Find Your Style
Women
Men
Accessories
Search for clothing, brands, styles...
×
Women
Men
Accessories
Ch3 To H
Search
Loading...
No suggestions found
Jacqueline Fernandez moves SC to quash INR 200 Crore Money Laundering ...
lawbeat.in
Rupee crash explained: Why INR hit a record low & what happens next ...
msn.com
THIS AI 'Robot Girlfriend' aims to provide companionship at INR 1.5 ...
msn.com
33000 euro to inr - Claim a ₹300 Bonus Today! Android IOS V- 1.79
tax.lsgkerala.gov.in
INR Full Form: What is full form of INR?
bankersadda.com
Consider the given reactionCH3 CH3 -C-CH3 CH2 -OH (conc. H2SO4) → ...
brainly.in
How do you convert the following? Phenol to anisole from Class 12 CBSE ...
zigya.com
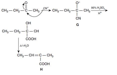
The major product H of the given reaction sequence is CH3 - CH2 - CO ...
tardigrade.in
[Solved] complete the following:-a)CH3-CH=CH2+HBr in the presence of ...
brainly.in
(e) CH3CH=CHCN what are the type of hybridization - Brainly.in
brainly.in
Ch3-ch2-ch=ch2 hbr peroxide→x - Brainly.in
brainly.in
15. Identify 'A' and 'B' in the following equation. CH3 -CH=CH2 H2O/H+ ...
brainly.in
Ch3-c triple bond ch reacts with hcl gives - Brainly.in
brainly.in
Give the bond line structure Formula for CH3 CH2 CH2 OH - Brainly.in
brainly.in
CH3-CH=CH2 in presence of HCL gives - Brainly.in
brainly.in
O=C CH3-O-C-H Name this compound - Brainly.in
brainly.in
write the mechanism of the following sn1 reaction .(ch3)3 cbr with aq ...
brainly.in
write the mechanism of the following sn1 reaction .(ch3)3 cbr with aq ...
brainly.in
Identify the products A and B formed in the following reaction CH3-CH2 ...
brainly.in
write the IUPAC Name of the following (1) CH3-CH=CH-CHO2. H3C-CH2-CO ...
brainly.in
what is the iupac name of CH3-CH=CH(OH)........... - Brainly.in
brainly.in
Name Write IUPAC name of following compound (Benzene Ch2 Ch2 Oh ...
brainly.in
CH3 ch2 C double bond O CH3 name IUPAC - Brainly.in
brainly.in
Arrange the following carbocations in the order of decreasing stability ...
brainly.in
How can I drae structure of [(CH3) CH2] 3COH - Brainly.in
brainly.in
Draw the structure of (CH3)3CCH2Br? - EduRev Class 12 Question
edurev.in
Rank these compounds by boiling point. Highest Boiling Point pentane ...
ask.learncbse.in
Q.11 Write IUPAC names of the following compounds. (i) (CH3)3 C CH2 C ...
brainly.in
Ch3-ch=ch-c triple bond c - ch3 hybridization of each carbon - Brainly.in
brainly.in
.9. Write the bond line formula for the compound (CH3)2CHCH2C(CH3)3 ...
brainly.in
Consider the given reactionCH3 CH3 -C-CH3 CH2 -OH (conc. H2SO4) → ...
brainly.in
IUPAC name of (CH3)3 CCl is - Tardigrade
tardigrade.in
1/31 alkenes h ogeb ch3 ch3 ch oh choh ch h2so4 h ch3-oh h ch3-c- chs c ...
scoop.eduncle.com
Hybridization of carbon in H3C-CH3 ? - Brainly.in
brainly.in
IUPAC name of p-ClC6H4CH2CH(CH3)2 - Brainly.in
brainly.in
60. Which of the following has highest enol content? (1) CH3-CO-CH2-CO ...
brainly.in
ho-ch2-ch(ch3)-ch2-ohch3 c c ch c(o) og iupac name , see the attachment ...
brainly.in
IUPAC name of this CH3-C triplebond C-CH(Cl)-CH3 - Brainly.in
brainly.in
what's the IUPAC name of: ch3- ch(ch3)-ch2-cooh - Brainly.in
brainly.in
The strongest acid among the following is(a) CH3-CH3 (b) H2C=CH2(c) H-C ...
brainly.in
CH3-CH=CH2 (In the presence of acidified KMnO4) gives?? (the whole ...
edurev.in
Q.9. Give the IUPAC name of the following compound: H3C CH3 H H CH3; Br ...
brainly.in
What is the name of the compound (CH3)3CBr - Brainly.in
brainly.in
ch3ch2ch(ch3)ch(c2h5)cl structure and iupac name - Brainly.in
brainly.in
The IUPAC name of the given compound is (CH3)3CCH2C(CH3)3
tardigrade.in
CH3 single bond CH3 + cl2 reaction with sunlight - Brainly.in
brainly.in
CH3-CH2-CO-CH3 + H3O=? - Brainly.in
brainly.in
Ch3-ch2-ch2-oh-------use pcl5 - Brainly.in
brainly.in
(CH3)2CHCH(Cl)CH3 Iupac name of this has to be 2-chloro-4-methyl ...
brainly.in
Write the bond line formula for the compound (CH3)2CHCH2C(CH3)3 ...
brainly.in
IUPAC NAME of C6H5-CH=CH-CH3 - Brainly.in
brainly.in
what is the IUPAC name of CH3-(CH3)2-CH2-CH2-CH2-CHO - Brainly.in
brainly.in
draw molecular orbital diagram of methyl vinyl ketone . - Brainly.in
brainly.in
Complete reaction CH3-CH2-CH-Br-CH3+koh - Brainly.in
brainly.in
Transformation Properties under the Operations of the Molecular ...
mdpi.com
draw the structure of (CH3)3CBr - Brainly.in
brainly.in
What is the structure and IUPAC name of [(CH3)2CH]3COH? - Brainly.in
brainly.in
IUPAC name of(CH3)2C(C2H5)2 - Brainly.in
brainly.in
ch3ch2och(ch3)2 ka iupac name - Brainly.in
brainly.in
USD vs INR: Is it the best time for NRIs to transfer money to India as ...
msn.com
The appropriatereagent for the following transformation foroh-ch2-ch2 ...
brainly.in
In reaction of bromobenzene with liquid NH3 which intermediate is ...
brainly.in
centroid in maths: Definition, Types and Importance | AESL
aakash.ac.in
CH3 Br H CH3-CH-CH CH=CH-CH3 H3C CH=CH2 CH2-CHCI-CH3 Total number of ...
brainly.in
What is the IUPAC name of the compound CH3-CH2-CH2-NH2? a. Aminopropane ...
brainly.in
structure of (CH3)2CH - Brainly.in
brainly.in
Draw the bond line formula for HOCH2 CH2 CH2 CH(CH3)CH (CH3) CH3 ...
brainly.in
structure of N(CH3)3 - Brainly.in
brainly.in
stationery – Rubberband Products
rubberbandproducts.com
Welcome To Kitaabshala
kitabshaala.in
IUPAC name of CH3-CHOH-CH2-COOH - Brainly.in
brainly.in
CH3(CH2)2CHO show this in zig zag formula - Brainly.in
brainly.in
2) Name the following substances by the IUPAC system: a. (CH3)2C=CHCH3 ...
brainly.in
CH3-CH-OH-CH3+H2SO4= - Brainly.in
brainly.in
Write bond line formula.a) CH3 - CH2 - CH2 - CH3b) CH3 - CH = CH -CH2 ...
brainly.in
Charms – The Leather Garden
theleathergarden.com
Easy Chic: Pack A Punch | Grazia India
grazia.co.in
CH3CH(CH3)CH(Br)CH3 structure - Brainly.in
brainly.in
(CH3)2CHOCH3 complete structure - Brainly.in
brainly.in
The correct order of the ease of dehydration of the following alcohols ...
brainly.in
ch3ch2ch(ch3)ch(c2h5)cl structure and iupac name - Brainly.in
brainly.in
IUPAC name of the compound CH3 - CH3 |CH - OCH3 is:
toppr.com
N- Butyl Bromide - CH3(CH2)3Br | 109-65-9 - Aarnee International
aarneeinternational.com
Write the IUPAC name for: (CH3)2CHCH(OH)CH2C(CH3)3,identify the ...
brainly.in
The IUPAC name of the compound (CH3)4C is - - Brainly.in
brainly.in
Products – The Leather Garden
theleathergarden.com
(ii) Name the following and draw the structures also. H a) CH3 - CH ...
brainly.in
What is the IUPAC name of CH3-CH(OH)-CH2-CHO ? - Brainly.in
brainly.in
Structure of C(CH3)4 - Brainly.in
brainly.in
Products – Rubberband Products
rubberbandproducts.com
Import Philips ROHS PCBA Feed CH3 11 1.5T MRI Coil Parts – Befach ...
befach.com
[Expert Verified] (CH3)C-O-CH3 on reaction with HI give CH3OH and (CH3 ...
brainly.in
Best Online Shopping Store in Hyderabad for Top Global Brands | Ubuy
ubuy.co.in
what is the IUPAC NAME for this (CH3)3CCH2CH2CH3? - Brainly.in
brainly.in
IUPAC name of: NO2 CH3CH3 CH CH2 C CH3 OH - Brainly.in
brainly.in
REDCOP IPA Isopropyl alcohol 99.9% Spray | (CH3)2-CH-OH CAS: 67-63-0 ...
amazon.in
Buy Wall Lamp | Tube Cover Curve Wall Lamp | Shop at The Purple Turtles ...
thepurpleturtles.com
complete the following reaction: CH3-CH=CH2+HBr gives - Brainly.in
brainly.in
Name the following compounds: m-Diethylbenzene 1,3,4-trichlorobenzene 5 ...
ask.learncbse.in
(ch3)3c-ch2-ch2-oh write the nomenclature - Brainly.in
brainly.in
Complete the following reactions: a) CH3 / \ | | N CH3
askfilo.com
(Ch3)2chch(cl)ch3 iupac name and clasificastion - Brainly.in
brainly.in
Out of ch3ch(ch3)ch2cl and ch3ch2ch(ch3)cl which is more reactive ...
brainly.in
Write the bond line formula for the compound (CH3)2CHCH2C(CH3)3 ...
brainly.in
KRW to INR, South Korean Won to Indian Rupee Conversion Online at ...
goodreturns.in
write the IUPAC name of flowing(CH3)3CC(CH3)3 - Brainly.in
brainly.in
(CH3)3C.OH iupac name - Brainly.in
brainly.in
Sturcture of CH3CH2CH(CH3)CH(C2H5)CL - Brainly.in
brainly.in
Products – Rubberband Products
rubberbandproducts.com
Write the IUPAC name for the following structural formula : CH3-CH-CH3 ...
brainly.in
Products – Rubberband Products
rubberbandproducts.com
(C5H9) CH(CH3)CH2CH3 Pounds to Cups Conversion
coolconversion.com
Air Arabia launches ‘Super Seat Sale’ with 1 million seats from Dh139 ...
msn.com
Products – Rubberband Products
rubberbandproducts.com
Accessories: Fuzzy Friends | Grazia India
grazia.co.in
Buy PANDORA Products Online at Best Prices in India | Ubuy
ubuy.co.in
Accessories: Fuzzy Friends | Grazia India
grazia.co.in
write the bond line formula for (CH3)2CHCH2C(CH3)3 - Brainly.in
brainly.in
Accessories: Fuzzy Friends | Grazia India
grazia.co.in
Accessories: Fuzzy Friends | Grazia India
grazia.co.in
Related Searches
Ch3 3COH
Ch3CHO
CH3 C O OH
Ch3 CH OH CH3
Ch3 CO2H
Ch3c OH CH3
Convert Ch3 to H
CL CH3Br H
H CH3 Structure
Ch3 Plus H and HN
Order of Migration of H Ch3
Ch3 Lewis Structure
Chemical Shift Ch3
CH3CH=CH2
NH Co Ch3
Ch3 to Cooh Mechanism
CH3OH H+ Reaction
CH3CCH
CH3 CH3 NOH
CH3CH2COOH
Ho 4Ch3 H3C
H3C CH3
KMnO4 H2SO4
No2 to Nh2 Reagent
Ch3coch2chchcooh
CH3Br H CH3 CH3
C CH3 CH3 H Formal Charge
Meso Form of CH3 CH3 CL H HCL
How CH3 CCH Produce Acidic H2
Nh3ch3
CH3CH2CH2COOH
A Value in Ch3 and Oh
Oh2ch3
Gauche CH3 CH3
ch3s Reaction
Potential Energy of Gauche Interactions Between H and CH3
Borole but with a Ch3 Insted of H
How to Change H to Ch3
Nhcoch3
CH3Br
NH3 Ch3
Ch3o
Ho Ch3
Hcoch3
Chemical Shift of Ch3
How to Replace a H with Ch3
Hn HHNNO Ch3
3 Ch3 and 1 OH Group
Turning CL into Ch3
Search
×
Search
Loading...
No suggestions found