Find Your Style
Women
Men
Accessories
Search for clothing, brands, styles...
×
Women
Men
Accessories
Cmu Block Height
Search
Loading...
No suggestions found
Allan Block Fence System - How to Build a Bond Beam
allanblock.in
Concrete Calculator For Footings And Wall Section | Concrete Wall ...
constructioncivilengineering.com
Standard CMU Block Wall Detail | California Building Dept
studylib.net
Solid Blocks and Hollow Block Size Chart
alphasand.in
How to Calculate Number of Concrete Blocks | Concrete Block Calculator
constructioncivilengineering.com
Triple Super Gear Chain Pulley Block Service Provider in Aurangabad MH ...
bizzporto.com
BIM objects - Free download! BK S 25 - concrete blocks - splitted ...
bimobject.com
Price of Concrete Blocks in Bengaluru, Karnataka
alphasand.in
Paver Block Design & Ideas: Sizes, Costs vs Concrete & Bitumen ...
constructiongo.in
Manufacturing Processes-I
msvs-dei.vlabs.ac.in
UT Screen Height Linearity Reference Block-ULTRASONIC TESTING
ndetech.org.in
AAC Blocks - Fire Resistant AAC Blocks Manufacturer from Dharwad
conecc.in
Buy Yiranok Setup Block Height Gauge Set - Precision Aluminum Router ...
ubuy.co.in
SN611L1 | Plummer Block | NTN | MISUMI India
in.misumi-ec.com
Reduced Level (RL): Methods to Calculate RL of a Point
apsed.in
J & J Plummer Block SN 517 – The Industrial Shop
theindustrialshop.com
Buy Rainguard Blok-lok 1 Quart Super Concentrate (Makes 5 Gallons ...
desertcart.in
Buy SHENGSHIYU Fall Arrest Block Height Safety Self Retracting Lifeline ...
desertcart.in
Devinarayans Vasantham in Thiruvanmiyur, Chennai: Price, Brochure ...
magicbricks.com
Understanding Gravitation: Concepts, Principles and Application
allen.in
Buy FHCRYO Fall Protection Self Retracting, Fall Arrest Block Height ...
desertcart.in
Screw Terminal Block: 4-Pin, 0.1″ Pitch, Side Entry (2-Pack) at MG ...
mgsuperlabs.co.in
Buy CHUYONGJIN Fall Arrest Block Height Safety Self Retracting Lifeline ...
desertcart.in
Buy Yiranok Setup Block Height Gauge Set - Precision Aluminum Router ...
ubuy.co.in
Buy Yiranok Setup Block Height Gauge Set - Precision Aluminum Router ...
ubuy.co.in
Screw Terminal Block: 2-Pin, 3.5 mm Pitch, Top Entry (4-Pack) at MG ...
mgsuperlabs.co.in
Volume 11 Issue 1
medpulse.in
Buy Self Retracting Lifeline Cable Fall Arrest Block Inertia Reel ...
desertcart.in
Buy UIBAO Fall Arrest Block Height Safety Self Retracting Lifeline ...
ubuy.co.in
Buy Mitutoyo 12AAA715 Probe Diameter Calibration Block For Use With ...
desertcart.in
Buy Self Retracting Lifeline Cable Fall Protection Lanyard,Fall ...
desertcart.in
Buy Router Table Set Up Bars Set up Blocks for Woodworking Setup Block ...
desertcart.in
At what height from the surface of earth will the value of g be reduced ...
edurev.in
A particle of mass m is dropped from a height R equal to the radius of ...
tardigrade.in
CMU professor talks significance of today’s inauguration
kkco11news.com
Vastu for Study Table Direction: Best Direction, Materials, Benefits ...
interiorcompany.com
View question - A block of metal has a width of 3.2 cm, a length of 17. ...
web2.0calc.com
Buy Yiranok Setup Block Height Gauge Set - Precision Aluminum Router ...
ubuy.co.in
Download wallpaper 2560x1440 canyon, stone, block, sky, blue, height ...
wallpaperscraft.com
Buy XJZKA Fall Arrest Block Height Safety Self Retracting Lifeline ...
desertcart.in
LM Guideways Miniature linear guide linear slider 400mm MGN12 +MGN12H ...
robokits.co.in
24. The minimum horizontal force applied to thecentre of wheel of ...
brainly.in
Buy iFCOW 7Pcs Gauge Block Set Aluminum Alloy Table Setup Bars Depth ...
desertcart.in
Height of Instrument Method | Construction Tutorial | Reduced Level of ...
civildailyinfo.com
Buy KAGYIFLY Router Table Setup Bars, 7pcs Aluminum Precision Setup ...
desertcart.in
Buy G-Force CR300 Fall Arrest Block Inertia Reel Height Safety Device ...
desertcart.in
Buy KYHK Self Retracting Lifeline,Fall Arrest Block Inertia Reel Height ...
desertcart.in
A solid cylinder to radius r and height h is placed over other cylinder ...
brainly.in
BlockID : Block Explorer
kuworkspace.1kosmos.in
Volume 11 Issue 1
medpulse.in
Aerocon Blocks - Hollow Concrete Block Wholesale Trader from Chennai
techno-design.co.in
Derive the formula for the range andmaximum height achieved by a ...
brainly.in
Height And Distance: Definition, Application & Formula - Maths - Aakash ...
aakash.ac.in
OZARK ARMAMENT Front Iron Sight - Gas Block Height - Best Military ...
desertcart.in
A wheel ( to be considered as a ring ) of mass m and radius R rolls ...
allen.in
Buy XINGXINGNS 6 Ton Heavy Duty Lever Hoist Chain Block, 3M (10FT ...
desertcart.in
Weight and Height Chart for Army Agniveer 2024
adda247.com
Mag Height Block | NABEYA | MISUMI India
in.misumi-ec.com
Buy Fall Protection Self Retracting Lifeline Shock Absorbing Lanyard ...
desertcart.in
Buy FHCRYO Self Retracting Lifeline Cable Height Safety Device, Fall ...
desertcart.in
Buy SJASD Height Safety Self Retracting Lifeline Fall Arrest Block ...
desertcart.in
Buy Fall Protection Self Retracting Lifeline,Fall Arrester with Self ...
desertcart.in
A satellite of mass m is orbiting the earth of r radius at a height h ...
brainly.in
A block of mass m starts at rest at height h on a frictionless inclined ...
brainly.in
DENcity | CEPT - Portfolio
portfolio.cept.ac.in
Biggest Chevy Engines: From New and Predictable to Downright Strange
motortrend.com
Buy Multi Color Dahlia Floral Pattern Block Heels by House Of Prisca ...
azafashions.com
What is Block Play? - Answered - Twinkl Teaching Wiki
twinkl.co.in
DENcity | CEPT - Portfolio
portfolio.cept.ac.in
Diy Building Block Music Box Developing Logical Thinking Suitable For ...
indiantelevision.com
Digital Height Gauge VH | NIIGATA SEIKI (SK) | MISUMI India
in.misumi-ec.com
A body weight 63 N on the surface of earth. What is the gravitational ...
ask.learncbse.in
Buy A2 Front - Rail Height Fixed Iron s - All Metal s - s Designed to ...
desertcart.in
Chain Block, Engine Hoist Small Winch Lever Hoist Chain Block Hoist ...
desertcart.in
Buy Automatic Fall Arrestor, Self Retracting Lifeline Cable Height ...
desertcart.in
A satellite of mass m is launched vertically upwards with an initial ...
tardigrade.in
Calculate the height of cone whose slant height is 25 cm and curved ...
brainly.in
One arrest made after CMU issued a campus safety alert Thursday night
kjct8.com
👉 Length Worksheets | Measuring Length Worksheets PDF | Twinkl
twinkl.co.in
If R & H are the horizontal range and maximum height attained by a ...
brainly.in
8 Best Computational Design Online Courses in 2023
novatr.com
Polyester Webbing Sling - Lifting Belt 5 Ton 8 Meter Trader - Retailer ...
iisindia.co.in
Buy Yiranok Setup Block Miter Gauge Set - Precision Aluminum Router ...
desertcart.in
OZARK ARMAMENT Front Iron Sight - Gas Block Height - Best Military ...
desertcart.in
CMU Baseball sends CSU Pueblo ‘Packing’ in RMAC Tournament
kjct8.com
the total surface area of cone whose radius is r/2 and slant height 2L ...
brainly.in
How the value of g changes with the height of earth surface explain ...
ask.learncbse.in
Plummer Block
kgbearing.com
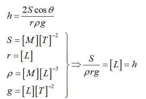
Check the correctness of the relation h = r p g / 2 s cos(theta ...
brainly.in
Anya Singh: Biography, Wiki, Age, Family, Boyfriend, Instagram & More ...
biog.in
Aanya Advani Biography: Wiki, Age, Boyfriend, Family, Photos, Videos - BIOG
biog.in
A simple pendulum has a time period T1 when on the earth 's surface and ...
brainly.in
Buy Furniture Legs 28”Height 17.7”Length 9.8" Width,Rustic Office Table ...
desertcart.in
a solid is in the form of a cone mounted on a right circular cylinder ...
brainly.in
What is the projectile motion. Derive an expression for time of maximum ...
brainly.in
Heels & Platform – Littlebox India
littleboxindia.com
g310r-vs-g310gs-differences-specs
bikeadvice.in
Chain Block, Engine Hoist Small Winch Lever Hoist Chain Block Hoist ...
desertcart.in
Nolus Snapshots — Teletype
teletype.in
variation of G with height and depth - Brainly.in
brainly.in
formation of Block mountains? - Brainly.in
brainly.in
A cone ,hemisphere and a cylinder stand on equal base Surface Areas and ...
nextgurukul.in
What is Bitcoin Halving?
mexc.co
A hollow iron pipe of 21 cm long and its external diameter is 8 cm. if ...
brainly.in
EUREKA FORBES Plastic Original Candle and Carbon Block 1 L RO Water ...
flipkart.com
Bajrangi Bhaijaan Munni Aka Harshaali Malhotra Latest Dance Video Goes ...
ndtv.in
Two containers designed to hold water are side by side, both in the ...
brainly.in
What Is Blockchain?
icymi.in
h=r density g/2cos(theta)h= height r= radiusg=acceleration due to ...
brainly.in
H&R Block Office Photos
glassdoor.co.in
Buy R&M RM 12Inch Height Marble Temple | Puja Temple | Altar | Marble ...
desertcart.in
Buy Bates Numbering Numbering B2, Font Height 4.5 mm, Font Block Font ...
desertcart.in
A rectangular metal block has length 15 CM 10 cm and height 5 cm from ...
brainly.in
Buy Chain Block, Engine Hoist Small Winch Lever Hoist Chain Block Hoist ...
desertcart.in
EIE Instruments PVT LTD Bitumen Testing Instruments
eieinstruments.com
RS PRO | RS PRO Switch Disconnector Auxiliary Switch for Use with RS ...
in.rsdelivers.com
NIZLSEKS Fall Protection Retractable Lanyard,Fall Arrester India | Ubuy
ubuy.co.in
Vector assets & IBC
staking-explorer.com
Buy Self Retracting Lifeline Fall Arrest Block Inertia Reel Height ...
desertcart.in
Vector parameter values & changes
staking-explorer.com
Related Searches
CMU Block Wall
Concrete Block Height
CMU Corner Block
CMU Half Block
CMU Bond Beam Block Detail
CMU Block Colors
CMU End Block
CMU Sizes Chart
Standard Concrete Block
Concrete Block Calculator
12 CMU Block
Concrete Block Sizes and Dimensions
Size of CMU Block
CMU Block Coursing Chart
Split Face CMU Block
CMU Wall Thickness
Concrete Block Types and Sizes
CMU Block Wall Design
8 CMU Dimensions
6 CMU Dimensions
Fluted Concrete Block
CMU Retaining Wall Detail
Concrete Cinder Block Dimensions
CMU Block Height Scale
4 Inch Concrete Block
CMU Block Dimensions Actual
8 CMU Block Dimension
CMU Block Work Height
CMU Firewall
Concrete Block Sizes and Shapes
Concrete Block Foundation Wall Details
Concrete Building Block Dimensions
Omni Block CMU
CMU Wall Construction Detail
Precast Concrete Block Sizes
CMU Length
CMU Wall Footing Detail
Bullnose CMU
Width Length and Height of a CMU Block
CMU Lintel Block Dimensions
Concrete Block Dimensions Table
Solid Concrete Block Dimensions
Scored CMU Block
Concrete Hollow Blocks Size
Stack Bond CMU
10 CMU Block Dimensions
Concrete Masonry Block Dimensions
Block Wall Basement
CMU Modular Block Dimensions
Knockout CMU
Search
×
Search
Loading...
No suggestions found