Find Your Style
Women
Men
Accessories
Search for clothing, brands, styles...
×
Women
Men
Accessories
Centroid 3d
Search
Loading...
No suggestions found
INR Full Form: What is full form of INR?
bankersadda.com
Samsung Launches Galaxy Tab S10FE Series in India, Starting at INR ...
news.samsung.com
IRCTC offers tours to the heritage town of Hampi for 3D/4N at just INR ...
timesofindia.indiatimes.com
10980790 inr to cad 3D Models | Page 1 | STLFinder
stlfinder.com
usd to inr sbi rate: Latest News & Videos, Photos about usd to inr sbi ...
economictimes.indiatimes.com
Best whiskey under INR 1500 for a pocket-friendly drinking experience
lifestyleasia.com
High-Precision Centroid Measurement Method Based on 3D Scanning and ...
mdpi.com
Engineering Mechanics- Centroid OF Areas - Mechanical Engineering - Studocu
studocu.com
Mechanics Module 3 - Lecture note by KTU - 63 MODULE 3 – PROPERTIES OF ...
studocu.com
Solved Example & Practice Problems: Centre of Gravity, Centre of Mass ...
mech.poriyaan.in
Chromatic Confocal Displacement Sensor with Optimized Dispersion Probe ...
mdpi.com
Introduction To Center Of Gravity, Center Of Mass, And Centroid
pw.live
centroid in maths: Definition, Types and Importance | AESL
aakash.ac.in
centroid in maths: Definition, Types and Importance | AESL
aakash.ac.in
Solved Example & Practice Problems: Centroid of Composite Areas
mech.poriyaan.in
Mechanics Module 3 - MODULE 3 Difference between CENTRE OF GRAVITY and ...
studocu.com
Byjus.com-Difference Between Centre of Gravity and Centroid - 1 ...
studocu.com
Two Marks Questions with Answers - Centroid | Distributed Forces ...
mech.poriyaan.in
Centre of Gravity, Centre of Mass and Centroid - with Solved Example ...
mech.poriyaan.in
Centroid of Composite Areas - General procedure to find centroid of ...
mech.poriyaan.in
centroid in maths: Definition, Types and Importance | AESL
aakash.ac.in
Determine the x coordinate of centroid of the area in the shape of ...
edurev.in
Centroid of Composite Areas - General procedure to find centroid of ...
mech.poriyaan.in
The centroid is the centre point of the object. It is also defined as ...
brainly.in
Solved Example & Practice Problems: Centre of Gravity, Centre of Mass ...
mech.poriyaan.in
Calculate the location of the centroid of the L section as shown ...
edurev.in
Centroid of Composite Areas - General procedure to find centroid of ...
mech.poriyaan.in
determine the coordinates of the centroid of the plane area with figure ...
brainly.in
Centre of Gravity, Centre of Mass and Centroid - with Solved Example ...
mech.poriyaan.in
5. 'In an equilateral triangle, the distance between the centroid and ...
brainly.in
3 identical charges each 'q' are placed at vertices of equilateral find ...
brainly.in
a hollow semi-circular section is as shown in fig. determine centroid ...
brainly.in
The centroid is the centre point of the object. It is also defined as ...
brainly.in
Centroid
centroides.in
centroid in maths: Definition, Types and Importance | AESL
aakash.ac.in
(14) Find the by the curves centroid of region bounded by the region y ...
brainly.in
The centroid of a triangle is (2,3) and two of its vertices are (5,6 ...
brainly.in
∆ABC is an equilateral triangle. G is the centroid of the triangle.If ...
brainly.in
centroid in maths: Definition, Types and Importance | AESL
aakash.ac.in
Two equilateral triangular wires XYZ and PQR have same centroid as ...
brainly.in
Pls tell the general formulae of paraboloid...how can we use that ...
scoop.eduncle.com
CENTROID Office Photos
glassdoor.co.in
Let the centroid of an equilateral triangle
esaral.com
Centroid Academy | Best IITIANS CENTROID Thane |Mumbai’s Top Mentoring ...
centroidacademy.in
Solved Example & Practice Problems: Centroid of Composite Areas
mech.poriyaan.in
The centroid of an equilateral triangle ABC is G. If AB is 6 cms, the ...
brainly.in
Distance from centroid of an equilateral triangle to one of its corners ...
brainly.in
ZWCAD Professional (2D+3D) License
ssmnetworks.in
ZOTIMO UV Light for Resin Art - 405nm LED Curing Lamp for 3D Printer ...
amazon.in
International Tour Packages From Chennai | renghaholidays
renghaholidays.com
If triangle₁ is the area of the triangle formed by the centroid and two ...
brainly.in
Centers of Triangle (Centroid, Incenter, Circumcenter, Orthocenter) for ...
qmaths.in
On Doppler Shifts of Breaking Waves
mdpi.com
Centroid Luxuria | at Jamnagar, Jamnagar
a2zproperty.in
Buy Labubu Products Online at Best Prices in India | Ubuy
ubuy.co.in
3d style indian currency rupee sign on white background design | Free ...
freepik.com
`P` is the variable point on the circle with center at `CdotC A` and `C ...
allen.in
186 Uipath rpa developer jobs in India | Glassdoor
glassdoor.co.in
Rengha Tours & Travels - Internation Tour Packages
renghaholidays.com
Find Centroids—Portal for ArcGIS | ArcGIS Enterprise
mumgis.mcgm.gov.in
Meter Bridge: Formula, Diagram, Construction and Derivation
careers360.com
how to derive moment of inertia of an equilateral triangle lamina about ...
brainly.in
Centroid Academy | Best IITIANS CENTROID Thane |Mumbai’s Top Mentoring ...
centroidacademy.in
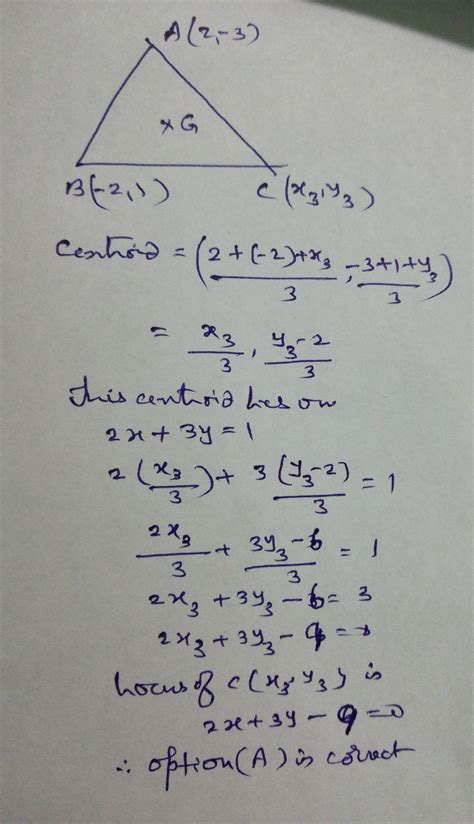
Let A (2, -3) and B(-2, 1) be vertices of a triangleABC. If the ...
brainly.in
USD/INR Cracks Big: Falls 2% in 4 Days! | Investing.com India
in.investing.com
Auto parts maker Motherson to launch Rs 5,944.5 crore million share ...
autocarpro.in
International Trade Settlement in Indian Rupee (INR)
taxguru.in
Buy New Release] Revopoint Mini 3D Scanner with Tripod, Turntable, Up ...
ubuy.co.in
Introduction to K-means Clustering - Data Clustering Algorithms | T/DG ...
blog.thedigitalgroup.com
Centroid - Quake Wiki
quakewiki.org
Centers of Triangle (Centroid, Incenter, Circumcenter, Orthocenter) for ...
qmaths.in
The tangent PT and the normal PN to the parabola y2 = 4ax at a point P ...
edurev.in
Rengha Tours & Travels - Internation Tour Packages
renghaholidays.com
Buy Labubu Products Online at Best Prices in India | Ubuy
ubuy.co.in
India and Malaysia can now trade in Indian rupee
currentaffairs.adda247.com
Statics- Distributed Forces - 233 5/1 Introduction Section A Centers of ...
studocu.com
Centroid Academy | Best IITIANS CENTROID Thane |Mumbai’s Top Mentoring ...
centroidacademy.in
India shining: Rupee inches closer to becoming international currency ...
timesnownews.com
Trending Interior Design Ideas to Refresh Your Home
rennovate.co.in
The ratio of moment of inertia of a circular plate to that of a square ...
edurev.in
Get House Plan, Floor Plan, 3D Elevations online in Bangalore | Best ...
buildingplanner.in
Centroid Academy | Best IITIANS CENTROID Thane |Mumbai’s Top Mentoring ...
centroidacademy.in
Chapter 5 Defuzzification Methods - 1 Chapter 5 Defuzzification Methods ...
studocu.com
Derive the expression for finding the centroid of a triangle of base h ...
brainly.in
CASE STUDY: 03 All of the persons know that smoking is injurious to ...
brainly.in
whatCorrect option isB8cmWe know that G is centroid of ΔABCAD ...
brainly.in
Centroid Academy | Best IITIANS CENTROID Thane |Mumbai’s Top Mentoring ...
centroidacademy.in
Faber-Castell Stellar - Mathematical Drawing Instrument Box : Amazon.in ...
amazon.in
Buy Rhinoshield Protective Cases & Screen Protectors Online at Best ...
ubuy.co.in
Buy Labubu Products Online at Best Prices in India | Ubuy
ubuy.co.in
Registration Form
cam.mycii.in
1. The centroid of a triangle formed by the lines x = 0, y = 0 and x+y ...
brainly.in
In an equilateral traingle ABC, G is its centroid, ILAG = 4.8 cm, then ...
brainly.in
Rengha Tours & Travels - Internation Tour Packages
renghaholidays.com
Ambition Gifts, New Delhi - Manufacturer of Sublimation Blank Products ...
ambitiongifts.co.in
Uses and SideEffects of Warfarin: What You Need to Know
medicoverhospitals.in
Rengha Tours & Travels - Internation Tour Packages
renghaholidays.com
Rengha Tours & Travels - Internation Tour Packages
renghaholidays.com
International Tour Packages From Chennai | renghaholidays
renghaholidays.com
Rengha Tours & Travels - Internation Tour Packages
renghaholidays.com
OFMS - Tall Seedling Monitor
odishaforestgis.in
Rengha Tours & Travels - Internation Tour Packages
renghaholidays.com
Centroid
centroides.in
Buy Labubu Products Online at Best Prices in India | Ubuy
ubuy.co.in
Dai Price, DAI Price, Live Charts, and Marketcap: dai crypto, dai, dai ...
coinbase.com
Failed Startups - Startups That Could Not Taste Success in their Journey
businessoutreach.in
Toggle navigation
episteme10.hbcse.tifr.res.in
Find the centroid of the lamina as shown in Fig. 3: 6 20 mm 1 100 mm 2 ...
brainly.in
Strategic Management Forum
iimmumbai.ac.in
Buy Diamond Necklace Online | Diamond Set Online Manubhai Jewellers
manubhai.in
Ensemble de mots : Les formes en 3D
twinkl.co.in
Rengha Tours & Travels - Internation Tour Packages
renghaholidays.com
The centroid of the triangle whose vertices are (, ), 37- (, ) 86 - and ...
brainly.in
Taxila Business School Placements 2025 | Highest & Average Package
taxila.in
Working at CENTROID | Glassdoor
glassdoor.co.in
Contact-us – Permanent Magnets Ltd
pmlindia.com
Leather Laptop Backpacks for Men | Lifetime Warranty
leathertalks.com
This is how new Rs 100 note would look like - Note this | The Economic ...
economictimes.indiatimes.com
Rengha Tours & Travels - Internation Tour Packages
renghaholidays.com
2 BHK Flats in Santacruz East, Mumbai | 233+ 2 BHK Flats for Sale in ...
magicbricks.com
Related Searches
Centroid of 3D Triangle
Cone Centroid
Centroid of 3D Object
Centroid Area
Centroid of a Cylinder
Centroid of Sphere
Centroid Formula
Centroid of Line
Centroid of 3D Shapes
Centroid Integral 3D
Centroid Table
3D Body Centroid
Centroid Triple Integral
Centroid of Tetrahedron
Centroid of Any Shape
Centroid Equation 3D
Centroid Definition Geometry
Centroid Couch Problem 3D
Centroid Marking
3D Triangular Centroid
Centroid of 3D Object Fiormula
Centroid of Hemisphere
Centroid of Parabola
Centroid of Two Areas
Centroid Complex Shape
Centroid List. 3D Quarter Circle
Centroid Od 3D Prism
Centroid of a Right Triangle Formula
3D Centroid Neural Network
Centroid vs Center of Gravity
Centroids of Common Shapes
Centroid and Centre of Gravity
3D Triangular Centroid Movement
Centroid Acorn 3D Print
Centroid of 3D Spatial Points
Centroid of Solid Shapes
Centroid of a 3D Rotated Object
Centroid Apparatus
Simplex Centroid Method
Centroid of a Hexagon
Centriod of Cone
Distorted Triangle with Centroid 3D
Centroid Clustering 3D
Coordinates Centroid in 3D
Semi-Parabolic Centroid
Centroid of Human Body
Centroid of 3D Shapes Chart
3D Scanning Centroid Marker Chips
Semicircle Centroid Formula
Centroid of Composite Shapes
Search
×
Search
Loading...
No suggestions found