Find Your Style
Women
Men
Accessories
Search for clothing, brands, styles...
×
Women
Men
Accessories
Choco Baer Cone
Search
Loading...
No suggestions found
Colors Queen
Colors Queen Color It All Non Transfer Lip Crayon With Sharpener 4 g - Chocobar 11
122
myntra.com
ANOUR
ANOUR Choco Caramel Lip Scrub with Jojoba Oil & Shea Butter for Soft & Smooth Lips - 15g
250
myntra.com
ANOUR
ANOUR Choco Caramel Lip Balm with Shea & Cocoa Butter for Chapped & Dry Lips - 5g
164
myntra.com
COLORS QUEEN Color It All Long Lasting Non Transfer Lip Crayon with ...
flipkart.com
Buy Colors Queen Color It All Non Transfer Lip Crayon Lipstick with ...
amazon.in
Buy Colors Queen Color It All Non Transfer Lip Crayon Lipstick with ...
amazon.in
Buy COLORS QUEEN Color It All Non Transfer Lip Crayon Matte Lipstick ...
amazon.in
Buy Colors Queen Color It All Non Transfer Lip Crayon Lipstick | Long ...
amazon.in
Buy Colors Queen Color It All Non Transfer Lip Crayon Lipstick | Long ...
amazon.in
Buy Seven Seas Color It All Non Transfer Lip Crayon Lipstick with ...
amazon.in
COLORS QUEEN Color It All Lightweight, Long Lasting Non Transfer Matte ...
flipkart.com
COLORS QUEEN Color It All Highly Pigmented Long Lasting Non Transfer ...
flipkart.com
COLORS QUEEN Color It All Lip Crayon Lipstick Matte Finish Long Lasting ...
flipkart.com
COLORS QUEEN Color It All Lip Crayon Lipstick, Long Lasting Matte ...
flipkart.com
COLORS QUEEN Color It All Long Lasting Lip Crayon Matte Lipstick Combo ...
flipkart.com
Buy Colors Queen Color It All Lip Crayon Lipstick | Long Lasting Lip ...
amazon.in
Buy Colors Queen Color It All Long Lasting Non-Transfer Lip Crayon ...
amazon.in
Buy Colors Queen Color It All Long Lasting Crayon Lipstick For Women ...
amazon.in
Wonholli Intense Non Transfer Longwear Eye Pencil 4 g - Price in India ...
flipkart.com
Buy Nykaa MATTE-ilicious Lip Crayon - Jade Rose (2.8gm) shade No 11 ...
amazon.in
Buy Lip Makeup Products Online at Best Price in India – Colors Queen
colorsqueen.com
Buy Swiss Beauty Non Transfer Matte Crayon Lipstick Online at Best ...
bigbasket.com
Buy Fridge Magnets - Cupcake, Cone, Donut, CHOCOBAR Magnets Set of 4 ...
amazon.in
realme 11 Pro 5G launched in new color with a discount; check price now ...
tech.hindustantimes.com
SEUNG BLACK KAJAL FOR SMOKEY EYES LOOK 4 g - Price in India, Buy SEUNG ...
flipkart.com
Colors Queen Luxury Matte Non-Transfer Lipstick
colorsqueen.com
Buy Colors Queen Beauty Lips Velvet Finish Matte Lipstick | Highly ...
amazon.in
Colors Queen Luxury Matte Non-Transfer Lipstick
colorsqueen.com
NIVEA Blackberry Shine Lip Balm 4.8g - NIVEA India
nivea.in
Buy Swiss Beauty 12 Hrs. Stay Matte Lip Crayon, Plum House, 3g - Long ...
amazon.in
Buy Lotus Herbals Ecostay Kajal, 1.2g with Free Sharpener Online at Low ...
amazon.in
Cake Decor 4 Cavity Chocobar fancy Handle Plastic Kulfi Maker Mould ...
arifeonline.com
Define the difference between G and g ( capital and small g)? - EduRev ...
edurev.in
Cake Decor 4 Cavity Chocobar fancy Handle Plastic Kulfi Maker Mould ...
arifeonline.com
Cake Decor 4 Cavity Chocobar fancy Handle Plastic Kulfi Maker Mould ...
arifeonline.com
Buy Nutella Chocobar Cake| Online Cake Delivery - CakeBee
cakebee.in
Rural jobs scheme: MNREGA set to replaced by VB–G Ram G — what it is ...
msn.com
Buy ARCTIC MX-4 (incl. Spatula, 4 g) - Premium Performance Thermal ...
desertcart.in
Chocobar - Le Chocolat Alain Ducasse
lechocolat-alainducasse.com
Candyman Fantastik ChocoBar XL Chocolate - Rich, Smooth, Creamy Bars ...
flipkart.com
G brand name, G name list, Business name ideas starting with G
names4brands.com
5. Which of the following contains maximum number of atoms? (1) 4 g of ...
brainly.in
The Ultimate Hazelnut Chocobar
thebrooklyncreamery.com
ROUGE G SATIN ⋅ O BATOM ACETINADO – REFIL ⋅ GUERLAIN
guerlain.com
Logitech G Hub Guide: How To Use It! | Cashify Blog
cashify.in
4-6F6MK4S Parker | Parker Hydraulic Straight Threaded Adaptor G 1/4 to ...
in.rsdelivers.com
Belgian Dark Chocolate Chocobar (Sugar-Free & Dairy) – Tangelo
tangeloicecream.com
2014 Mercedes-Benz G-Class Prices, Reviews, and Photos - MotorTrend
motortrend.com
Lease Rental Discounting - Meaning, Benefits & Eligibility for LRD Loan
magicbricks.com
Raspberry Lip Balm for Supple Lips | Mamaearth
mamaearth.in
Buy Swiss Beauty Intense Gel Kajal - SB-EK-14 Online at Best Price of ...
bigbasket.com
Cadbury Dairy Milk Silk Valentine Heart Blush Chocolate Bar, 150 g ...
amazon.in
Compare Casio G-shock Black Smartwatch G-squad Series for Men with ...
gadgetsnow.indiatimes.com
Mercedes Benz G-Class 2019 350d Interior Car Photos - Overdrive
overdrive.in
Sukha Alo Sand Paper 80 G; 100 G; 120 G; 150 G; 180 G; 220 G (Red ...
amazon.in
Student Pencil Sharpener at Lakeshore Learning
lakeshorelearning.com
Chocobars – Tangelo - Real Gourmet Ice Cream
tangeloicecream.com
Class, Cancel Culture and Chocobar: An Interview with Argentine ...
thewire.in
Chocobar 52g Kwality Walls – JITCO
jitco.in
If f = {(4,5), (5,6), (6,- 4)) and g = {(4,-4), (6,5),(8,5), then ...
brainly.in
Sony Introduces Three Standout Wide-Angle E-Mount APS-C Lenses with the ...
alphacommunity.in
MnO2 + 4HCl MnCl2 + Cl2 + 2H2O If 0.86 mole of MnO2 and 48.2 g of HCl ...
brainly.in
Go Zero Madagascar, Chocolate Madagascar Chocobar Low Calorie Guilt ...
flipkart.com
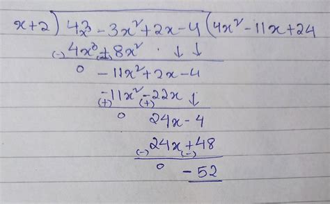
p(x) = 4x³ - 3x² + 2x - 4, g(x) = x + 2Please help quickly I will ...
brainly.in
MOTOROLA e13 ( 64 GB Storage, 4 GB RAM ) Online at Best Price On ...
flipkart.com
VB-G-RAM-G Bill: बिल को राष्ट्रपति की मंजूरीः 125 दिनों का काम - Living ...
livingindianews.co.in
The SEC has already sued Terraform Labs. It has every reason to ...
cryptopanic.com
UrbanMatrix Technologies UMT Hawk 4G Drone - Commercial Drone
botsanddrones.in
GADGETSWRAP 2005SHFL-601 Chocobar PS5 Controller Skin Gaming Accessory ...
flipkart.com
Karol G: Tomorrow Was Beautiful Trailer: Karol G Starrer Karol G ...
timesofindia.indiatimes.com
Battery 9V Clip Connector - abhishek
flyrobo.in
Tamil Movies | List of Tamil Movies starting with V | Tamil movies list ...
prokerala.com
Chocobar Ice Cream Recipe, How to Make Chocolate Bar Ice Cream
milkmaid.in
Tandoori Chocobar को देख तिलमिलाए यूजर्स, कहा 'गरुड़ पुराण में इनके लिए ...
ndtv.in
3 Best Museums in Ranchi, JH - Expert Recommendations
threebestrated.in
O r g a n i s a t i o n
wberc.gov.in
O r g a n i s a t i o n
wberc.gov.in
रामपुर की सीबीएसई कक्षा 10 के टॉपर्स की सूची - Revised ... List of CBSE ...
jagran.com
GA-110GB-1A | G-SHOCK ANALOG-DIGITAL GA-110 SERIES | CASIO INDIA
casio.com
GST-B400BB-1A | G-SHOCK G-STEEL GST-B400 Series | CASIO INDIA
casio.com
SEL2070G | Lenses | Sony India
sony.co.in
IKALL K333 4G Touch & Type Android Keypad Mobile | WiFi & 4G Sim ...
amazon.in
Enjoy Unique Flavours At Arun Ice Creams | WhatsHot Chennai
whatshot.in
Meet The Real-Life Parle-G Girl, Who Has Eaten Nothing Except The ...
indiatimes.com
Buy DASSELDORF Metal Pull Back Die-cast Car 1:24 Mercedes G-Wagon Toy ...
amazon.in
Ellen G. White citar: “Em todos os pormenores da vida devem ser ...
citacoes.in
HH707K-2.4G | 7 PIN | Remote and Receiver Circuit For Kids Ride On Car ...
fliptoy.in
Top OnePlus Gaming Mobile Phones in India: Price & Key Specifications ...
godigit.com
HOCCO Ready To Eat Combo of Kadhi Pakoda & Jeera Rice | Instant Rice ...
amazon.in
Elon Musk’s D.O.G.E could crash the US stock market
cryptopanic.com
Fresh Chikku – Village Dairy
villagedairy.in
HXN-SUS-UNC1/4-1+3/8 | Coarse Unified Hex Bolt, G-5 | SUNCO | MISUMI India
in.misumi-ec.com
G.B. Pant National Institute of Himalayan Environment
gbpihed.gov.in
Why is Elon Musk’s D.O.G.E so widely expected to fail?
cryptopanic.com
choc bars
amazon.in
no updates 30 jun 2025 5482 view project
pask.kwa.kerala.gov.in
COVID-19 से हुए आर्थिक नुकसान की भरपाई के लिए जलवायु को खतरे में डाल ...
junputh.com
Sven KRAMER
olympics.com
vol30no4
home.iitk.ac.in
Related Searches
Colors Queen Lipstick Shades
Mars Crayon Lipstick
Pencil Lipstick Matte
Matte Crayon Lipstick
Crayon Lipstick
Matte Lip Crayon
Lip Crayons Makeup
Mars Lip Crayon
Swiss Beauty Lipstick Crayon
Pencil Lipstick
Swiss Beauty Lip Crayon
Search
×
Search
Loading...
No suggestions found