Find Your Style
Women
Men
Accessories
Search for clothing, brands, styles...
×
Women
Men
Accessories
Cdpr Structure Paper
Search
Loading...
No suggestions found
Paper Inr - Artist Wiro Sketch Book A5 Size (21.0 Cm X 14.8 Cm) 140 Gsm ...
amazon.in
Finance Career
financecareer.in
Central Pulp & Paper Research Institute
cppri.res.in
Warfarin Toxicity and Individual Variability—Clinical Case
mdpi.com
IB ACIO Descriptive Paper 2025, Topics and Preparation Tips
adda247.com
3D Cell Structure custom wallpaper for wall – Myindianthings
myindianthings.com
Data Structure Paper Solution Nov-Dec 2024 - tops puh (51) 47 12 Data ...
studocu.com
Data structures using C 2019 min - QP CODE: 19102230 Reg No ...
studocu.com
BCS405A Discrete Mathematical Structures - Course Overview & Modules ...
studocu.com
4th semester data structure using c programming question paper - Studocu
studocu.com
Sessional-1 | Data Structures | 24-25 - PYQ - Gyan Aangan
gyanaangan.in
2023(2024)AL Physics Structured Essay Notes - English Medium - Studocu
studocu.com
1.Data Structure KCS301 2019-20 AKTU QPaper - B.tech - Studocu
studocu.com
IMG 6820 - BCA FIRST SEM QUESTION PAPER *Discrete Structures* 1 ...
studocu.com
How to structure the literature review in a research paper?
projectguru.in
CN BCS502 Module 1 Notes - Syllabus COMPUTER NETWORKS Semester V Course ...
studocu.com
Level 2 Descriptive Writing - Structure Sheet
twinkl.co.in
SAT Coaching Online | Best Score 1550 in First Attempt
fastprepacademy.com
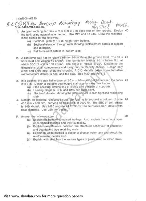
Design and Drawing of Reinforced Concrete Structures 2013-2014 BE Civil ...
shaalaa.com
Buy సాలిడ్ స్ట్రక్చర్స్ యొక్క ఐదు రకాలు | సైన్స్ పోస్టర్లు | 850mm x ...
ubuy.co.in
Thick paper 190 g/m², | Marble Beige Marble & Structure | Paper-Media
paper-media.com
Data structures paper 2023 - 0 UA-2409| BACHELOR OF COMPUTER ...
studocu.com
Academic Writing Guide: Paragraph Structure (Essay and Thesis Writing ...
amazon.in
MCA 2nd Sem Final Exam May 2012: Data Structures Paper - Studocu
studocu.com
CBSE Class 9 Term 1 Exam 2021-22: Check Important MCQs from Maths ...
jagranjosh.com
MCA 2nd Sem Final Exam May 2012: Data Structures Paper - Studocu
studocu.com
Discrete Structures 2013-2014 BE Computer Engineering Semester 3 (SE ...
shaalaa.com
Origami And Kirigami Paper Art Structures No 3 Fold Cut | Desertcart INDIA
desertcart.in
DATA STRUCTURES (PAPER-2) - B.SC. 2ND YEAR SERIES-(HINDI+ENGLISH MEDIUM ...
amazon.in
Argumentative Sentence resource | 6th-8th Grade | Twinkl USA
twinkl.co.in
VTU exam Question Paper with Solution of 18CS36 Discrete Mathematical ...
studocu.com
50+ Narrative Essay Structure worksheets for 8th Class on Quizizz ...
quizizz.com
50+ Informative Essay Structure worksheets for 7th Class on Quizizz ...
quizizz.com
Origami and Kirigami Paper Art Structures No 2: Fold and Cut Patterns ...
amazon.in
Origami and Kirigami Paper Art Structures No 1: Fold and Cut Patterns ...
amazon.in
Basic Essay Structure Poster Set - Years 7-10 - Beyond
twinkl.co.in
50+ Narrative Essay Structure worksheets on Quizizz | Free & Printable
quizizz.com
DAA 4057 - Design and Analysis of Algorithms PYQ 2023 - Studocu
studocu.com
50+ Narrative Essay Structure worksheets for 8th Class on Quizizz ...
quizizz.com
Buy Atomic Structure | Science s | Gloss Paper measuring 850mm x 594mm ...
desertcart.in
1 design steel structures Question paper - 1 Model Question Paper ...
studocu.com
Notepads HEXAGONS | Paper-Media
paper-media.com
50+ Narrative Essay Structure worksheets on Quizizz | Free & Printable
quizizz.com
CONTACT Us | Official Website of Central Pulp & Paper Research ...
cppri.res.in
Hamburger Paragraph Writing Center Poster (teacher made)
twinkl.co.in
Design and Drawing of Reinforced Concrete Structures 2016-2017 BE Civil ...
shaalaa.com
Notepads TRIANGLES | Paper-Media
paper-media.com
DS- Model Paper-1 - Data structure - Bangalore University I Semester ...
studocu.com
Limit State Method for Reinforced Concrete Structures 2015-2016 BE ...
shaalaa.com
50+ Informative Essay Structure worksheets for 6th Class on Quizizz ...
quizizz.com
Buy AMIE Data Structures CP 403 Solved Paper [Paperback] Jain Brother ...
amazon.in
Buy Living English Structure Paper (General Grammar) Book Online at Low ...
amazon.in
50+ Informative Essay Structure worksheets for 2nd Class on Quizizz ...
quizizz.com
50+ Narrative Essay Structure worksheets for 8th Class on Quizizz ...
quizizz.com
Paper Inr- Watercolor Artist Sketch Book Square Size (15.0Cm X 15.0 Cm ...
amazon.in
Paper and Card Structures | Paper models house, Free paper models ...
pinterest.com
Module 4 previous question s - Discrete Mathematical Structures - Studocu
studocu.com
Persuasive Writing Year 5 Display Poster | Primary Resources
twinkl.co.in
Home Page [www.iitr.ac.in]
iitr.ac.in
Official Website of Central Pulp & Paper Research Institute, Saharanpur ...
cppri.res.in
Logic Discrete Mathematical Structures 2014-2015 B.Sc IT (Information ...
shaalaa.com
Official Website of Central Pulp & Paper Research Institute, Saharanpur ...
cppri.res.in
Buy Hexagonal Graph Paper: 100 Honeycomb Paper Pages for Drawing ...
desertcart.in
Colbav .:. Colegio de Bacteriólogos del Valle » Blog Archive » Increase ...
colbav.com
50+ Narrative Essay Structure worksheets on Quizizz | Free & Printable
quizizz.com
50+ Informative Essay Structure worksheets for 2nd Class on Quizizz ...
quizizz.com
Structures assisting the migrations of non-salmonid fish: Latin America ...
amazon.in
50+ Narrative Essay Structure worksheets on Quizizz | Free & Printable
quizizz.com
50+ Narrative Essay Structure worksheets for 8th Class on Quizizz ...
quizizz.com
Notepads ABSTRACT | Paper-Media
paper-media.com
Notepads CIRCLES | Paper-Media
paper-media.com
TEEL Paragraph Example A4 Display Poster - Persuasive Texts
twinkl.co.in
Fertility Test – Abir Space
abirspace.com
Buy Chemistry : Hexagonal graph paper for notes and two chem eBooks ...
desertcart.in
Buy Cell Structures | Science s | Laminated Gloss Paper measuring 850mm ...
desertcart.in
Ikea Side Table, Black-Brown 55x55 cm (21 5/8x21 5/8") , ( Top ...
amazon.in
CBSE Class 10 Home Science Syllabus 2022-2023: Check Course Structure ...
jagranjosh.com
Column and Eulers simple essay - Design of concrete structures - Studocu
studocu.com
Texture of craft green color paper background with white border macro ...
freepik.com
Data Structures 2016-2017 B.Sc Computer Science Semester 2 (FYBSc ...
shaalaa.com
Java and Data Structures 2017-2018 B.Sc IT (Information Technology ...
shaalaa.com
SRM University : International Conference on “Structural Integrity and ...
srmuniversity.ac.in
Buy Origami and Kirigami Paper Art Structures No 2: Fold and Cut ...
desertcart.in
Official Website of Central Pulp & Paper Research Institute, Saharanpur ...
cppri.res.in
Official Website of Central Pulp & Paper Research Institute, Saharanpur ...
cppri.res.in
How to emphasize the thesis introduction chapter from the rest of the ...
projectguru.in
CTC Calculator | Salary Breakdown for Indian Employees
ctccalculator.in
₹100 Bond Paper: Uses, Legal Importance & Buying Guide
hexahome.in
Design and Drawing of Reinforced Concrete Structures 2011-2012 BE Civil ...
shaalaa.com
Design and Drawing of Reinforced Concrete Structures 2008-2009 BE Civil ...
shaalaa.com
Noon break – Crafttatva.com
crafttatva.com
Paper Heart Pink Wallpaper – Myindianthings
myindianthings.com
Analysis of Composite Structures (Kogan Page Science Paper Edition ...
amazon.in
Logic Discrete Mathematical Structures 2010-2011 B.Sc IT (Information ...
shaalaa.com
Buy HEXANOTE: Hexagonal Graph - Chemistry: chemistry & Biochemistry ...
desertcart.in
Marble paper | Stationery Paper Marble & Structure | MARBLE MAGENTA
paper-media.com
Discrete Structures 2013-2014 BE Computer Engineering Semester 3 (SE ...
shaalaa.com
Central Pulp & Paper Research Institute
cppri.res.in
Official Website of Central Pulp & Paper Research Institute, Saharanpur ...
cppri.res.in
Luxury Maroon Chinoiserie Wallpaper – Myindianthings
myindianthings.com
Strengthening Materials Grade 4 - Twinkl South Africa
twinkl.co.in
IPU BA LLB Syllabus: Semester Wise Subjects, Course Structure & Paper Codes
thelegalschool.in
Data Structures 2017-2018 B.Sc Computer Science Semester 2 (FYBSc ...
shaalaa.com
Scenery Chinoiserie Wallpaper – Myindianthings
myindianthings.com
Java and Data Structures 2017-2018 B.Sc IT (Information Technology ...
shaalaa.com
Chinoiserie Blue Floral Garden Wallpaper – Myindianthings
myindianthings.com
Floral Fantasia Chinoiserie Wallpaper – Myindianthings
myindianthings.com
Vintage Tropical Park Chinoiserie Wallpaper – Myindianthings
myindianthings.com
Essay Structure - ESSAY STRUCTURE PARAGRAPGH 1 – (Introduction + Thesis ...
studocu.com
Official Website of Central Pulp & Paper Research Institute, Saharanpur ...
cppri.res.in
Paper Pink Subtle Wallpaper – Myindianthings
myindianthings.com
Introduction of Paper Testing | Official Website of Central Pulp ...
cppri.res.in
Graphical_Abstract_CoE SusPol
iitg.ac.in
Paper Inr- Watercolor Artist Sketch Book Square Size (15.0Cm X 15.0 Cm ...
amazon.in
copy paper texture or overlay. grainy paper structure. scanning texture ...
pinterest.com
Buy Origami and Kirigami Paper Art Structures No 1: Fold and Cut ...
desertcart.in
Paper Collage Design Aesthetic Wallpaper – Myindianthings
myindianthings.com
Kirtiraj Kundlik Gaikwad
iitr.ac.in
Related Searches
Academic Paper Structure
Paper Structure Chart
Wall Structure From Paper
Plain Paper Structure
Paper Structures Project
3D Paper Structure Making
Research Paper Structure
Paper Lid Structure
Essay Paper Structure
Backbone of Paper Structure
Journal Structure
CDP Template
Lightweight Paper Structure
Research Paper Structure Example
Journaling Structure
Planning Structure Paper
Large Abstract Paper Structure
Struktur Short Paper
Paper Massing Structure
Rolled Paper Structures
Structure of a Term Paper
Thesis Structure
Cdpr Pavel
Structure of a Concetual Paper
Abstract Lined Structures Paper
Akd Structure Paper
Structure of a Journal Writing
Discussion Essay Structure
Paragraph Writing Structure
Paper Structures Made of Paper
Word Structure of an Journal Paper
Sections in a Paper
Data Structure Sample Paper
Data Papers for Schoola
Basic Essay Structure
Structure of Question Paper
Paper Folding Architecture
How to Make Structures Out of Paper
CDP One Page Sheet
EZ Structures Paper Model
Strong Paper Structure to Hold Books
Struture of a Scitific Paper
Argumentative Essay Structure Example
Structure Inspired From a Sheet of Paper
Structure of a Research Article
Essay Structure Examples
Sketches of Different Paper Stand Structures
Experiments with Paper a Structure's
Structures That Can Be Made by Paper
Cdpr Robot
Search
×
Search
Loading...
No suggestions found