Find Your Style
Women
Men
Accessories
Search for clothing, brands, styles...
×
Women
Men
Accessories
Cnss Cos One
Search
Loading...
No suggestions found
Trigonometry Table- Learn Sin Cos Tan Table, Trigonometric Ratio Value ...
adda247.com
Trigonometry Table- Learn Sin Cos Tan Table, Trigonometric Ratio Value ...
adda247.com
The values of sin, cos and tan for different angles (1 to 89 0 ) are ...
freeganita.com
Continuous Time Fourier Series - Cosine Fourier Series, Exponential ...
ece.poriyaan.in
Welcome to Calcutta Nair Service Society
cnss.in
Welcome to Calcutta Nair Service Society
cnss.in
Welcome to Calcutta Nair Service Society
cnss.in
Fourier Sine & Cosine Transforms - Examples
civil.poriyaan.in
Fourier Sine & Cosine Transforms - Examples
civil.poriyaan.in
COS^-1(63/65) + cos^-1(12/13)inverse trigonometry chapter 12 std ...
brainly.in
Fourier Sine & Cosine Transforms - Examples
civil.poriyaan.in
[Latest 51+] Good thoughts in english in one line | Positive Quotes and ...
familystatus.in
Fourier sine & Cosine transforms - Definition, Statement, Proof, Solved ...
mech.poriyaan.in
Assignments for Digital Image Processing (COS) - Key Concepts ...
studocu.com
Fourier sine & Cosine transforms - Definition, Statement, Proof, Solved ...
mech.poriyaan.in
CNSS v AS Tempete Mocaf | Ligue de Bangui | Central African Republic ...
plus.fifa.com
Fourier Sine & Cosine Transforms - Examples
civil.poriyaan.in
Find the value of cos-1(1/2) + 2 sin-1(1/2) - CBSE Class 12 Maths ...
ask.learncbse.in
Fourier Sine & Cosine Transforms - Examples
civil.poriyaan.in
Fourier Sine & Cosine Transforms - Examples
civil.poriyaan.in
Illustrate with the help of a model, the values of sine and cosine ...
brainly.in
Fourier Sine & Cosine Transforms - Examples
civil.poriyaan.in
solve the question[tex]if \: cos ^{ - 1} x + cos ^{ - 1} y + cos ^{ - 1 ...
brainly.in
مباراة الصندوق الوطني للضمان الاجتماعي 2023 CNSS - توظيف 621 منصب
anapecjobs.com
The value of the integral y cos(xy) dy dx is (a) 2(sin 1)+ (cos 1)-1 (c ...
scoop.eduncle.com
Cosine Formula: Explanation, Definition And Solved Examples
pw.live
Prove that 1+ cos 20+ sin 20÷ 1- cos 20+ sin 20 =cot 0 - Brainly.in
brainly.in
Solve: dy/dx = cos(x + y) + sin (x + y).
esaral.com
Prove that: (cot - cosec ) = 1-cos/1+cos - Brainly.in
brainly.in
Exercise - Fourier Sine & Cosine Transforms
civil.poriyaan.in
مباراة الصندوق الوطني للضمان الاجتماعي 2023 CNSS - توظيف 621 منصب
anapecjobs.com
مباراة الصندوق الوطني للضمان الاجتماعي 2023 CNSS - توظيف 621 منصب
anapecjobs.com
女coser化身《原神》中“蔷薇魔女”丽莎Lisa,魅力十足(cos原神女角色) - COS森林
cossenlin.com
Prove that: cos-1 12/13 + sin-1 3/5 = sin-1 56/65 - CBSE Class 12 Maths ...
ask.learncbse.in
Consider, f ( x )= x 2-( cos -1 cos k )(1/2) x +(1/4)| k -π|. If S = k ...
tardigrade.in
cos a cos 2a cos4a cos 8a=1/16,if a=24 dergee - Brainly.in
brainly.in
cos⁻¹(2x²-1) = 2cos⁻¹x, 0
brainly.in
using the formula cos A is equals to root 1 + cos 2A upon 2 find the ...
brainly.in
cos 2A + cos 2B + cos 2C = - 1 - 4 cos A cos B cos C, in a triangle ABC ...
brainly.in
Solve: dy/dx = cos(x + y) + sin (x + y).
esaral.com
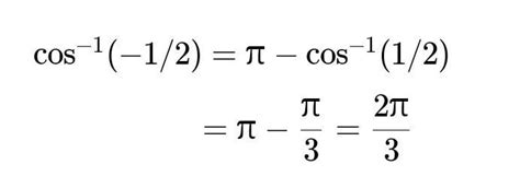
Find the principal values of cos-1(-1/2) - CBSE Class 12 Maths - Learn ...
ask.learncbse.in
女coser化身《原神》中“蔷薇魔女”丽莎Lisa,魅力十足(cos原神女角色) - COS森林
cossenlin.com
Prove that: 1/cos - cos) (1/sine sine) =1/ tan 0+cot 0 - Brainly.in
brainly.in
show that sin/cosec- 1 +cos/1 +sec= sincos/(sin- cos) - Brainly.in
brainly.in
Welcome to Calcutta Nair Service Society
cnss.in
If sin + cos = 1, then the sin cos is equal to - Brainly.in
brainly.in
Welcome to Calcutta Nair Service Society
cnss.in
In the standard (x,y) coordinate plane below, an angle is shown whose ...
allen.in
Q31 Show that the semi-vertical angle of a cone of the maximum volume ...
iqclasses.in
Welcome to Calcutta Nair Service Society
cnss.in
Chief of Staff
jfcnaples.nato.int
The sine and cosine curves intersects infinitely many times giving ...
tardigrade.in
Show that : [tex]\frac{1}{2}tan^{-1} = cos^{-1} - Brainly.in
brainly.in
COS^-1(63/65) + cos^-1(12/13)inverse trigonometry chapter 12 std ...
brainly.in
cos-1(1/2)+2sin-1(1/2) - Brainly.in
brainly.in
prove that sin^-1(1/√17)+cos^-1(9/√85)=tan^1(1/2) - Brainly.in
brainly.in
how to calculate the value of cos to the power minus 1 - Brainly.in
brainly.in
prove that cos\1-tan +sin\1-cot= sin+cos - Brainly.in
brainly.in
Which of the following is correct?B) sin 1° sin 1D) cos lº - Brainly.in
brainly.in
Sin÷1+cos +1+cos÷sin= 2cosec - Brainly.in
brainly.in
1 Prove that: sin - cos = 1 - 2 cos LHS : sin - cos = (sin) - (cos ...
brainly.in
(sin − cos + 1). (sec − tan) = (sin + cos − 1) - Brainly.in
brainly.in
Solve this question If y=cos^-1(3sinx+4cosx)/5,Find dy/dx - CBSE Class ...
ask.learncbse.in
Welcome to Calcutta Nair Service Society
cnss.in
principal value of cos^-1(-1/2) - Brainly.in
brainly.in
Exercise - Fourier Sine & Cosine Transforms
civil.poriyaan.in
Buy General Tools Handheld Digital Solar BTU Power Tester Meter # ...
desertcart.in
R.E.P.O.
in.ign.com
Given cot =7/8, then evaluate (1+sin ) (1 - sin )/(1+cos ) (1 - cos ...
brainly.in
316 Stainless Steel Hose Shank x Male NPT | IRP Industrial Rubber Ltd.
irprubber.com
The sine and cosine curves intersect infinitely many times giving ...
tardigrade.in
28. Prove that: cos 0-sin 0+1 / cos 0 + sin 0-1 = sin Ꮎ/ 1- cos 0 ...
brainly.in
(d) problems based on R.H.S = eax + sin ax(or) eax + cos ax - Solved ...
eee.poriyaan.in
In a triangle ABC, right-angled at B, if tan A=1/root 3, find the value ...
edurev.in
Let `A_1 A_2 A_3 A_4 A_5 A_6 A_1` be a regular hexagon. Write the x ...
allen.in
Find the value of theta if cos/1-sin+cos/1+sin=4 - Brainly.in
brainly.in
Solve the equation: [tex] tan[cos^{-1}(\frac{1}{x})] = sin[cot^{-1 ...
brainly.in
Draw the graphs of y = cos x and
esaral.com
If x=r sin theta cos alpha ,y= r sin theta sin alpha and z = r cos ...
brainly.in
cot /1-sin = 1+sin/cos - Brainly.in
brainly.in
Welcome to Calcutta Nair Service Society
cnss.in
Let f ( x )= sin -1( cos x ) cos -1( sin x ) ∀ x ∈[0,2 π], then which ...
tardigrade.in
Find the values of tan1/2[sin-1 2x/1+x2 + cos-1 1-y2/1+y2], |x| 0 and xy
ask.learncbse.in
Sin - cos+1 /sin + cos-1 = 1/sec- tan - Brainly.in
brainly.in
prove that cosec theta minus cot theta whole square is equal to 1 minus ...
brainly.in
sin theta + cos theta equal to 1 prove that sin theta minus cos theta ...
brainly.in
The value of cos [cos-1(-√3/2) +π/6] is - Brainly.in
brainly.in
With new design on the way, a short photo history of the Rupee One note
scroll.in
x=cos^-1(8t^4-8t^2+1),y=sin^-1(3t-4t^3) - Brainly.in
brainly.in
prove that 1+sin-cos/1+sin+cos=√1-cos/√1+cos - Brainly.in
brainly.in
cos^(-1)a+cos^(-1)b+cos^(-1)c=π,.. prove that a^2+b^2+c^2+2abc=1 ...
brainly.in
Arty亚缇COS图集 | Arty亚缇在《原神 Impact》中cos雷电将军(亚缇思平面设计(上海)有限公司) - COS森林
cossenlin.com
揭秘HaNari的魅力:一个DJ、模特、COS达人的多面故事(hania rani) - COS森林
cossenlin.com
cos^-1 x - cos^-1 y = cos^-1 (xy + √1-x^2 √1-y^2 - Brainly.in
brainly.in
View question - Inverse Cosine
web2.0calc.com
Prove that sino(1 + tano) + cos(1 + coto) = seco + coseco - Brainly.in
brainly.in
If cos α, cos β, cos γ are the direction cosines of a vector a, then ...
brainly.in
show that sin / cosec -1 + cos / 1+sec = sin cos /sin - cos - Brainly.in
brainly.in
Evaluate: sin^-1(sin(2π/3))+cos^-1(cos(4π/3) ) - Brainly.in
brainly.in
Prove that cos 24*+cos 55*+cos 125*+cos 204*+cos 300*=1/2 - Brainly.in
brainly.in
prove (cos^2theta) / (1-tan theta)] + [(sin^3 theta) / (sin theta - cos ...
brainly.in
(cot-cosec)²=1-cos/1+cos - Brainly.in
brainly.in
If x1, x2(x1
tardigrade.in
The vectors a=3i-2j+2k and b = -j-2k are the adjacent sides of a ...
brainly.in
Welcome to Calcutta Nair Service Society
cnss.in
R Subramanian spoke on air pollution in Indian cities in an interview ...
cstep.in
India 1 Rupee Used Coin – Banknotecoinstamp
banknotecoinstamp.com
cos/1+sin=1-sin/cos prove that - Brainly.in
brainly.in
y=cos^-1(b+acosx/a+bcosx) - Brainly.in
brainly.in
Gujarat Elections: After Rs 76.5 Hike In LPG Price, Oil Cos Skip ...
businessworld.in
PUERTO DE LA RESTINGA (2026) All You Need to Know BEFORE You Go (with ...
tripadvisor.in
SICK Incremental encoders DFS60S Pro– Industrial Megamart
industrialmegamart.com
(A) Evaluate 2√2 cos 45o sin 30o + 2√3 cos 30o OR (B) If A= 60° and B ...
iqclasses.in
y = sin^(-1)(x/√1+x²) + cos^(-1)(1/√1+x²) , the value of dy/dx is ...
brainly.in
what is the integration of cos square x - Brainly.in
brainly.in
Prove that sin a minus sin b upon cos a + cos b + cos a minus cos b ...
brainly.in
Let f(x)= sin -1( sin x)+ cos -1( cos x), then which one of the ...
tardigrade.in
1/sec - tan -1/cos =1/cos - 1/sec +tan - Brainly.in
brainly.in
Related Searches
Cnss
Cos One Marrakech
Cos One Marakech
No Coss
Cheap Coss
Cos Networking
Cos One Tanger
Cnss Morocco
Cnss Security Model
Coss Functional
What Is the Cnss Model
Cnss Number
CNSSI 1253
Carnet Cnss
Amo Cnss
Search
×
Search
Loading...
No suggestions found