Find Your Style
Women
Men
Accessories
Search for clothing, brands, styles...
×
Women
Men
Accessories
Cel Mai Frumos Mesaj De Dragoste
Search
Loading...
No suggestions found
14 Shubh Ratri Marathi Quote (शुभ रात्री मराठी सुविचार) Images ...
smitcreation.com
Raees: Here's how Twitterati reacted to the ban on Shah Rukh Khan's ...
ibtimes.co.in
Cel mai bun tată din lume – Diplome
twinkl.co.in
2340+ Hindi Pictures, Images, Photos
desicomments.com
Diplomă pentru părinții elevilor
twinkl.co.in
2340+ Hindi Pictures, Images, Photos
desicomments.com
Betaab Teri Yaad Mein
shayarilovers.in
Făt-Frumos din lacrimă, adaptare după Mihai Eminescu
twinkl.co.in
Teri Yaadein Teri Baatein
shayarilovers.in
2340+ Hindi Pictures, Images, Photos - Page 35
desicomments.com
IPL 2025 Ticket Booking Guide: Stadium-wise Availability and How to Buy ...
iplticket.co.in
Certificat de cititor - Diplomă
twinkl.co.in
Semnele mai mare/mai mic | Elemente de decupat | Twinkl
twinkl.co.in
Best Funny sms in Hindi | latestsms.in
latestsms.in
Birthday Shayari in English। Birthday Shayari for friends। बर्थ डे ...
sadandlove.in
"Hasretinden yandı gönlüm" adlı şarkının notaları nedir?
msxlabs.org
Çember ve Daire
msxlabs.org
SBI मिनी स्टेटमेंट: टोल-फ्री नंबर, SMS और SBI मोबाइल ऐप की मदद से करे ...
paisabazaar.com
Çember ve Daire
msxlabs.org
Python Swallows A Man In Indonesia, Villagers Slice Open The Snake To ...
indiatimes.com
Başbakanlarımız hakkında bilgi verir misiniz?
msxlabs.org
Hz. Muhammed kaç yılında peygamber oldu, isimleri nedir, ilk ...
msxlabs.org
Çember ve Daire
msxlabs.org
En İyi Drift Aracı - Sayfa 2
msxlabs.org
Çember ve Daire
msxlabs.org
Dairenin çevresi ve alanı nasıl hesaplanır?
msxlabs.org
Kaldıraçlar ile ilgili soru cevap örnekleri verir misiniz?
msxlabs.org
Bir çemberin yarıçapı nasıl hesaplanır?
msxlabs.org
Ausencia Previamente Romper bateria volvo s60 guerra Vibrar Ardilla
kanippayyur.in
MMO RPG Oyunu PokemonPets
msxlabs.org
MMO RPG Oyunu PokemonPets
msxlabs.org
MMO RPG Oyunu PokemonPets
msxlabs.org
15 Epic Old Nokia Phones That We Will Always Remember
indiatimes.com
Amy Bruckner Kimdir, Hayatı ve Resimleri
msxlabs.org
Kingsland
kingslandineu.com
Kingsland
kingslandineu.com
Kingsland
kingslandineu.com
Peyton Roi List Resimleri - Sayfa 3
msxlabs.org
Kingsland
kingslandineu.com
Kingsland
kingslandineu.com
Yıldızların Spektrumu
msxlabs.org
Compararea fracțiilor - Teaching Wiki | Twinkl România
twinkl.co.in
Compararea fracțiilor - Teaching Wiki | Twinkl România
twinkl.co.in
Gülmek ile ilgili deyimler nelerdir?
msxlabs.org
Birthday Shayari in English। Birthday Shayari for friends। बर्थ डे ...
sadandlove.in
Atatürk Devrimleri / Toplumsal Devrimler - Soyadı Kanunu
msxlabs.org
Peyton Roi List Resimleri - Sayfa 3
msxlabs.org
Kaldıraçlar ile ilgili soru cevap örnekleri verir misiniz?
msxlabs.org
Şarkıyı CD'ye nasıl kopyalayabiliriz?
msxlabs.org
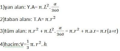
Silindir ve Silindirin Özellikleri
msxlabs.org
Direnç Devre Elemanları, Çeşitleri ve Özellikleri
msxlabs.org
Kaldıraçlar ile ilgili soru cevap örnekleri verir misiniz?
msxlabs.org
Samuel Dirksz van Hoogstraten Kimdir, Hayatı ve Resimleri
msxlabs.org
How to manage the notifications and permissions of apps through ...
samsung.com
Top 100 Shero Shayari in Hindi 2022 {100% Unique & Fresh}
dailysmscollection.in
Silindir ve Silindirin Özellikleri
msxlabs.org
Silindir ve Silindirin Özellikleri
msxlabs.org
Prizmaların taban alanı nasıl bulunur?
msxlabs.org
Prizmaların taban alanı nasıl bulunur?
msxlabs.org
Windows 10 şifresini unuttum, ne yapabilirim?
msxlabs.org
Prizmaların taban alanı nasıl bulunur?
msxlabs.org
RFID Weighbridge, Weighbridge RFID Software, Weighbridge RFID ...
monilautomation.com
Silindir ve Silindirin Özellikleri
msxlabs.org
Silindir ve Silindirin Özellikleri
msxlabs.org
Daire diliminin alanı nasıl bulunur?
msxlabs.org
Karakalem Çalışmaları - Sayfa 16
msxlabs.org
Silindir ve Silindirin Özellikleri
msxlabs.org
2110+ Punjabi Funny Pictures, Images, Photos - Page 17
desicomments.com
Dev / Devin Star Tailes Kimdir, Hayatı ve Resimleri
msxlabs.org
Koi Aap Sa Nahi Hindi Shayari - Hindi Status And Shayari
statusnshayari.in
Bratz Resimleri
msxlabs.org
Kaldıraçlar ile ilgili soru cevap örnekleri verir misiniz?
msxlabs.org
Enzimlerin yapısı nelerden oluşur?
msxlabs.org
Bileşik makine nedir? - Sayfa 2
msxlabs.org
Laurens Van Der Post Kimdir, Hayatı ve Resimleri
msxlabs.org
Laurens Van Der Post Kimdir, Hayatı ve Resimleri
msxlabs.org
Search
×
Search
Loading...
No suggestions found