-Associated Fibroblasts in the ...
mdpi.com
Reaction when pyrrole is treated with KOH and CCl4 - Brainly.in
brainly.in
Hepatoprotective Effects of a Natural Flavanol 3,3′-Diindolylmethane ...
mdpi.com
Equation of a Plane in Normal Form, Equation of a Plane Perpendicular ...
edurev.in
Number Formation 0 to 10 with rhymes Flashcards
twinkl.co.in
What is the Golden Ratio? - Twinkl
twinkl.co.in
starting from Lewis structure,determine the hybridization types of the ...
brainly.in
convert Ethane to bromoethene - Brainly.in
brainly.in
Compound Microscope: Diagram, Parts, Working & Magnification | AESL
aakash.ac.in
(1) (6) What is overall order of the reaction. CHcl3+ cl2 → ccl4 + Hcl ...
brainly.in
50+ Linear Equations worksheets for 3rd Class on Quizizz | Free & Printable
quizizz.com
Related Searches
CCl4 Molecule
CCl4 Structure
CCl4 Reaction
Bond Enthalpy Equation
CCl4 Lewis Structure
CCl4 Polar or Nonpolar
CCl4 Covalent Bonding
CCl4 Molecular Geometry
Tetrachloride
CCl4 Raman Spectrum
Alfa Aesar
Tetrachloromethane
CCl4 H2O
NBS Reaction Mechanism
Molecule Animation
CH2Cl2 Lewis Structure
Cyclohexene Reaction with Br2
SCL4 Lewis Structure
Carbon Tetrachloride CCl4
C5H8O Structure
Chlorine Orbital Diagram
Clapeyron Equation
Electrophilic Addition
Isomer Structural Formula
S2Cl2
VSEPR Lewis Structure
Forma Molecular
Carbon Electron Dot Structure
Carbon Disulfide Lewis Structure
Cl2o2
Search
×
Search
Loading...
No suggestions found