Find Your Style
Women
Men
Accessories
Search for clothing, brands, styles...
×
Women
Men
Accessories
Cd4 6 Inhibitor
Search
Loading...
No suggestions found
Facts about Indian businessman who is buying Lavasa city for INR 1814 ...
timesofindia.indiatimes.com
Top CNG cars priced below INR 10 lakh | ETAuto
auto.economictimes.indiatimes.com
I have created an Export invoice in other currency, but it showing INR ...
community.getswipe.in
Portable AC Products and Services at price INR 0 in Bangalore Urban | Rentx
rentx.in
Indian firms tap independent talent at INR 10K to 30K/day to scale ...
aninews.in
playstation Rs.1000 INR Gift Card Price in India - Buy playstation Rs ...
flipkart.com
Corrosion Inhibitor Chemical products at price INR 250 in Vadodara ...
vitarag.in
5. Calculate the Cash from Operations, if Sales INR 40000 INR 30000 INR ...
brainly.in
TDS on Rent Limit Increased to INR 6 Lakh From INR 2.4 Lakhs Under ...
magicbricks.com
2,900 INR to USD - Convert Indian rupees to US dollars | INR to USD ...
wise.com
Flight Delhi Paris from INR 53.884 RT - cheap flights Paris, France ...
wwws.airfrance.in
mPokket Disbursed INR 3500 Cr in 2022 Expects To Disburse INR 7000 Cr ...
smestreet.in
51-year-old Tabu's INR 50,000 face cream and more beauty secrets ...
timesofindia.indiatimes.com
Top 5 cars with ADAS in India under INR 20 lakh | ETAuto
auto.economictimes.indiatimes.com
Vietnam ticket 0 INR + tax, INR 10600 return! - The Airline Blog
airlineblog.in
INR extends winning streak
msn.com
Automatic cars under INR 10 lakh | ETAuto
auto.economictimes.indiatimes.com
All about Salman Khan's INR 45 lakh watch he sported on Bigg Boss OTT ...
timesofindia.indiatimes.com
Tom Cruise's anti-ageing 'poop' facial costs INR 14,000 per sitting ...
timesofindia.indiatimes.com
QP CMA 14 - Q Direct Wages INR 2,05,000 and Factory Cost INR 5,60,000 ...
studocu.com
The Evolving Pathways of the Efficacy of and Resistance to CDK4/6 ...
mdpi.com
FDA-Approved Small Molecule Compounds as Drugs for Solid Cancers from ...
mdpi.com
Abemaciclib gets new approval for breast cancer - NCI
cancer.gov
Viruses | Special Issue : Virus-Induced Membrane Fusion
mdpi.com
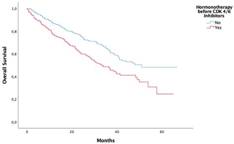
Real-World Predictors of Survival in CDK4/6 Inhibitor-Treated ...
preprints.org
Sensor Sensibility—HIV-1 and the Innate Immune Response
mdpi.com
βTrCP is Required for HIV-1 Vpu Modulation of CD4, GaLV Env, and BST-2 ...
mdpi.com
Mechanisms of Primary and Acquired Resistance to Immune Checkpoint ...
mdpi.com
AMPK Is the Crucial Target for the CDK4/6 Inhibitors Mediated ...
mdpi.com
IFN-gamma antibody (CL647-98001) | Proteintech
ptglab.com
Role of Immunotherapy in Sarcomas
mdpi.com
Factor XI/XIa Inhibition: The Arsenal in Development for a New ...
mdpi.com
Real-World Predictors of Survival in CDK4/6 Inhibitor-Treated ...
preprints.org
In Vivo Anticancer Activity of AZD3965: A Systematic Review
mdpi.com
CXCL13 in Cancer and Other Diseases | Encyclopedia MDPI
encyclopedia.pub
An Overview of PDE4 Inhibitors in Clinical Trials | Encyclopedia MDPI
encyclopedia.pub
Small Molecule BRD4 Inhibitors Apabetalone and JQ1 Rescues Endothelial ...
mdpi.com
Immunosuppressant Drugs - Calcineurin inhibitors • Cyclosporine ...
studocu.com
Naturally-Occurring Tyrosinase Inhibitors Classified by Enzyme Kinetics ...
mdpi.com
βTrCP is Required for HIV-1 Vpu Modulation of CD4, GaLV Env, and BST-2 ...
mdpi.com
BD FACSPresto™ System | Portable Cell Analyzer | CD4 Testing
bdbiosciences.com
IL-4 antibody (FITC-65074) | Proteintech
ptglab.com
Datura Metel L. Ameliorates Imiquimod-Induced Psoriasis-Like Dermatitis ...
mdpi.com
Formulation of Dosage Forms with Proton Pump Inhibitors: State of the ...
mdpi.com
Tolerability of BRAF and MEK Inhibitors for Metastasized Melanoma after ...
mdpi.com
Lilly Plumbs Data's Depths To Differentiate CDK4/6 Inhibitor Verzenio
insights.citeline.com
SGLT2 Inhibitors as a Therapeutic Option for Diabetic Nephropathy
mdpi.com
Inhibitors of ATP Synthase as New Antibacterial Candidates
mdpi.com
Impact of Acetazolamide, a Carbonic Anhydrase Inhibitor, on the ...
mdpi.com
Liquipastin - Fill and Sign Printable Template Online
uslegalforms.com
Formulation of Dosage Forms with Proton Pump Inhibitors: State of the ...
mdpi.com
SGLT2 Inhibitors: Nephroprotective Efficacy and Side Effects
mdpi.com
Inhibitors of ETC - INHIBITORS & UNCOUPLERS 4 th Semester CC8 TH ...
studocu.com
Adverse Effects of Angiotensin-Converting Enzyme Inhibitors in Humans ...
mdpi.com
Buy Essentials of SGLT2 Inhibitors in Diabetes Book Online at Low ...
amazon.in
Tetra(ethylene glycol) diacrylate technical grade, HQ 100-150ppm ...
sigmaaldrich.com
BD FACSPresto™ System | Portable Cell Analyzer | CD4 Testing
bdbiosciences.com
Discovery of a Novel Class of Covalent Dual Inhibitors Targeting the ...
mdpi.com
Role of Mitochondria-Cytoskeleton Interactions in the Regulation of ...
mdpi.com
Products | Welcome To Vitarag Chemicals, India
vitarag.in
WD-40 Specialist Long-Term Corrosion Inhibitor, 6.5 OZ : Amazon.in
amazon.in
Naturally-Occurring Tyrosinase Inhibitors Classified by Enzyme Kinetics ...
mdpi.com
Subcellular Localization of HSP90 | Encyclopedia MDPI
encyclopedia.pub
Coumarin-Based Sulfonamide Derivatives as Potential DPP-IV Inhibitors ...
mdpi.com
TNF Inhibitors Market Analysis 2018 - 2026 by Size, Share Growing ...
teletype.in
Products | Welcome To Vitarag Chemicals, India
vitarag.in
7days natural Hair Inhibitor Permanent Hair Removal Cream Cream - Price ...
flipkart.com
Results for "cocktails" | Proteintech Group
ptglab.com
Tamsulosin 0.4 mg (Modified Release) Dutasteride 0.5 mg Tablet For PCD ...
mkmedicine.in
Global Immune Checkpoint Inhibitors Market Analysis, Size, Regional ...
teletype.in
Pde-5 inhibitors - PDE-5 INHIBITORS PDE-5 inhibitor, in full ...
studocu.com
IL-31: State of the Art for an Inflammation-Oriented Interleukin
mdpi.com
Welcome To Vitarag Chemicals in Vadodara, India
vitarag.in
Screening Strategy of Pancreatic Cancer in Patients with Diabetes Mellitus
mdpi.com
Cell Lysis and Protein Extraction Products | Biomall.in, India
biomall.in
Biological activity of soybean trypsin inhibitor and plant lectins ...
oar.icrisat.org
Global Styrene Polymerization Inhibitor Market 2020 Segmentation and ...
teletype.in
Cost analysis of ACE inhibitors and ARBs used in essential Hypertension ...
ajpp.in
Neue Therapiestrategien abseits der Chemotherapie - Gynäkologie ...
universimed.com
products | Vitarag Chemicals, India
vitarag.in
Maruti dealers and showrooms in Ahmedabad | Kiran Maruti
kiranmotors.co.in
WD-40 Specialist Long-Term Corrosion Inhibitor, 6.5 OZ [6-Pack] : Amazon.in
amazon.in
Norepinephrine Reuptake Inhibitor: Buy Norepinephrine Reuptake ...
flipkart.com
P0705 Code: Transmission Range Sensor Circuit Malfunction, 59% OFF
ahalia.ac.in
Buy Cortec VpCI-368-5Gal - CorShield Extreme Outdoor Corrosion ...
ubuy.co.in
Nature Sure Jonk Shampoo Hair Cleanser for Men and Women 300ml
everteen-neud.com
IFN-gamma antibody (CL488-69007) | Proteintech
ptglab.com
Complete this vocabulary exercise relating to enzymes, Match the words ...
ask.learncbse.in
Welcome To Vitarag Chemicals in Vadodara, India
vitarag.in
Buy Hihaha 1pc Inhibitor Neutral Safety Switch Auto Trans Switch ...
desertcart.in
Products | Welcome To Vitarag Chemicals, India
vitarag.in
Welcome To Vitarag Chemicals in Vadodara, India
vitarag.in
BMW G 310 R BS6 price, specs, mileage, colours, photos and reviews ...
bikes4sale.in
10 INR-friendly destinations where rupees rule | Times of India
timesofindia.indiatimes.com
products | Vitarag Chemicals, India
vitarag.in
Novel PDE3 and PDE4 inhibitor ensifentrine significantly improves lung ...
medicaldialogues.in
Ramipril 2.5 mg Hydrochlorothiazide 12.5 mg Tablet For PCD Franchise
mkmedicine.in
From J.R.R. Tolkien to Ashwin Sanghi: Famous authors born in January ...
timesofindia.indiatimes.com
SABCS | MedPage Today
medpagetoday.com
NEUD Natural Hair Inhibitor for Men & Women-1 Pack (80g) Cream - Price ...
flipkart.com
Indian Rupee Malaysian Ringgit (INR MYR) Converter - Investing.com India
in.investing.com
BNB to INR: Convert BNB (BNB) to Indian Rupee (INR) | Coinbase India ...
coinbase.com
New Study Backs SGLT2 Inhibitors for Kidney Health in High-Risk ...
medicaldialogues.in
Buy Igloo Coolers & Outdoor Products Online | Ubuy India
ubuy.co.in
Welcome To Vitarag Chemicals in Vadodara, India
vitarag.in
7 Days Natural Hair Inhibitor Permanent Hair Removal Cream Cream ...
flipkart.com
Buy 5X Laemmli buffer- MBE-02 ABT-366S in India | Biomall
biomall.in
Schneider Electric to Double its Manufacturing Capacity with a Planned ...
se.com
Maruti Wagon R Brochure | Download Wagon R Brochure Online
autovista.in
NEUD Natural Hair Inhibitor for Men & Women-1 Pack (80g) Cream - Price ...
flipkart.com
Without pic don’t answer. The scientists first evaluated several ...
brainly.in
Products | Welcome To Vitarag Chemicals, India
vitarag.in
Grade R Coding and Robotics - Patterns with Shape and Colour
twinkl.co.in
7days natural Hair Inhibitor Permanent Hair Removal Cream Cream - Price ...
flipkart.com
Buy Total Hot Tub Care: Clarifier, Oxidizer, Scale Inhibitor, Balancer ...
desertcart.in
Dr. R.K. Singh | Pediatrician | Online Consultation | Peace Point Hospitals
docspoint.in
Multimedia - Universimed - Medizin im Fokus
universimed.com
7 Days Natural Hair Inhibitor Permanent Hair Removal Cream Cream ...
flipkart.com
Welcome To Vitarag Chemicals in Vadodara, India
vitarag.in
KIRLOSKAR SP-0M, 1 HP, Three Phase, 415 Volts, Size 40mm X 40mm ...
pumpworld.in
Related Searches
INR Ratio
Normal INR
INR Blood Test
Coumadin INR Dosing Chart
PT/INR Test
Coumadin INR Levels Chart
INR Scale
INR Normal Range
INR 5
INR Explained
INR Normal Values
INR Adjustment Chart
INR of 6 Means What
INR Report
Warfarin INR. Check
INR Is at 6
What Does INR of 6 Mean
Elevated INR Causes
INR 1.2
INR 6 Meaning
INR Equation
INR Test Results Chart
International Normalized Ratio INR
INR Calculation Formula
INR Calculator
INR Curve
INR Score
What Does INR Measure
INR Therapeutic Range
Standing INR Order 6 Months From Today
Target INR
INR Table
INR of 6 Managmement
INR Diagram
Warfarin Inr Guidelines
INR Adjust
INR Pathway
Causes of High INR
INR Linearity
Unit of Measurement for INR
INR Monitoring Table
INR Survey
INR Management Chart
PT/PTT INR Lab Values
INR Book
Critical INR
Explain INR in Simple Terms
Target INR for PE
INR Meaning Medical
INR Stago
Search
×
Search
Loading...
No suggestions found