Find Your Style
Women
Men
Accessories
Search for clothing, brands, styles...
×
Women
Men
Accessories
Cip Program Code I 20
Search
Loading...
No suggestions found
BNY MELLON Code Divas Diversity Challenge- 2021, Prizes worth INR 75K ...
edubard.in
Create Initial COE (Form I-20) | Study in the States
studyinthestates.dhs.gov
Create Initial COE (Form I-20) | Study in the States
studyinthestates.dhs.gov
Chapter 6: Supported G-Code Commands
ansyshelp.ansys.com
Review the Updated DHS STEM Designated Degree Program List | Study in ...
studyinthestates.dhs.gov
The Munich Project Cip: The Program Transformation System Cip-S: 002 ...
amazon.in
write a java program to calculate the sum of first 50 even and odd ...
brainly.in
36109 CIP report - This is cip repot - BHARATHIDASAN INSTITUTE OF ...
studocu.com
LMIA exempt work permits
annarbour.com
Office of Alumni & Corporate Relations
acr.iitm.ac.in
CIP syllabus of 2022 - 23 - DEPARTMENT OF ELECTRONICS AND COMMUNICATION ...
studocu.com
7. M.A- Economics - M. A. (Economics) : Program Code : 16 Program ...
studocu.com
Classification of Instructional Programs (CIP) | Study in the States
studyinthestates.dhs.gov
Fillable Online (Major Code: PD-CE) CIP 51 Fax Email Print - pdfFiller
pdffiller.com
Fillable Online CAPITAL IMPROVEMENT PROGRAM City of Missoula CIP ...
pdffiller.com
Cip-m - nterest PP RRO FOF I LE R Career M A N U A L CIP-M S H AW N B A ...
studocu.com
CIP Code Change Request Guidelines - University Registrar Doc Template ...
pdffiller.com
CIP Notes UNIT 1 -new (1) - questions - CIP NOTES UNIT 1 -new (1) 1 A ...
studocu.com
Thakur Shipping
thakurshipping.com
Difference between CIP and CPT in shipping terms
howtoexportimport.com
CIF (Cost, Insurance & Freight) Incoterms - Guidelines & Meaning
dripcapital.com
Program Codes for Internal Assessment (Class 9) - Program Codes 1 Write ...
studocu.com
Define the shipping term CIP.
howtoexportimport.com
Unique Mixproof CIP | Alfa Laval
alfalaval.in
CIP Additional Information -Module 1 - o rered 1 Which of the following ...
studocu.com
Compliance Information Portal (CIP)
taxguru.in
Incoterms 2020: Changes That you Need to Know
cogoport.com
Cleaning chemicals | Alfa Laval
alfalaval.in
Programming-Lab-Exercises - Exercise 1: Write a C program to print the ...
studocu.com
CIP system in dairy engineering - Chapter 10 CIP cleaning equipment’s ...
studocu.com
Program Codes for Internal Assessment (Class 9) - Program Codes 1 Write ...
studocu.com
Classification of Instructional Programs (CIP) | Study in the States
studyinthestates.dhs.gov
Water Consumption Optimising Systems - INOXPA
inoxpa.in
CIP cleaning system for pharmaceutical industry - INOXPA CIP systems
inoxpa.in
Program Codes for Internal Assessment (Class 9) - Program Codes 1 Write ...
studocu.com
Difference between CIP and CFR in shipping terms
howtoexportimport.com
CIP @ IITH
cip.iith.ac.in
Classification of Instructional Programs (CIP) | Study in the States
studyinthestates.dhs.gov
Lomac D 10/20mg Capsule 10: Uses, Side Effects, Price & Substitutes
truemeds.in
Downloads
caho.in
Office of Alumni & Corporate Relations
acr.iitm.ac.in
Alfa Laval - Cleaning-in-Place pays for itself
alfalaval.in
Program Codes for Internal Assessment (Class 9) - Program Codes 1 Write ...
studocu.com
CIP @ IITH
cip.iith.ac.in
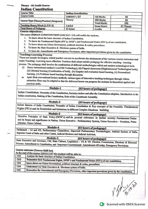
CIP part 2_indianConstitution_ - Indian constitution - Studocu
studocu.com
CIP @ IITH
cip.iith.ac.in
CIP @ IITH
cip.iith.ac.in
Office of Alumni & Corporate Relations
acr.iitm.ac.in
21CIP47 Vtu paper - Constitution of India and Professional Ethics (CIP ...
studocu.com
Buy MARS Oil Control Foundation with Skin Whitening Cream, Color Code 1 ...
amazon.in
FRP CIP Tanks - FRP Cip Tanks Manufacturer from Chennai
hindustanfibretech.in
Local Economic Development_CIP-Udaipur | CEPT - Portfolio
portfolio.cept.ac.in
Omsons Glassware | Soil Glass Hydrometer | With NABL Certificate ...
amazon.in
Introduction Civil procedure code - INTRODUCTION CPC OBJECT: The Code ...
studocu.com
CIP PYQ - [Time: 1hrs.] 7. 8. 1. 3. 4. 2. 4. 5. 6. 1. 3. 2. 5. Damaging ...
studocu.com
Gói Rửa Màng RO 4040B – Tẩy Rửa Hữu Cơ
thietbinganhnuoc.com
Hi-Tech RO Membrane Housing 10'' for Any Home RO Water Purifier System ...
amazon.in
Cip-solved 1-tie - MUL TI CHOICE QUESTIONS The Constitution of India ...
studocu.com
DATA Structures LAB - I BCA II SEM [NEP] Data Structures Using C Lab ...
studocu.com
Google Antigravity IDE explained: Free tool for code development
digit.in
21CIP47 Vtu paper - Constitution of India and Professional Ethics (CIP ...
studocu.com
Omb No - Fill Online, Printable, Fillable, Blank | pdfFiller
pdffiller.com
C Programming Language
redprismgroup.com
CIP Notes indian constitution - 7 Gandhiji started Quit India Movement ...
studocu.com
AI Lab Programs - AI & ML LAB PROGRAMS 1 – A* Search Algorithm def ...
studocu.com
CIP part 3 - Ignore professional ethics questions, only if you are ...
studocu.com
For loop in C Language | For Loop Program | C langauge notes
gnbclasses.in
Es code of practice works - Electrical Safety Code of Practice 2020 ...
studocu.com
Capital project and asset lifecycle management product tour | Oracle India
oracle.com
Gr. R Phonics: S Lesson Plan Week 20
twinkl.co.in
What Is G-Code? What Is M-Code? What Do They Mean In CNC, 48% OFF
elevate.in
Compiler in C++ | Difference Between Compiler Interpreter - C++ Tutorial
sitesbay.com
CIP part 4 - Ignore professional ethics questions, only if you are ...
studocu.com
Owens Corning R- 19 Wall Unfaced Fiberglass Batt Insulation 77.5-sq ft ...
lowes.com
CIP BENDOR (2026) All You Need to Know BEFORE You Go (with Photos ...
tripadvisor.in
CIP @ IITH
cip.iith.ac.in
CIF (Cost, Insurance & Freight) Incoterms - Guidelines & Meaning
dripcapital.com
For Loop Pattern Programs in C Programming
tutorjoes.in
Write a C++ program to create a structure called employee with name ...
brainly.in
Brass Blessing Nautical Signal Flag/Pennant - 100% Cotton – 20" X 8.5 ...
amazon.in
Difference between CIP and DDP in shipping terms
howtoexportimport.com
Buy Oral-B Denture Brush Dual Head - each, Pack of 2 Online at Low ...
amazon.in
IIT HARYANA
iithry.org.in
County Executive Marc Elrich Proposes Record Funding for Affordable ...
content.govdelivery.com
CIP Drain Trap, Greece Trap, Pit Drain, SS Floor Trap, Mumbai, India
sanipuresystems.in
open program code with in the program files - Brainly.in
brainly.in
View question - Probability of guessing 7-digit code from numbers 1-20
web2.0calc.com
Indian-Penal-Code-UPSC - Indian Penal Code (IPC) – UPSC Notes The ...
studocu.com
T20 World Cip 2024 Semifinals: সেমিফাইনালের দরজা খোলা ৪ দলেরই, জানুন ...
bangla.aajtak.in
Pipe Color Code Standard And Piping Color Codes Chart, 60% OFF
elevate.in
Flow Rate Calculation: Flow Rate, Flow Velocity, and Pipe Size - Lorric
lorric.com
QM9112 - on-premises licence for the no-code IIoT platform to digitise ...
ifm.com
Difference between CFR terms and CIP terms
howtoexportimport.com
DATA Structures LAB - I BCA II SEM [NEP] Data Structures Using C Lab ...
studocu.com
Unique Mixproof CIP | Alfa Laval
alfalaval.in
Owens Corning R- 13 Wall Kraft faced Fiberglass Batt Insulation 106.56 ...
lowes.com
20 C program to add two matrix - /Program to Add two Matrices/ #include ...
studocu.com
write a "C program" to find the size of int,float,double and char ...
brainly.in
Office of Alumni & Corporate Relations
acr.iitm.ac.in
True North Code of Conduct - True North | Trusted partner for 20+ years
truenorth.co.in
Jeff Nippard Essentials Program - HYPERTROPHY PROGRAM FUNDAMENTALS JEFF ...
studocu.com
Ambika Home - Ambika Appala
ambikaonlineshopping.com
Making Surat- Khubsurat, CIP Studio Surat | CEPT - Portfolio
portfolio.cept.ac.in
write a program in python to enter the mark in 3 subjects and calculate ...
brainly.in
Write a c++ program to input an age and check eligibility for voting ...
brainly.in
Office of Alumni & Corporate Relations
acr.iitm.ac.in
LKHSP | Alfa Laval
alfalaval.com
Office of Alumni & Corporate Relations
acr.iitm.ac.in
Guwahati Ward Map
gismaps.in
Program Execution : Example
minigranth.in
Fill out Pdf Forms For Life Sciences | pdfFiller
pdffiller.com
Fillable Online fldoe July 2007 Florida Department of Education ...
pdffiller.com
Java Tutorial For Beginners | Basic Java Programming Tutorials | FITA ...
fita.in
Abdul Hafis | Hardware Engineer & Inventor
hafis.in
If-Else-If Statement : Example
minigranth.in
Handout 1 Evolution Of Labour Codes - Evolution Of Labour Codes The ...
studocu.com
TJ | Alfa Laval
alfalaval.in
Library Functions in C - Library Functions in C Library functions in C ...
studocu.com
Installation R and R Studio KBI - Lab No:- 1 Installing R ,Installing R ...
studocu.com
Structure of C Program - Structure of C Program Every c program ...
studocu.com
Related Searches
CIP Code On I-20
Major CIP Code
Cips Code of Conduct
CIP Code List
CIP Number
CIP Code On Transcript
CIP Code Meaning
CIP Code 120
CIP Code Cheat Sheet
Opt CIP Code
CIP Code Biochem
What Is CIP Code On I-20
CIP Code TAMU-SA
CIP Code Example
Where Is the CIP Code On I-20
CIP Code 55121
Code CIP Ordonnance
New CIP
OSPI CIP Code Chart
CIP Education
CIP Code Means
CIP Solutions
Where to Find CIP Code
CIP Tables
CIP System
Common Industrial Protocol CIP
Qualifying Major and Classification of Instructional Programs CIP Code
CIP Code for Game Design
28461 CIP Code
Health Assisting CIP Code
CIP Report
CIP Development
CIP Funding Code
CIP Communication
Define CIP
CIP Program
CIP Letter
CIP Definition
CIP Port
CIP Price
CIP Self-Review CTE
CIP Validation
CIP Code for Health Assistant
CIP Code NYS
CIP Bank
CIP Code for Your Degree
CIP Word
CIP Code Chart Wisconsin
CIP Exception
CIP Sign
Search
×
Search
Loading...
No suggestions found